电脑桌面
添加小米粒文库到电脑桌面
安装后可以在桌面快捷访问

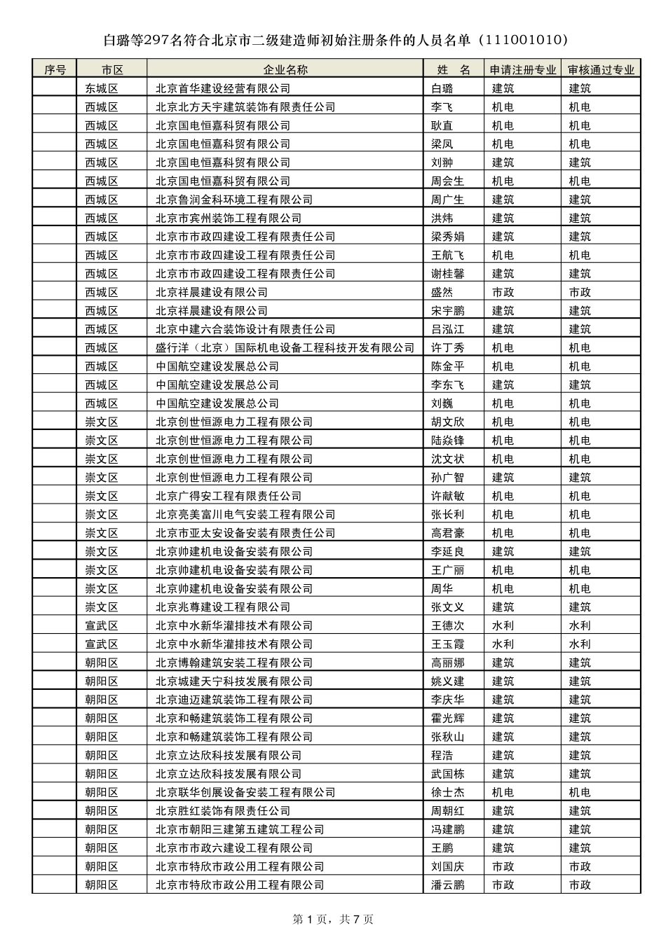
白璐等297名符合北京市二级建造师初始注册条件的人员名

白璐等297名符合北京市二级建造师初始注册条件的人员名_第1页
1/7
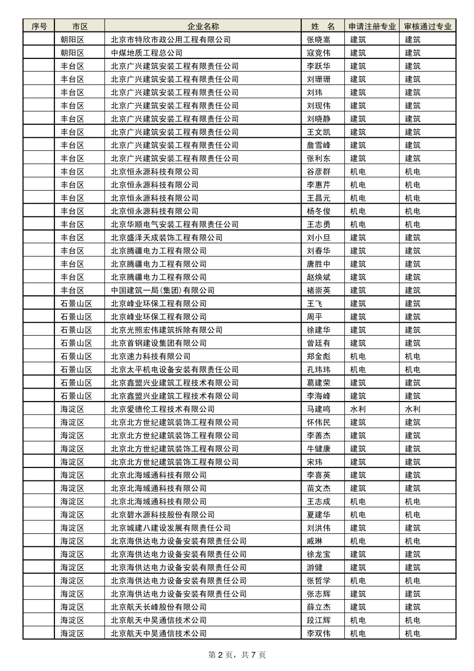
白璐等297名符合北京市二级建造师初始注册条件的人员名_第2页
2/7
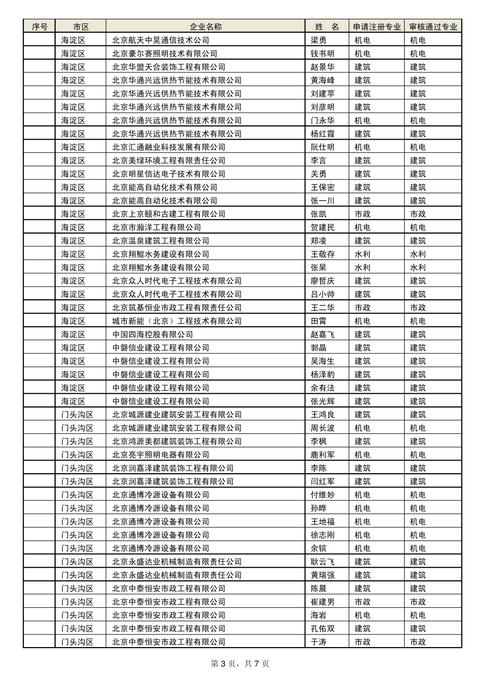
白璐等297名符合北京市二级建造师初始注册条件的人员名_第3页
3/7
序号 市区企业名称姓 名申请注册专业审核通过专业 1 东城区 北京首华建设经营有限公司 白璐 建筑 建筑 2 西城区 北京北方天宇建筑装饰有限责任公司 李飞 机电 机电 3 西城区 北京国电恒嘉科贸有限公司 耿直 机电 机电 4 西城区 北京国电恒嘉科贸有限公司 梁凤 机电 机电 5 西城区 北京国电恒嘉科贸有限公司 刘翀 建筑 建筑 6 西城区 北京国电恒嘉科贸有限公司 周会生 机电 机电 7 西城区 北京鲁润金科环境工程有限公司 周广生 建筑 建筑 8 西城区 北京市宾州装饰工程有限公司 洪炜 建筑 建筑 9 西城区 北京市市政四建设工程有限责任公司 梁秀娟 建筑 建筑 10 西城区 北京市市政四建设工程有限责任公司 王航飞 机电 机电 11 西城区 北京市市政四建设工程有限责任公司 谢桂馨 建筑 建筑 12 西城区 北京祥晨建设有限公司 盛然 市政 市政 13 西城区 北京祥晨建设有限公司 宋宇鹏 建筑 建筑 14 西城区 北京中建六合装饰设计有限责任公司 吕泓江 建筑 建筑 15 西城区 盛行洋(北京)国际机电设备工程科技开发有限公司 许丁秀 机电 机电 16 西城区 中国航空建设发展总公司 陈金平 