电脑桌面
添加小米粒文库到电脑桌面
安装后可以在桌面快捷访问

对数函数的单调性、奇偶性的运用

对数函数的单调性、奇偶性的运用_第1页
1/10
对数函数的单调性、奇偶性的运用_第2页
2/10
对数函数的单调性、奇偶性的运用_第3页
3/10
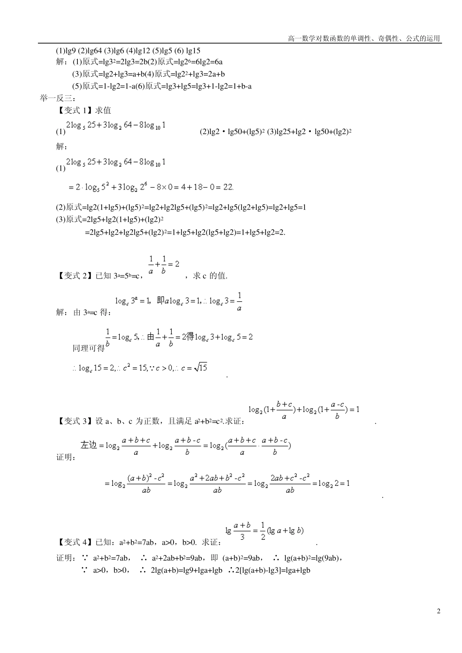
高一数学对数函数的单调性、奇偶性、公式的运用 1 经典例题透析 类型一、指数式与对数式互化及其应用 1.将下列指数式与对数式互化: (1);(2);(3);(4);(5);(6). 思路点拨:运用对数的定义进行互化. 解:(1);(2);(3);(4);(5); (6). 总结升华:对数的定义是对数形式和指数形式互化的依据,而对数形式和指数形式的互化又是解决问题的重要手段. 举一反三: 【变式1】求下列各式中x 的值: (1) (2) (3)lg100=x (4) 思路点拨:将对数式化为指数式,再利用指数幂的运算性质求出x . 解:(1); (2); (3)10x=100=102,于是x =2; (4)由. 类型二、利用对数恒等式化简求值 2.求值: 解:. 总结升华:对数恒等式中要注意格式:①它们是同底的;②指数中含有对数形式;③其值为真数.举一反三: 【变式1】求的值(a,b,c∈R+,且不等于1,N>0) 思路点拨:将幂指数中的乘积关系转化为幂的幂,再进行运算. 解:. 类型三、积、商、幂的对数 3.已知 lg2=a,lg3=b,用a、b 表示下列各式. 高一数学对数函数的单调性、奇偶性、公式的运用 2 (1)lg9 (2)lg64 (3)lg6 (4)lg12 (5)lg5 (6) lg15 解:(1)原式=lg32=2lg3=2b(2)原式=lg26=6lg2=6a (3)原式=lg2+lg3=a+b(4)原式=lg22+lg3=2a+b (5)原式=1-lg2=1-a(6)原式=lg3+lg5=lg3+1-lg2=1+b-a 举一反三: 【变式1】求值 (1) (2)lg2·lg50+(lg5)2 (3)lg25+lg2·lg50+(lg2)2 解: (1) (2)原式=lg2(1+lg5)+(lg5)2=lg2+lg2lg5+(lg5)2=lg2+lg5(lg2+lg5)=lg2+lg5=1 (3)原式=2lg5+lg2(1+lg5)+(lg2)2 =2lg5+lg2+lg2lg5+(lg2)2=1+lg5+lg2(lg5+lg2)=1+lg5+lg2=2. 【变式2】已知 3a=5b=c,,求c 的值. 解:由 3a=c 得: 同理可得 . 【变式3】设 a、b、c 为正数,且满足 a2+b2=c2.求证:. 证明: . 【变式4】已知:a2+b2=7ab,a>0,b>0. 求证:. 证明: a2+b2=7ab, ∴ a2+2ab+b2=9ab,即 (a+b)2=9ab, ∴ lg(a+b)2=lg(9ab), a>0,b>0, ∴ 2lg(a+b)=lg9+lga+lgb ∴2[lg(a+b)-lg3]=lga+lgb 高一数学对数函数的单调性、奇偶性、公式的运用 3 即 . 类型四、换底公式的运用 4.(1)已知logxy=a, 用a 表示 ; (2)已知logax=m, logbx=n, logcx=p, 求logabcx. 解:(1)原式=; (2)思路点拨:将条件和结论中的底化为同底. 方法一:am=x, bn=x, cp=x ∴, ∴ ; 方法二:. 举一反三: 【变式1】求值:(1);(2)...

1、当您付费下载文档后,您只拥有了使用权限,并不意味着购买了版权,文档只能用于自身使用,不得用于其他商业用途(如 [转卖]进行直接盈利或[编辑后售卖]进行间接盈利)。
2、本站所有内容均由合作方或网友上传,本站不对文档的完整性、权威性及其观点立场正确性做任何保证或承诺!文档内容仅供研究参考,付费前请自行鉴别。
3、如文档内容存在违规,或者侵犯商业秘密、侵犯著作权等,请点击“违规举报”。

碎片内容

对数函数的单调性、奇偶性的运用

小辰9+ 关注
实名认证
内容提供者

出售各种资料和文档

确认删除?
VIP
微信客服
  • 扫码咨询
会员Q群
  • 会员专属群点击这里加入QQ群
客服邮箱
回到顶部