电脑桌面
添加小米粒文库到电脑桌面
安装后可以在桌面快捷访问

微观经济学公式汇总

微观经济学公式汇总_第1页
1/7
微观经济学公式汇总_第2页
2/7
微观经济学公式汇总_第3页
3/7
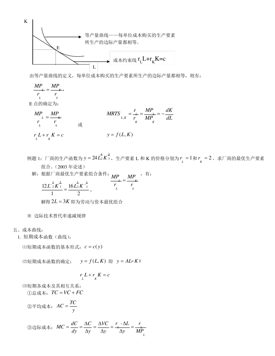
●微观经济学部分 一、弹性的概念:(国务院不喜欢弹性,所以一般不会出题) 需求的价格弹性(Price elasticity of demand): ⑴点弹性: ex,p= 其中:dPdQ为需求量在价格为P 时的变动率 当ex,p=0 时,需求完全弹性; 当0<ex,p<1 时,需求缺乏弹性; 当ex,p=1 时,需求具有单位弹性; 当1<ex,p<∞时,需求富有弹性; 当ex,p=∞时,需求完全弹性 ⑵弧弹性: ex,p= ⑶需求的收入弹性: em<1:必需品;em>1:奢侈品;em<0:低档品。 二、需求函数: ——消费者需求曲线 线性函数:Q(d)=-aP+b 其中a>0 三、效用论——无差异曲线的推导: 1. 效用λ=2211PMUPMU…… 2. 收入是确定的m:收入约束线 3. 等效用下的两种商品的相互替代——商品的边际替代率:RCS1,2=RCS2,1 ※ 边际替代率递减规律:RCS1,2=12XX 4. 消费者决策均衡时的条件(消费者均衡)——无差异曲线和预算约束线的切点E ⑴公式表示 : px1+px2=m QPdPdQQPPQ2121XXPPPX)(2211PMUPMU)(Pfy ⑵图形表示: X’2 四、生产论——生产函数: 1. 短期生产函数(只有一种可变生产要素,一般指劳动): ⑴ 生产函数基本形式: ——比较消费者需求函数y =f (P) ⑵ 科布—道格拉斯生产函数: ——常见生产函数 其中:A:现有技术水平;α:劳动对产出的弹性值;β:资本对产出的弹性值 ⑶生产要素的合理投入区:平均产量最大→边际产量为0。 即: APL=MPL MPL=0 如图所示,第Ⅱ阶段为合理投入区。 ※边际收益递减规律(一种可变要素投入到其他一种或几种不变生产要素上) ⑷平均生产函数(投入变量以L 为例): LyAPL  (其中y 为生产函数的各种形式) ⑸生产要素价格(工资率)与商品价格的关系(仍以劳动作为可变要素):P·MPL= rL 2. 长期生产函数(所有生产要素都可变): ⑴ 等产量曲线——比较无差异曲线 ⑵ 边际技术替代率:dLdKRTSKL, ⑶ 生产要素的最优组合 XX2 A B *1X1 U E O  KALKLfy),(),(KLfy  E 由等产量曲线的定义,每单位成本购买的生产要素所生产的边际产量都相等,则有: , E 点的确定为: 或 例题1:厂商的生产函数为322124KLy ,生产要素L 和K 的价格分别为1Lr和2Kr,求厂商的最优生产要素组合。(2003 年论述) 解:根据厂商最优生产要素组合条件: ,有: 21611231213221KLKL, 解...

1、当您付费下载文档后,您只拥有了使用权限,并不意味着购买了版权,文档只能用于自身使用,不得用于其他商业用途(如 [转卖]进行直接盈利或[编辑后售卖]进行间接盈利)。
2、本站所有内容均由合作方或网友上传,本站不对文档的完整性、权威性及其观点立场正确性做任何保证或承诺!文档内容仅供研究参考,付费前请自行鉴别。
3、如文档内容存在违规,或者侵犯商业秘密、侵犯著作权等,请点击“违规举报”。

碎片内容

微观经济学公式汇总

您可能关注的文档

确认删除?
VIP
微信客服
  • 扫码咨询
会员Q群
  • 会员专属群点击这里加入QQ群
客服邮箱
回到顶部