电脑桌面
添加小米粒文库到电脑桌面
安装后可以在桌面快捷访问

电磁场与电磁波_章六习题答案

电磁场与电磁波_章六习题答案_第1页
1/9
电磁场与电磁波_章六习题答案_第2页
2/9
电磁场与电磁波_章六习题答案_第3页
3/9
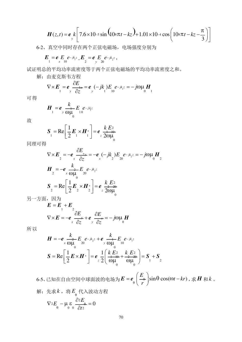
69 第6 章 平面电磁波 点评: 1、6-8 题坡印廷矢量单位, 2W m ,这里原答案有误! 2、6-13 题第四问应为右旋圆极化波。 3、6-19 题第三问和第四问,原答案错误。这里在介质一中,z<0。 4、矢量书写一定引起重视,和标量书写要分清,结果若是确切的数值则单位一定要标清楚。 5、马上期末考试,那些对参考答案借鉴过多的同学务必抓紧时间把每道题目弄懂!本章是考试重点,大家务必弄懂每道题。 6-1、已知正弦电磁场的电场瞬时值为 88,0.03sin 100.04cos 10 3xxz ttkztkzV mEee 试求:⑴ 电场的复矢量;⑵ 磁场的复矢量和瞬时值。 解:(1) 8,0.03cos 102xz ttkzEe+80.04cos 103xtkze 所以电场的复矢量为 32( )0.030.04 jjjkzxzeeeV mEe (2) 由复数形式的麦克斯韦方程,得到磁场的复矢量 3200054321( )0.030.04 7.6 101.01 10jjjkzxyyjjjkzyEjkzeeejzkeeeA m HEeee 磁场的瞬时值则为 70 5848( , )7.6 10sin 101.01 10cos 103yz tktkztkzHe 6-2、真空中同时存在两个正弦电磁场,电场强度分别为 1110jk zxE eEe,2220jk zyE eEe, 试证明总的平均功率流密度等于两个正弦电磁场的平均功率流密度之和。 解:由麦克斯韦方程 11111001()jk zxyyEjk E ejz EeeH 可得 1111 00j k zykE eHe 故 2*11011101Re 22zk ESEHe 同理可得 22222002()yjk zxxEjkE ejz   EeeH 222200jk zxkE e He 2*22022201Re 22zk ESEHe 另一方面,因为 12EEE 0yxxyEEjzz  EeeH 所以 2121201000jk zjk zxykkE eE e Hee 22*110220120011Re 22zk Ek ESEHeSS 6-5、已知在自由空间中球面波的电场为0 sincos()EtkrrEe,求 H 和k 。 解:先求k ,将 E 代入波动方程 220020EEt   71 其中 22020220021sincos1sinsinc...

1、当您付费下载文档后,您只拥有了使用权限,并不意味着购买了版权,文档只能用于自身使用,不得用于其他商业用途(如 [转卖]进行直接盈利或[编辑后售卖]进行间接盈利)。
2、本站所有内容均由合作方或网友上传,本站不对文档的完整性、权威性及其观点立场正确性做任何保证或承诺!文档内容仅供研究参考,付费前请自行鉴别。
3、如文档内容存在违规,或者侵犯商业秘密、侵犯著作权等,请点击“违规举报”。

碎片内容

电磁场与电磁波_章六习题答案

确认删除?
VIP
微信客服
  • 扫码咨询
会员Q群
  • 会员专属群点击这里加入QQ群
客服邮箱
回到顶部