电脑桌面
添加小米粒文库到电脑桌面
安装后可以在桌面快捷访问

三角函数公式大全VIP专享

三角函数公式大全_第1页
1/9
三角函数公式大全_第2页
2/9
三角函数公式大全_第3页
3/9
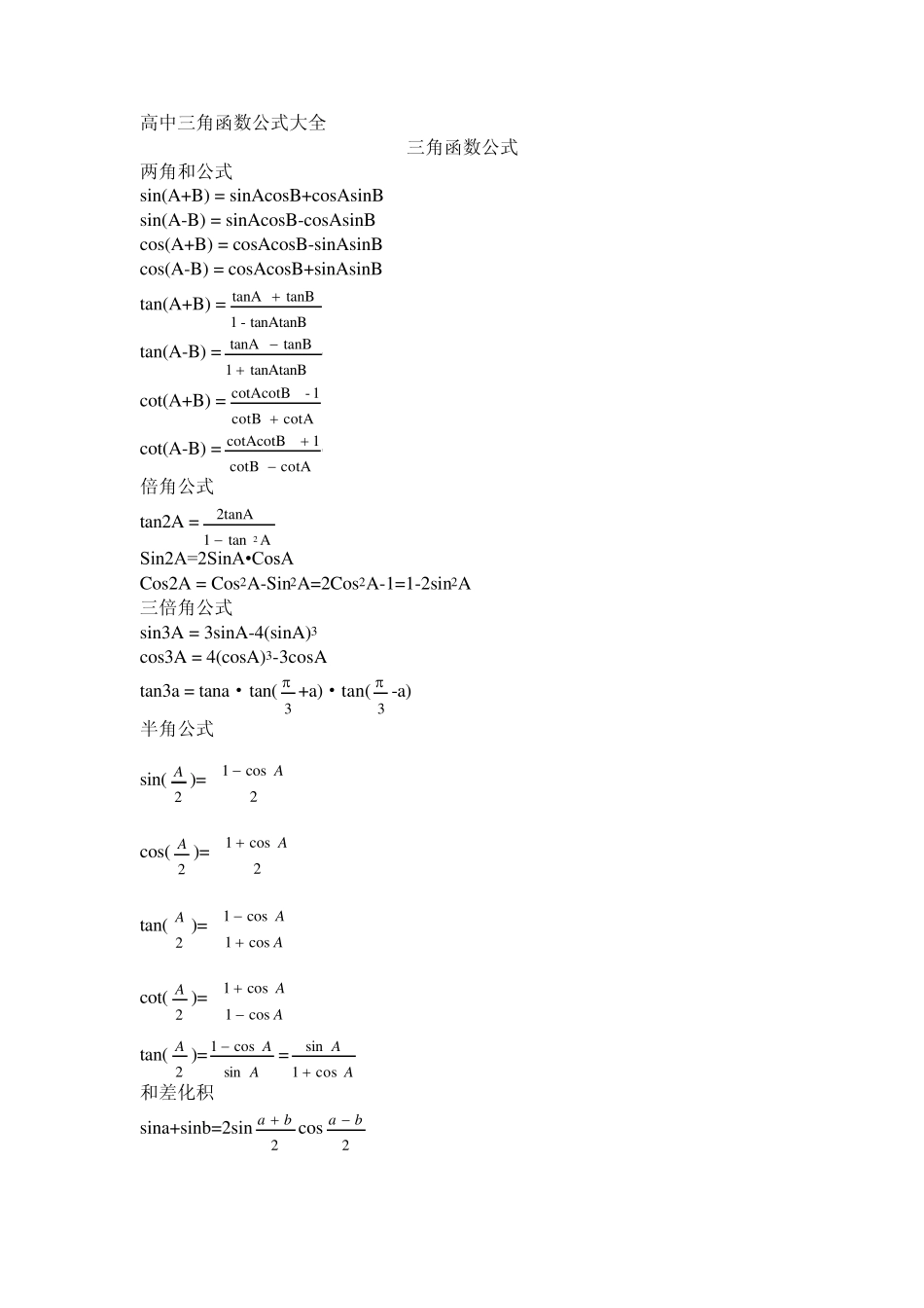
高中三角函数公式大全 三角函数公式 两角和公式 sin(A+B) = sinAcosB+cosAsinB sin(A-B) = sinAcosB-cosAsinB cos(A+B) = cosAcosB-sinAsinB cos(A-B) = cosAcosB+sinAsinB tan(A+B) =tanAtanB-1tanBtanA  tan(A-B) =tanAtanB1tanBtanA cot(A+B) =cotAcotB1-cotAcotB cot(A-B) =cotAcotB1cotAcotB 倍角公式 tan2A =Atan12tanA2 Sin2A=2SinA•CosA Cos2A = Cos2A-Sin2A=2Cos2A-1=1-2sin2A 三倍角公式 sin3A = 3sinA-4(sinA)3 cos3A = 4(cosA)3-3cosA tan3a = tana·tan(3 +a)·tan(3 -a) 半角公式 sin(2A )=2cos1A cos(2A )=2cos1A tan(2A )=AAcos1cos1 cot(2A )=AAcos1cos1 tan(2A )=AAsincos1 =AAcos1sin 和差化积 sina+sinb=2sin2ba cos2ba  sina-sinb=2cos2ba sin2ba  cosa+cosb = 2cos2ba cos2ba  cosa-cosb = -2sin2ba sin2ba  tana+tanb=babacoscos)sin( 积化和差 sinasinb = -21 [cos(a+b)-cos(a-b)] cosacosb = 21 [cos(a+b)+cos(a-b)] sinacosb = 21 [sin(a+b)+sin(a-b)] cosasinb = 21 [sin(a+b)-sin(a-b)] 诱导公式 sin(-a) = -sina