电脑桌面
添加小米粒文库到电脑桌面
安装后可以在桌面快捷访问

材料力学(金忠谋)第六版答案第04章

材料力学(金忠谋)第六版答案第04章_第1页
1/14
材料力学(金忠谋)第六版答案第04章_第2页
2/14
材料力学(金忠谋)第六版答案第04章_第3页
3/14
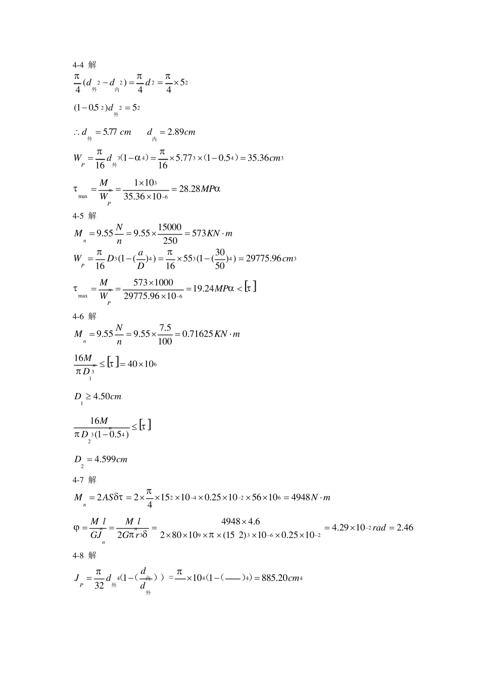
习题 4-1 解: 各杆的扭矩图 4-2 解 (1)扭矩图 (2)mKNANM388.22005055.955.91 mKNM4775.02001055.92 mKNMMM955.02243 1 和 3 轮换位:mKNM n4325.1955.04775.0max 4-3 解 444561.363232PdJcm 33max6224.5432.591 1040.7524.54 10PPAPnPJWcmdnMPJMMPW mKN  mKN  mKN  4-4 解 2222()5444ddd外内 222(10.5 )5d外 5.77dcm外 2.89dcm内 3434315.771 0.535.361616PWdcm外()() 3max61 1028.2835.36 10nPMMPW 4-5 解 150009.559.55573250nNMKN mn 3434330(1 () )55 (1 () )29775.96161650PaWDcmD  max6573 100019.2429775.96 10nPMMPW 4-6 解 7.59.559.550.71625100nNMKN mn  6311640 10nMD 14.50Dcm  34216(10.5 )nMD 24.599Dcm 4-7 解 24262215100.25 1056 1049484nMASN m 23936249484.64.29 102.4622 80 10(15 2)100.25 10nnnM lM lradGJG r4-8 解 4444110 1885.2032PdJdcmd4内外外5.6( ())=( ())3210 32177.04PPJWcmD max613257.48177.04 10nPMMPW 34981325 280 105.23 10 ()80 10885.2 10nABPM lradGJ 4-9 解 1109.559.5517.560nNMKN mn 444154970.103232PJDcm 32662.68PPJWcmD  5max617.5 1026.4662.68 10nPMMPW 358175004.4 10/0.252 /80 104970 10nPMrad mmGJ 4-10 解 (1)109.559.550.53180nNMKN mn 30.53 1013.25/40nTMmNm ma (2)  33max334640.53 100.53 101624.146 (1 0.4823)10(1)16MPD (3)0()( )anABPPMlaM x dxGJGJ =0.251214.39rad  4-11 解 120.50.5 180()0.6nnPPMMGJGJ 12949432320.50.50.60.50.60.5()()4.78118018080 100.180 100.08nPPMKN mGJGJ22max33478147.56220.0820...

1、当您付费下载文档后,您只拥有了使用权限,并不意味着购买了版权,文档只能用于自身使用,不得用于其他商业用途(如 [转卖]进行直接盈利或[编辑后售卖]进行间接盈利)。
2、本站所有内容均由合作方或网友上传,本站不对文档的完整性、权威性及其观点立场正确性做任何保证或承诺!文档内容仅供研究参考,付费前请自行鉴别。
3、如文档内容存在违规,或者侵犯商业秘密、侵犯著作权等,请点击“违规举报”。

碎片内容

材料力学(金忠谋)第六版答案第04章

确认删除?
VIP
微信客服
  • 扫码咨询
会员Q群
  • 会员专属群点击这里加入QQ群
客服邮箱
回到顶部