电脑桌面
添加小米粒文库到电脑桌面
安装后可以在桌面快捷访问

机械优化设计习题参考答案第五版

机械优化设计习题参考答案第五版_第1页
1/40
机械优化设计习题参考答案第五版_第2页
2/40
机械优化设计习题参考答案第五版_第3页
3/40
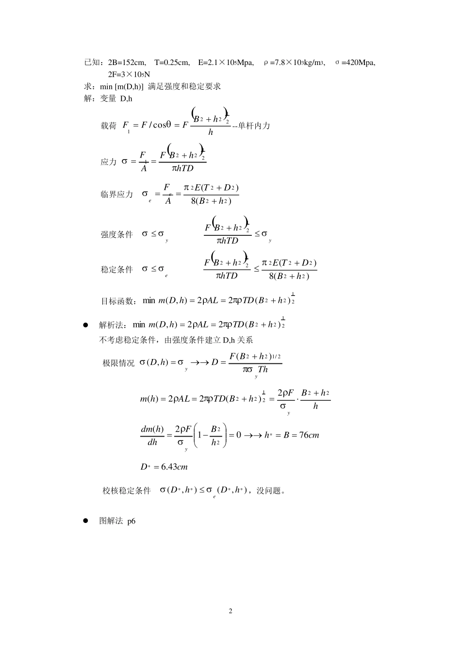
1 结 构 优 化 设 计 structural optimal design (optimum structural design) 参 考 书 : 1. 孙 靖 民 : 机 械 优 化 设 计 , 机 械 工 业 出 版 社 , 2003 2. 孙 德 敏 : 工 程 最 优 化 方 法 和 应 用 , 中 国 科 大 出 版 社 , 1997 3. 施 光 燕 : 最 优 化 方 法 , 高 教 出 版 社 , 1999 绪 论 1. 内 容 基 本 概 念 : 结 构 (structure) 广 义 —系 统 组 成 ; 窄 义 —承 受 载 荷 、 维 持 系 统 几 何 形 状 不 变 的 部 分 , 如 梁 杆 板 壳 及 其 组 合 。 结构 是 用 来 支 承 有 效 载 荷 的 。 设 计 (design) 完 成 一 项 新 产 品 、 新 工 程 前 的 方 案 构 思 ( 如 大 小 、 尺 寸 、 形 状 、 材 料 、 工 艺 过程 等 )。 数 据 —数 字 化 --CAE 优 化 (optimization) 从 几 种 方 案 中 选 出 最 好 的 —优 选 ; 从 设 计 空 间 中 的 无 数 种 方 案 中 用 计 算机 选 出 最 好 的 —优 化 。 2. 工 程 中 的 优 化 问 题 1) 桥 梁 2) 等 强 度 梁 , 铁 塔 3) 飞 机 、 航 天 器 4) 其 他 领 域( 控制、 化 工 ) 3. 发展史: 牛顿, 计 算 机 , 钱令希; MATLAB—优 化 工 具箱; 遗传算 法 MATLAB—面向工 程 的 高 级语言 Optimization Toolbox 主要功能: 1) 线性规划 xc TbAxmin —— bAclpx,,*  2) 二次规划 xcxHxTTbAx21min —— ),,,(*bAcHqpx  一 、 概 述( 入 门 实 例 ) 一 、 举 例 1. 人 字 架 优 化 2 已知:2B=152cm, T=0.25cm, E=2.1×105Mpa, ρ=7.8×103kg/m3, σ=420Mpa, 2F=3×105N 求:min [m(D,h)] 满足强度和稳定要求 解:变量 D,h 载荷 hhBFFF21221cos/--单杆内力 应力 hTDhBFAF21221 临界应力 )(8)(22222hBDTEAFee 强度条件 y  hTDhBF2122 y 稳定条件 e  hTDhBF2122 )(8)(22222hBDTE  目标函数:2122)(22),(minhBTDALhDm  解析法:2122)(22),(minhBTDALhDm...

1、当您付费下载文档后,您只拥有了使用权限,并不意味着购买了版权,文档只能用于自身使用,不得用于其他商业用途(如 [转卖]进行直接盈利或[编辑后售卖]进行间接盈利)。
2、本站所有内容均由合作方或网友上传,本站不对文档的完整性、权威性及其观点立场正确性做任何保证或承诺!文档内容仅供研究参考,付费前请自行鉴别。
3、如文档内容存在违规,或者侵犯商业秘密、侵犯著作权等,请点击“违规举报”。

碎片内容

机械优化设计习题参考答案第五版

小辰5+ 关注
实名认证
内容提供者

出售各种资料和文档

确认删除?
VIP
微信客服
  • 扫码咨询
会员Q群
  • 会员专属群点击这里加入QQ群
客服邮箱
回到顶部