cos(-a) = cosa sin(2 -a) = cosa cos(2 -a) = sina sin(2 +a) = cosa cos(2 +a) = -sina sin(π-a) = sina cos(π-a) = -cosa sin(π+a) = -sina cos(π+a) = -cosa tgA=tanA =aacossin 万能公式 sina=2)2(tan12tan2aa cosa=22)2(tan1)2(tan1aa tana=2)2(tan12tan2aa 其它公式 a•sina+b•cosa=)b(a22 ×sin(a+c) [其中 tanc=ab ] a•sin(a)-b•cos(a) = )b(a22 ×cos(a-c) [其中 tan(c)=ba ] 1+sin(a) =(sin2a +cos2a )2 1-sin(a) = (sin2a -cos2a )2 其他非重点三角函数 csc(a) =asin1 sec(a) =acos1 双曲函数 sinh(a)=2e-e-aa cosh(a)=2ee-aa  tg h(a)=)cosh()sinh(aa 公式一: 设 α 为任意角,终边相同的角的同一三角函数的值相等: sin(2kπ+α)= sinα cos(2kπ+α)= cosα tan(2kπ+α)= tanα cot(2kπ+α)= cotα 公式二: 设 α 为任意角,π+α 的三角函数值与 α 的三角函数值之间的关系: sin(π+α)= -sinα cos(π+α)= -cosα tan(π+α)= tanα cot(π+α)= cotα 公式三:...

1、当您付费下载文档后,您只拥有了使用权限,并不意味着购买了版权,文档只能用于自身使用,不得用于其他商业用途(如 [转卖]进行直接盈利或[编辑后售卖]进行间接盈利)。
2、本站所有内容均由合作方或网友上传,本站不对文档的完整性、权威性及其观点立场正确性做任何保证或承诺!文档内容仅供研究参考,付费前请自行鉴别。
3、如文档内容存在违规,或者侵犯商业秘密、侵犯著作权等,请点击“违规举报”。

碎片内容

三角函数公式大全

确认删除?
VIP
微信客服
  • 扫码咨询
会员Q群
  • 会员专属群点击这里加入QQ群
客服邮箱
回到顶部