电脑桌面
添加小米粒文库到电脑桌面
安装后可以在桌面快捷访问

吕萍中级有机答案

吕萍中级有机答案_第1页
1/27
吕萍中级有机答案_第2页
2/27
吕萍中级有机答案_第3页
3/27
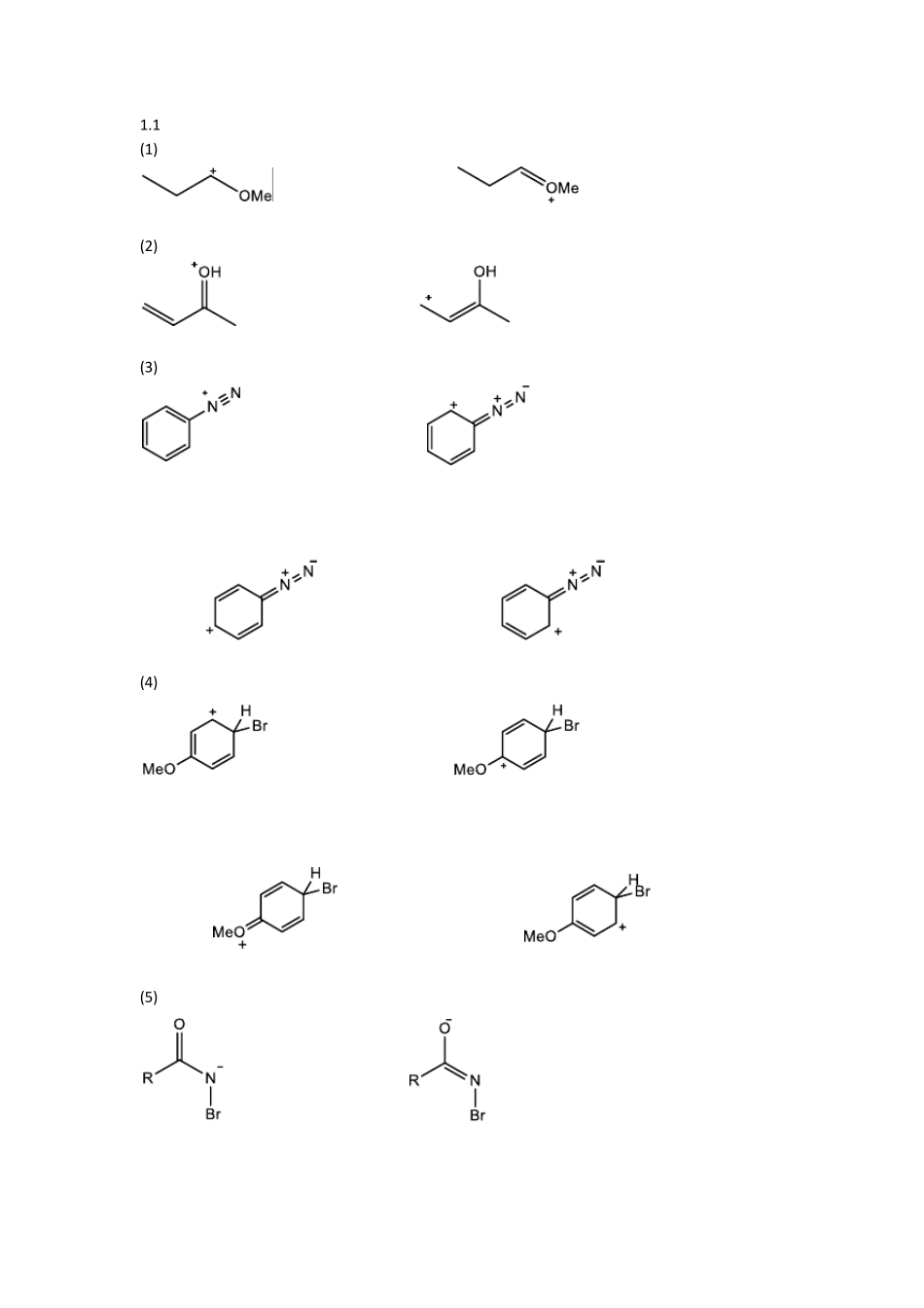
1 .1 (1 ) (2 ) (3 ) (4 ) (5 ) (6) (7) (8) (9) (10) (此结果的共振式N 就是9 个电子了,如果写成阳离子自由基,那么电荷又不平衡了。故这个结构的共振式去掉,不写共振式。事实上,自由基是富电子的,虽然不满足 8 电子,但通常做亲核用,N 上有孤对电子,所以不用写出另一个结构。) (11) (12) 1.3 亲电试剂: Br+ +CH3 BF3 NH4+ Hg(OAc)2 RCHO 亲核试剂: Br- -CH3 (Me)3N 1.4 (1) a > b > c (2) c > b > a (3) a > c > b ( in gas ) (4) a > b > c (5) b > a > c (6) c > a > b 1.5 (1) 1 > 2 (2) 2 > 1 (3) 3 > 2 > 1 (4) 1 > 2 (5) 1 > 2 > 3 (6) 3 > 2 > 1 (7) 1 > 2 2.2反-1,2-二苯基乙烯只能得到R,S 构型的内消旋产物,顺-1,2-二苯基乙烯在与溴反应时,进攻溴鎓离子上不同的碳,可以分别得到R,R 和S,S 构型的产物,而1,1-二苯基乙烯由于产生的碳正离子中间体较溴鎓离子中间体稳定,发生消去反应得到1,1-二苯基-2-溴乙烯。2.42.51234567891011121314153.1下列反应能否发生,若能发生,试预测其产物结构,并推测其机理(SN1 或SN2)以及产物的R/S 构型。1、SN22、 不发生反应3、 SN24、 SN2底物可以作为 SN1 和 SN2,但是 NaN3为较强亲核试剂,反应采取 SN25、 SN23.3 预测下列反应的主要产物3.512345678910Or:113.7对硝基苯甲酸在高温下水解,当X=H,CF3时得到构型保持的产物,X=OCH3或(CH3)2N 时得到混合物,试解释之。X=H,CF3时,双键参与:吸电子基团时原位生成碳正离子较为困难,采取进攻羰基的方式水解,构型保持。X=OCH3或(CH3)2N 时,富电子型的芳烃参与反应:供电子基团时,可以生成碳正离子,手型消失。4.11.2.3.4.5.6.7.8.9.104.2下列α-卤代醇脱 HBr生成环氧,那个底物反应最快?1.2.3.第五章习题答案5.1 推测下列反应的可能机理1234565.2解释下列反应的立体专一性1,2.5.4预测下列反应的产物结构1,2,3,4,5,6,7.1123456787.212347.31[1,3]迁移,碳构型反转23458.1123458.31, 2,34,9.112345679.29.4123,4567

1、当您付费下载文档后,您只拥有了使用权限,并不意味着购买了版权,文档只能用于自身使用,不得用于其他商业用途(如 [转卖]进行直接盈利或[编辑后售卖]进行间接盈利)。
2、本站所有内容均由合作方或网友上传,本站不对文档的完整性、权威性及其观点立场正确性做任何保证或承诺!文档内容仅供研究参考,付费前请自行鉴别。
3、如文档内容存在违规,或者侵犯商业秘密、侵犯著作权等,请点击“违规举报”。

碎片内容

吕萍中级有机答案

确认删除?
VIP
微信客服
  • 扫码咨询
会员Q群
  • 会员专属群点击这里加入QQ群
客服邮箱
回到顶部