电脑桌面
添加小米粒文库到电脑桌面
安装后可以在桌面快捷访问

材料力学第四章

材料力学第四章_第1页
1/25
材料力学第四章_第2页
2/25
材料力学第四章_第3页
3/25
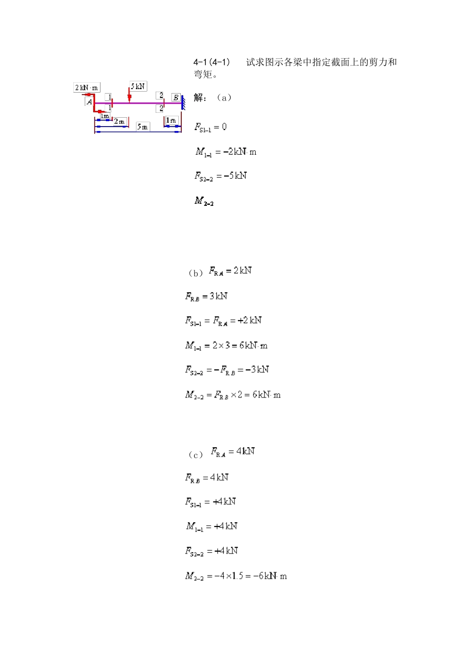
4-1(4-1) 试求图示各梁中指定截面上的剪力和弯矩。 解 :(a) (b) (c) (d) = (e) (f) (g) (h) = 返回 4-2(4-2) 试写出下列各梁的剪力方程和弯矩方程,并作剪力图和弯矩图。 解 :(a) (b) 时 时 (c) 时 时 (d) (e) 时, 时, (f)AB 段: BC 段: (g)AB 段内: BC 段内: (h)AB 段内: BC 段内: CD 段内: 返回 4-3(4-3) 试利用荷载集度、剪力和弯矩间的微分关系作下列各梁的剪力图和弯矩图。 返回 4-4(4-4) 试作下列具有中间铰的梁的剪力图和弯矩图。 返回 4-5(4-6) 已知简支梁的剪力图如图所示。试作梁的弯矩图和荷载图。已知梁上没有集中力偶作用。 返回 4-6(4-7) 试根据图示简支梁的弯矩图作出梁的剪力图与荷载图。 返回 4-7(4-15) 试作图示刚架的剪力图、弯矩图和轴力图。 返回 4-8(4-18) 圆弧形曲杆受力如图所示。已知曲杆轴线的半径为R,试写出任意横截面C 上剪力、弯矩和轴力的表达式(表示成 角的函数),并作曲杆的剪力图、弯矩图和轴力图。 解 :(a) (b) 返回 4-9(4-19) 图示吊车梁,吊车的每个轮子对梁的作用力都是F,试问: (1)吊车在什么位置时,梁内的弯矩最大?最大弯矩等于多少? (2)吊车在什么位置时,梁的支座反力最大?最大支反力和最大剪力各等于多少? 解 :梁的弯矩最大值发生在某一集中荷载作用处。 ,得: 当 时, 当 M 极大时: , 则 ,故, 故 为梁内发生最大弯矩的截面 故: = 返回 4-10(4-21) 长度为250mm、截面尺寸为 的薄钢尺,由于两端外力偶的作用而弯成中心角为 的圆弧。已知弹性模量 。试求钢尺横截面上的最大正应力。 解 :由中性层的曲率公式 及横截面上最大弯曲正应力公式 得: 由几何关系得: 于是钢尺横截面上的最大正应力为: 4-11(4-25) 矩形截面的悬臂梁受集中力和集中力偶作用,如图所示。试求截面 m-m 和固定端截面 n-n 上 A,B,C,D 四点处的正应力。 解 :对 m-m 及 n-n 截面,都给以坐标系如图所示。于是有: m-m 截面及 n-n 截面的弯矩分别是: 横截面对 z 轴的惯性矩为: 因此,各点的正应力分别是: , 返回 4-12(4-30) 图示一由16 号工字钢制成的简支梁承受集中荷载F。在梁的截面C-C 处下边缘上,用标距 mm 的应变仪量得纵向伸长 mm。已知梁的跨长 m, m,弹性模量 。试求 F 力的大小。 解 :16 号工字钢...

1、当您付费下载文档后,您只拥有了使用权限,并不意味着购买了版权,文档只能用于自身使用,不得用于其他商业用途(如 [转卖]进行直接盈利或[编辑后售卖]进行间接盈利)。
2、本站所有内容均由合作方或网友上传,本站不对文档的完整性、权威性及其观点立场正确性做任何保证或承诺!文档内容仅供研究参考,付费前请自行鉴别。
3、如文档内容存在违规,或者侵犯商业秘密、侵犯著作权等,请点击“违规举报”。

碎片内容

材料力学第四章

您可能关注的文档

小辰6+ 关注
实名认证
内容提供者

出售各种资料和文档

确认删除?
VIP
微信客服
  • 扫码咨询
会员Q群
  • 会员专属群点击这里加入QQ群
客服邮箱
回到顶部