电脑桌面
添加小米粒文库到电脑桌面
安装后可以在桌面快捷访问

不定积分计算题1答案

不定积分计算题1答案_第1页
1/38
不定积分计算题1答案_第2页
2/38
不定积分计算题1答案_第3页
3/38
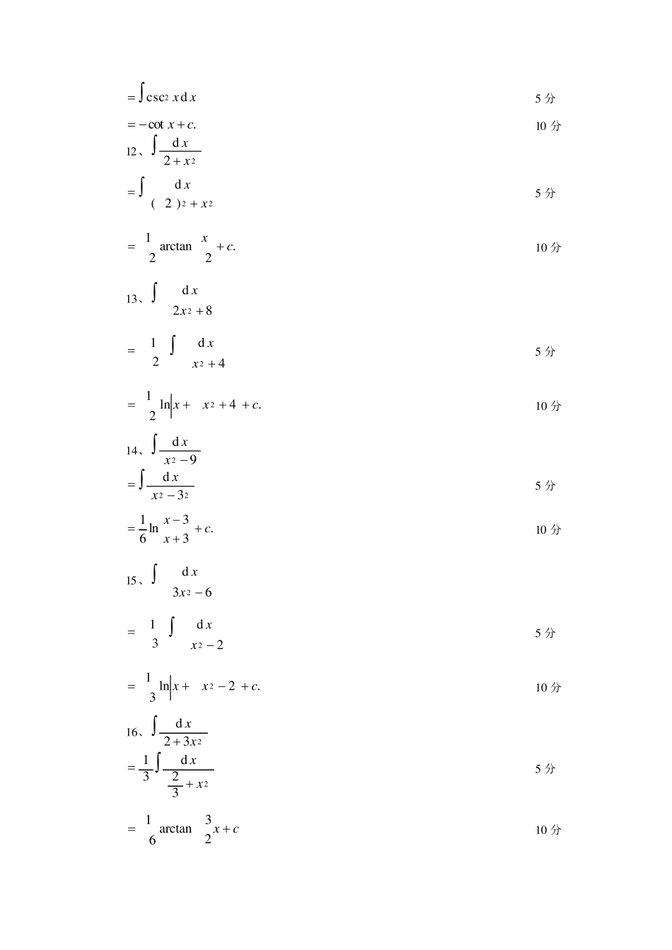
计算题(共 200 小题) 1、,cos)(sin)(sin)(xxcxxf 4 分 )2cos()(cos)()()(nxxxfnn 7 分 .)2sin(d)2cos(d)()(cnxxnxxxfn 10 分 2、fxxfxx( ),().1121122 5 分 .ln21d)211(d)(2cxxxxxxf 10 分 3、.02,02d2212xcxxcxxx 5 分 ccccccxcxoxox21212212)2(lim)2(lim, 令 得由原函数的连续性 .20,2,0,2d22cxxxcxxcxxx 10 分 4、xxfxFd)()(设 )(lim)(lim,.0cos,03)(00213xFxFxcxxcxxFxx由原函数的连续性 则 5 分 得即令 1121211cccccc .0,cos1,03)(3xcxxcxxF 则 10 分 5、 .1)1(211)1(21d)()(2212xcxxcxxxfxF 5 分 由原函数的连续性, 令lim( )lim( ),.xxF xF xccccc111212 .1)1(21,1,)1(21)(22xcxxcxxF, 则 10 分 6、.32d23cxxx 10 分 7、233dxx 21d31xx 5 分 13arcsin.xc 10 分 8、22ddxxaxxa  axc. 10 分 9、xeaxxd xae x d)( 3 分 1ln() ()aeaecx 10 分 11ln.a a ecxx 10、xxxdtancsc22 xx dsec2 5 分 tan.xc 10 分 11、xxxdcotsec22 xxdcsc2 5 分  cot.xc 10 分 12、22dxx 22)2(dxx 5 分 .2arctan21cx  10 分 13、 82d2xx 4d212xx 5 分 1242ln.xxc 10 分 14、 9d2xx 223dxx 5 分 .33ln61cxx 10 分 15、 63d2xx 2d312xx 5 分 1322ln.xxc 10 分 16、232dxx 232d31xx 5 分 1632arctanxc 10 分 17、xxxxd2432 xxxxd2d12541 5 分 cxx121745172454 10 分 18、xxxd xxd43 5 分 .7447cx  10 分 19、xxxd)1(23 xxxxdd2 5 分 .332323cxx 10 分 20、.sinhcoshd)coshsinh(cxbxaxxbxa 10 分 21、xdcot2 xxd)1(csc2 3 分 xxxddcsc2 5 分  cot.xxc 10 分 22、xxxd)1(原式 5 分...

1、当您付费下载文档后,您只拥有了使用权限,并不意味着购买了版权,文档只能用于自身使用,不得用于其他商业用途(如 [转卖]进行直接盈利或[编辑后售卖]进行间接盈利)。
2、本站所有内容均由合作方或网友上传,本站不对文档的完整性、权威性及其观点立场正确性做任何保证或承诺!文档内容仅供研究参考,付费前请自行鉴别。
3、如文档内容存在违规,或者侵犯商业秘密、侵犯著作权等,请点击“违规举报”。

碎片内容

不定积分计算题1答案

确认删除?
VIP
微信客服
  • 扫码咨询
会员Q群
  • 会员专属群点击这里加入QQ群
客服邮箱
回到顶部