电脑桌面
添加小米粒文库到电脑桌面
安装后可以在桌面快捷访问

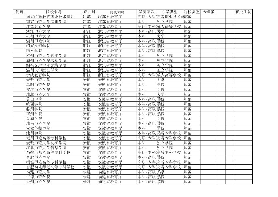
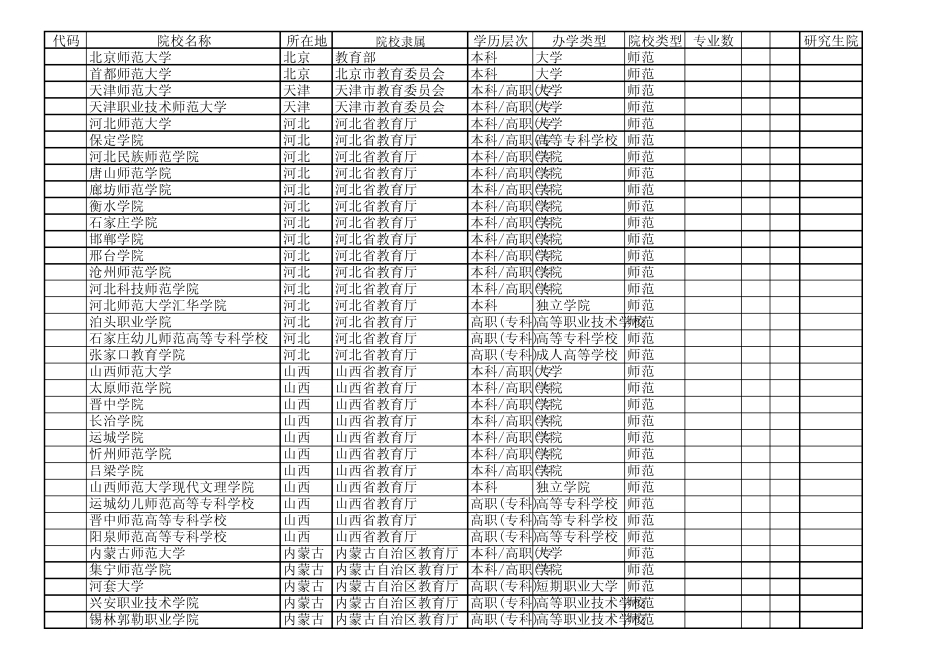
全国师范类院校汇总

全国师范类院校汇总_第1页
1/7
全国师范类院校汇总_第2页
2/7
全国师范类院校汇总_第3页
3/7
代码院校名称所在地 院校隶属学历层次办学类型院校类型专业数985211研究生院10027北京师范大学北京教育部本科大学师范4111110028首都师范大学北京北京市教育委员会本科大学师范4710065天津师范大学天津天津市教育委员会本科/高职(专大学师范6310066天津职业技术师范大学天津天津市教育委员会本科/高职(专大学师范4110094河北师范大学河北河北省教育厅本科/高职(专大学师范6210096保定学院河北河北省教育厅本科/高职(专高等专科学校师范5610098河北民族师范学院河北河北省教育厅本科/高职(专学院师范5610099唐山师范学院河北河北省教育厅本科/高职(专学院师范6310100廊坊师范学院河北河北省教育厅本科/高职(专学院师范6310101衡水学院河北河北省教育厅本科/高职(专学院师范53石家庄学院河北河北省教育厅本科/高职(专学院师范7110103邯郸学院河北河北省教育厅本科/高职(专学院师范4310104邢台学院河北河北省教育厅本科/高职(专学院师范5610105沧州师范学院河北河北省教育厅本科/高职(专学院师范5010798河北科技师范学院河北河北省教育厅本科/高职(专学院师范8213411河北师范大学汇华学院河北河北省教育厅本科独立学院师范18泊头职业学院河北河北省教育厅高职(专科)高等职业技术学校师范14石家庄幼儿师范高等专科学校河北河北省教育厅高职(专科)高等专科学校师范550158张家口教育学院河北河北省教育厅高职(专科)成人高等学校师范2710118山西师范大学山西山西省教育厅本科/高职(专大学师范5310119太原师范学院山西山西省教育厅本科/高职(专学院师范4010121晋中学院山西山西省教育厅本科/高职(专学院师范3210122长治学院山西山西省教育厅本科/高职(专学院师范3310123运城学院山西山西省教育厅本科/高职(专学院师范4010124忻州师范学院山西山西省教育厅本科/高职(专学院师范3610812吕梁学院山西山西省教育厅本科/高职(专学院师范3313537山西师范大学现代文理学院山西山西省教育厅本科独立学院师范2614093运城幼儿师范高等专科学校山西山西省教育厅高职(专科)高等专科学校师范1014270晋中师范高等专科学校山西山西省教育厅高职(专科)高等专科学校师范1314271阳泉师范高等专科学校山西山西省教育厅高职(专科)高等专科学校师范910135内蒙古师范大学内蒙古 内蒙古自治区教育厅本科/高职(专大学师范8611427集宁师范学院内蒙古 内蒙古自治区教育厅本科/高职(专学院师范3611631河套大学内蒙古 内蒙古自治区教育厅高职(专科)短期职业大学师范4112443兴安职业...

1、当您付费下载文档后,您只拥有了使用权限,并不意味着购买了版权,文档只能用于自身使用,不得用于其他商业用途(如 [转卖]进行直接盈利或[编辑后售卖]进行间接盈利)。
2、本站所有内容均由合作方或网友上传,本站不对文档的完整性、权威性及其观点立场正确性做任何保证或承诺!文档内容仅供研究参考,付费前请自行鉴别。
3、如文档内容存在违规,或者侵犯商业秘密、侵犯著作权等,请点击“违规举报”。

碎片内容

全国师范类院校汇总

您可能关注的文档

确认删除?
VIP
微信客服
  • 扫码咨询
会员Q群
  • 会员专属群点击这里加入QQ群
客服邮箱
回到顶部