机电 机电 17 西城区 中国航空建设发展总公司 李东飞 建筑 建筑 18 西城区 中国航空建设发展总公司 刘巍 机电 机电 19 崇文区 北京创世恒源电力工程有限公司 胡文欣 机电 机电 20 崇文区 北京创世恒源电力工程有限公司 陆焱锋 机电 机电 21 崇文区 北京创世恒源电力工程有限公司 沈文状 机电 机电 22 崇文区 北京创世恒源电力工程有限公司 孙广智 建筑 建筑 23 崇文区 北京广得安工程有限责任公司 许献敏 机电 机电 24 崇文区 北京亮美富川电气安装工程有限公司 张长利 机电 机电 25 崇文区 北京市亚太安设备安装有限责任公司 高君豪 机电 机电 26 崇文区 北京帅建机电设备安装有限公司 李延良 建筑 建筑 27 崇文区 北京帅建机电设备安装有限公司 王广丽 机电 机电 28 崇文区 北京帅建机电设备安装有限公司 周华 机电 机电 29 崇文区 北京兆尊建设工程有限公司 张文义 建筑 建筑 30 宣武区 北京中水新华灌排技术有限公司 王德次 水利 水利 31 宣武区 北京中水新华灌排技术有限公司 王玉 霞 水利 水利 32 朝 阳 区 北京博 翰 建筑安装工程有限公司 高丽娜 建筑 建...

1、当您付费下载文档后,您只拥有了使用权限,并不意味着购买了版权,文档只能用于自身使用,不得用于其他商业用途(如 [转卖]进行直接盈利或[编辑后售卖]进行间接盈利)。
2、本站所有内容均由合作方或网友上传,本站不对文档的完整性、权威性及其观点立场正确性做任何保证或承诺!文档内容仅供研究参考,付费前请自行鉴别。
3、如文档内容存在违规,或者侵犯商业秘密、侵犯著作权等,请点击“违规举报”。

碎片内容

白璐等297名符合北京市二级建造师初始注册条件的人员名

确认删除?
VIP
微信客服
  • 扫码咨询
会员Q群
  • 会员专属群点击这里加入QQ群
客服邮箱
回到顶部