电脑桌面
添加小米粒文库到电脑桌面
安装后可以在桌面快捷访问

江西省大中型水库

江西省大中型水库_第1页
1/6
江西省大中型水库_第2页
2/6
江西省大中型水库_第3页
3/6
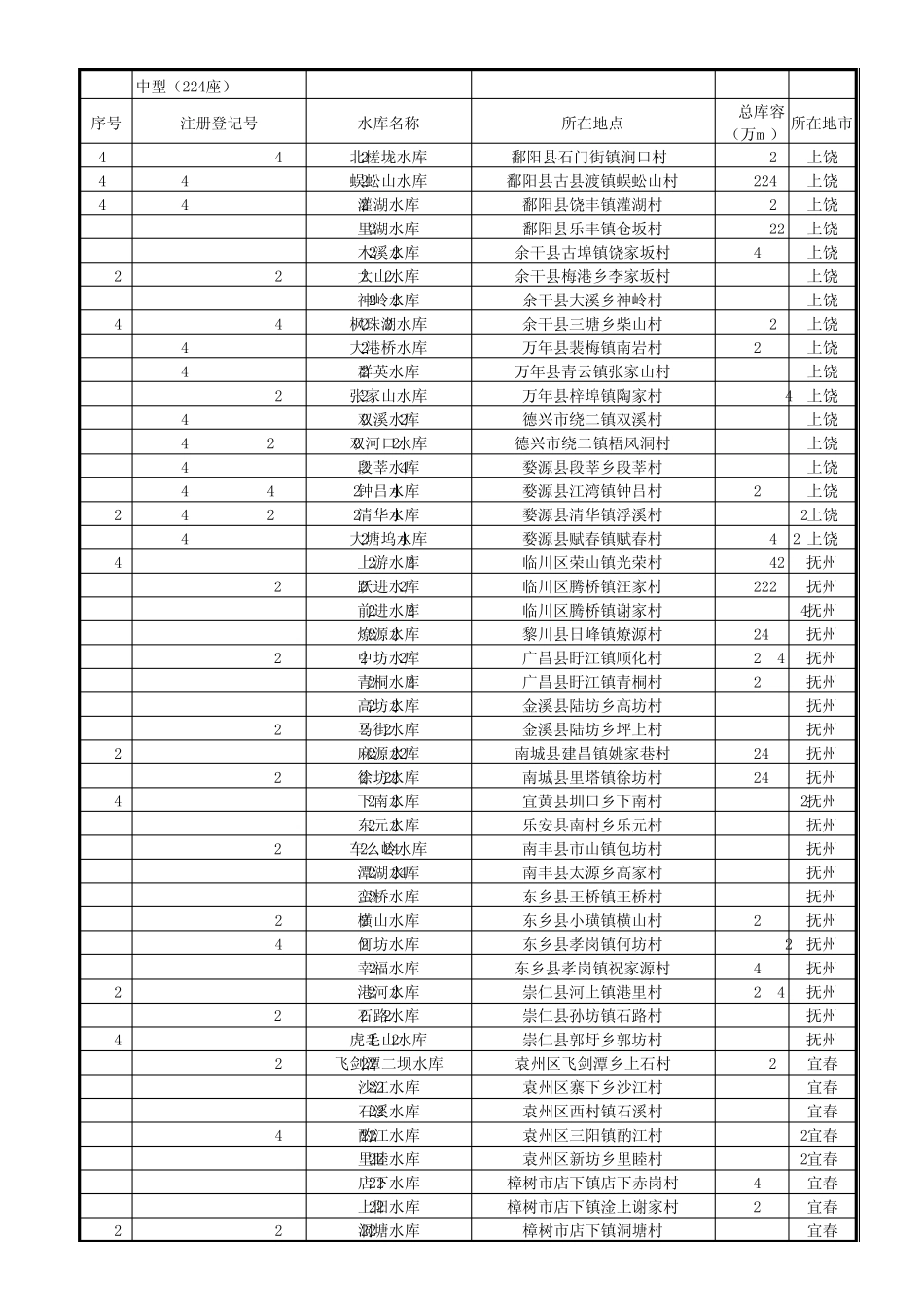
大型(25座)序号注册登记号水库名称所在地点总库容(万m3)所在地市1BF2FFF001B-F360424东津水库修水县东津乡山口段村79500九江2BF2FFF001A-F360425柘林水库永修县柘林镇792000九江3 BF3FFF001B-A362300大坳水库上饶县上泸镇大坳村27570上饶4 BF3FFF001B-A362323七一水库玉山县双明镇棠梨山村24890上饶5BF6FFF001B-A362330军民水库鄱阳县喉家岗乡炉下村18940上饶6 BF4FFF002B-A362330滨田水库鄱阳县农科所滨田村11150上饶7 BF5FFF001A-F362522洪门水电站南城县洪门镇121400抚州8 BF1FFF001B-A362201飞剑潭一坝水库袁州区飞剑潭乡上石村10060宜春9 BF1FFF002B-A362202紫云山水库丰城市铁路镇新楼村14010宜春10 BF1FFF001B-A362202潘桥水库丰城市秀市镇红洲村15130 宜春11BF1FFF001B-A362204上游水库高安村前镇峡岗村18300宜春12BF2FFF026B-A362233大段水库铜鼓县大段镇太平村11460宜春13 BF1FFF001B-A362403白云山水库青原区富田镇文山社区12号11400吉安14 BF1FFF001B-A362429社上水库安福县泰山乡清江村17070吉安15BF1FFF001B-A362426南车水库泰和县桥头镇大垄坑村15318 吉安16 BF1FFF002B-A362426老营盘水库泰和县上圯乡上圯村10160吉安17 BF1FFF001A-F362428万安水电站万安县城221400吉安18 BF1FFF001B-A360732长冈水库兴国县长冈乡石燕村37000赣州19 