电脑桌面
添加小米粒文库到电脑桌面
安装后可以在桌面快捷访问

机械工程测试技术基础第三版课后题答案

机械工程测试技术基础第三版课后题答案_第1页
1/12
机械工程测试技术基础第三版课后题答案_第2页
2/12
机械工程测试技术基础第三版课后题答案_第3页
3/12
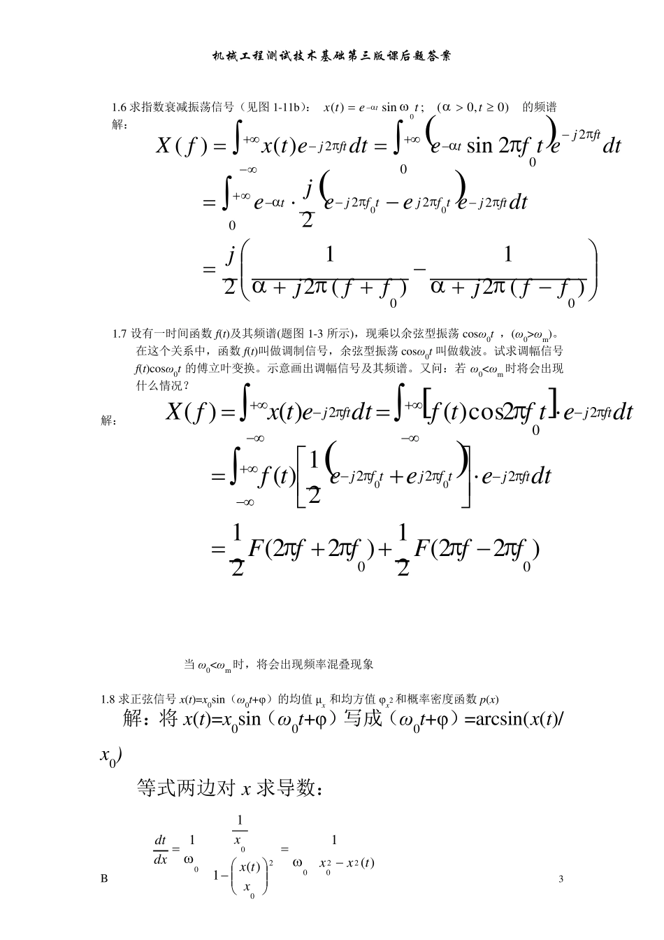
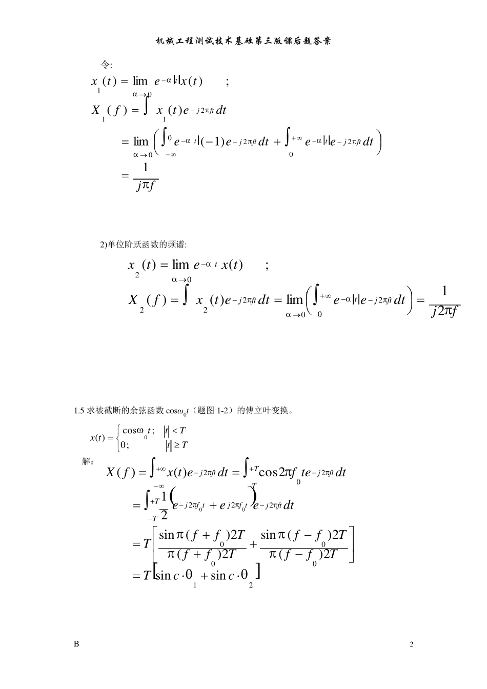
机 械 工 程 测 试 技 术 基 础 第 三 版 课 后 题 答 案 B 1 1.1 求周期方波(图1-4)的傅立叶级数(复指数函数形式)。画出频谱图|Cn|—ω ;φn—ω 图并与表 1-1 对比。 解:傅立叶级数的复指数形式表达式: ,3,2,1,0;)(0neCtxntjnn 式中: 所以: 幅值频谱: 相位频谱: 傅立叶级数的复指数形式的幅值频谱图和相位频谱都是双边频谱图。 1.2 求正弦信号 x (t)=x 0sinωt 的绝对均值 μ|x |和均方根值 x rms 解: 1.3 求指数函数 的频谱。 解: 1.4 求符号函数(题图1-1a)和单位阶跃函数(题图1-1b)的频谱. 解:1) 符号函数的频谱: ,6,4,2;0,5,3,1;2cos12111)(1)(1200002002002022000000000000nnnAjnnAjeenjAnjAejnATejnATdtAedteATdtetxTCjnjnTtjnTtjnTtjnTtjnTTtjnn ,7,5,3,1;2)(0nenAjtxtjnn,5,3,1;222nnACCCnInRn ,5,3,1;2,5,3,1;202nnnAarctgCCarctgnRnIn2;2sin1)(lim0000000TxtdtxTdttxTTTx式中:2sin1)(10020002000xdtdtxTdttxTxTTrms)0;0(;)(tAetxt fjAdteAedtetxfXftjtftj2)()(022机 械 工 程 测 试 技 术 基 础 第 三 版 课 后 题 答 案 B 2 令: 2)单位阶跃函数的频谱: 1.5 求被截断的余弦函数cosω0t(题图1-2)的傅立叶变换。 解: fjdteedteedtetxfXtxetxftjtftjtftjt1)1(lim)()(;)(lim)(0220021101fjdteedtetxfXtxetxftjtftjt21lim)()(;)(lim)(02022202TtTtttx;0;cos)(0210000222202sinsin2)(2)(sin2)(2)(sin212cos)()(00ccTTffTffTffTffTdteeedttefdtetxfXftjtfjtfjTTTTftjftj机 械 工 程 测 试 技 ...

1、当您付费下载文档后,您只拥有了使用权限,并不意味着购买了版权,文档只能用于自身使用,不得用于其他商业用途(如 [转卖]进行直接盈利或[编辑后售卖]进行间接盈利)。
2、本站所有内容均由合作方或网友上传,本站不对文档的完整性、权威性及其观点立场正确性做任何保证或承诺!文档内容仅供研究参考,付费前请自行鉴别。
3、如文档内容存在违规,或者侵犯商业秘密、侵犯著作权等,请点击“违规举报”。

碎片内容

机械工程测试技术基础第三版课后题答案

小辰7+ 关注
实名认证
内容提供者

出售各种资料和文档

确认删除?
VIP
微信客服
  • 扫码咨询
会员Q群
  • 会员专属群点击这里加入QQ群
客服邮箱
回到顶部