电脑桌面
添加小米粒文库到电脑桌面
安装后可以在桌面快捷访问

高考英语真题汇编 任务型阅读.docVIP免费

高考英语真题汇编 任务型阅读.doc_第1页
1/10
高考英语真题汇编 任务型阅读.doc_第2页
2/10
高考英语真题汇编 任务型阅读.doc_第3页
3/10
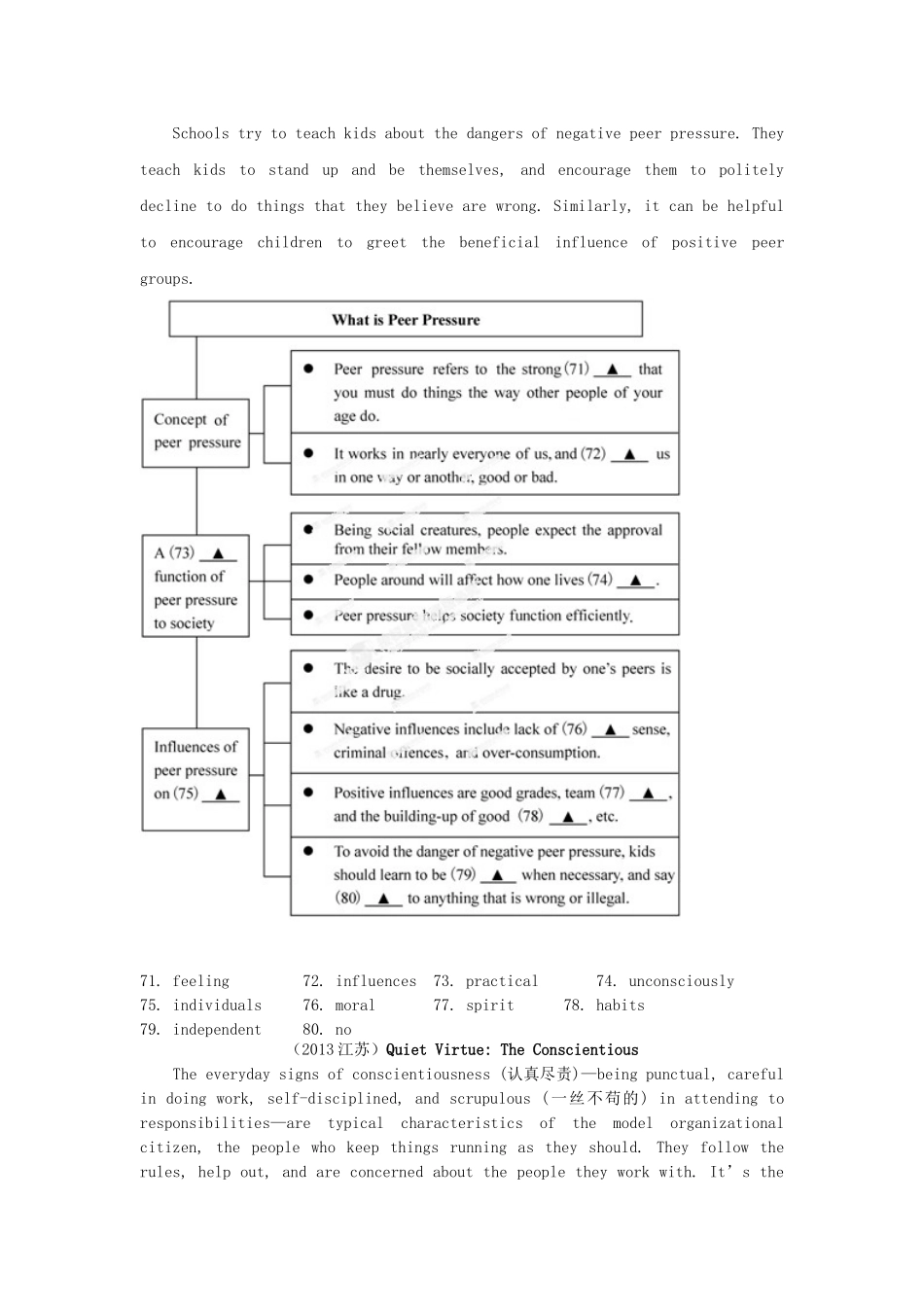
任务型阅读(2014江苏)Theexpression,“everybody’sdoingit,”isverymuchatthecenteroftheconceptofpeerpressure.Itisastronginfluenceofagroup,especiallyofchildren,onmembersofthatgrouptobehaveaseverybodyelsedoes.Itcanbepositiveornegative.Mostpeopleexperienceitinsomewayduringtheirlives.Peoplearesocialcreaturesbynature,andsoitishardlysurprisingthatpartoftheirself-respectcomesfromtheapprovalofothers.Thisinstinct(天性)iswhytheapprovalofpeers,orthefearofdisapproval,issuchapowerfulforceinmanypeople’slives.Itisthesameinstinctthatdrivespeopletodressonewayathomeandanotherwayatwork,ortoanswer“fine”whenastrangerasks“howareyou?”evenifitisnotnecessarilytrue.Thereisapracticalaspecttothis:ithelpssocietytofunctionefficiently,andencouragesagenerallevelofself-disciplinethatsimplifiesday-to-dayinteraction.Forcertainindividuals,seekingsocialacceptanceissoimportantthatitbecomeslikeanaddiction;inordertosatisfythedesire,theymaygosofarastoabandontheirsenseofrightandwrong.Teensandyoungadultsmayfeelforcedtousedrugs,orjoingangsthatencouragecriminalbehavior.Matureadultsmaysometimesfeelpressuredtocoverupillegalactivityatthecompanywheretheywork,orendupindebtbecausetheyareunabletoholdbackthedesiretobuyahouseorcarthattheycan’taffordinaneffortto“keepupwiththeJoneses.”However,peerpressureisnotalwaysnegative.Astudentwhosefriendsaregoodatacademicsmaybeurgedtostudyharderandgetgoodgrades.Playersonasportsteammayfeeldriventoplayharderinordertohelptheteamwin.Thistypeofinfluencecanalsogetafriendoffdrugs,ortohelpanadulttakeupagoodhabitordropabadone.Studygroupsandclassprojectsareexamplesofpositivepeergroupsthatencouragepeopletobetterthemselves.Schoolstrytoteachkidsaboutthedangersofnegativepeerpressure.Theyteachkidstostandupandbethemselves,andencouragethemtopolitelydeclinetodothingsthattheybelievearewrong.Similarly,itcanbehelpfultoencouragechildrentogreetthebeneficialinfluenceofpositivepeergroups.71.feeling72.influences73.practical74.unconsciously75.individuals76.moral77.spirit78.habits79.independent80.no(2013江苏)QuietVirtue:TheConscientiousTheeverydaysignsofconscientiousness(认真尽责)—beingpunctual,carefulindoingwork,self-disciplined,andscrupulous(一丝不苟的)inattendingtoresponsibilities—aretypicalcharacteristicsofthemodelorganizationalcitizen,thepeoplewhokeepthingsrunningastheyshould.Theyfollowtherules,helpout,andareconcernedaboutthepeopletheyworkwith.It’stheconscientiousworkerwhohelpsnewcomersorupdatespeoplewhoreturnafteranabsence,whogetstoworkontimeandneverabusessickleaves,whoalwaysgetsthingsdoneondeadline.Conscientiousnessisakeytosuccessinanyfield.Instudiesofjobperformance,outstandingeffectivenessforalmostalljobs,fromsemi-skilledlabortosalesandmanagement,dependsonconscientiousness.Itisparticularlyimportantforoutstandingperformanceinjobsatthelowerlevelsofanorganization:thesecretarywhosemessagetakingisperfect,thedeliverytruckdriverwhoisalwaysontime.AmongsalesrepresentativesforalargeAmericancarmanufacturer,thosewhoweremostconscientioushadthelargestvolumeofsales.Conscientiousnessalsooffersabuffer(缓冲)againstthethreatofjoblossintoday’sconstantlychangingmarket,becauseemployeeswiththisqualityareamongthemostvalued.Forthesalesrepresentatives,theirlevelofconscientiousnessmatteredalmostasmuchastheirsalesindeterminingwhostayedon.Thereisanairaroundhighlyconscientiouspeoplethatmakesthemseemevenbetterthantheyactua...

1、当您付费下载文档后,您只拥有了使用权限,并不意味着购买了版权,文档只能用于自身使用,不得用于其他商业用途(如 [转卖]进行直接盈利或[编辑后售卖]进行间接盈利)。
2、本站所有内容均由合作方或网友上传,本站不对文档的完整性、权威性及其观点立场正确性做任何保证或承诺!文档内容仅供研究参考,付费前请自行鉴别。
3、如文档内容存在违规,或者侵犯商业秘密、侵犯著作权等,请点击“违规举报”。

碎片内容

高考英语真题汇编 任务型阅读.doc

您可能关注的文档

确认删除?
VIP
微信客服
  • 扫码咨询
会员Q群
  • 会员专属群点击这里加入QQ群
客服邮箱
回到顶部