BF1FFF001B-A360730团结水库宁都县洛口镇上员布村14570赣州20 BF1FFF002B-Q360724龙潭水电站上犹县五指峰乡猴岩村11560 赣州21BF1FFF001B-A360723油罗口水库大余县浮江乡浮江村11000赣州22BF1FFF001B-F360724上犹江水电站上犹县陡水镇82200赣州23 BF4FFF001B-A360281共产主义水库乐平市涌山镇坝首村14370景德镇24 BF3FFF001B-Q360622信江航运工程界牌枢 纽余江县中 童 镇徐 杨 村18600鹰 潭25BF1FFF001B-F360503江口水库新余市仙 女 湖 区河 下镇89000新余附 表 1 符 合 注册登记条 件 的 大中 型水库1-6中 型 ( 224座 )序 号注 册 登 记 号水 库 名 称所 在 地 点总 库 容( 万 m3)所 在 地 市1BF5FFF001C-A360124钟 陵 水 库进 贤 县 钟 陵 乡 茶 园 村1268南 昌2BF5FFF002C-A360124秧 塘 水 库进 贤 县 衙 前 乡 秧 塘 村1934南 昌3BF1FFF001C-A360122溪 霞 水 库新 建 县 溪 霞 镇 溪 霞 村4710南 昌4BF1FFF002C-A360122幸 福 水 库新 建 县 望 城 镇 幸 福 村1630南 昌5BF...

1、当您付费下载文档后,您只拥有了使用权限,并不意味着购买了版权,文档只能用于自身使用,不得用于其他商业用途(如 [转卖]进行直接盈利或[编辑后售卖]进行间接盈利)。
2、本站所有内容均由合作方或网友上传,本站不对文档的完整性、权威性及其观点立场正确性做任何保证或承诺!文档内容仅供研究参考,付费前请自行鉴别。
3、如文档内容存在违规,或者侵犯商业秘密、侵犯著作权等,请点击“违规举报”。

碎片内容

江西省大中型水库

小辰4+ 关注
实名认证
内容提供者

出售各种资料和文档

确认删除?
VIP
微信客服
  • 扫码咨询
会员Q群
  • 会员专属群点击这里加入QQ群
客服邮箱
回到顶部