电脑桌面
添加小米粒文库到电脑桌面
安装后可以在桌面快捷访问

直流电源控制器操作手册——DC5501

直流电源控制器操作手册——DC5501_第1页
1/34
直流电源控制器操作手册——DC5501_第2页
2/34
直流电源控制器操作手册——DC5501_第3页
3/34
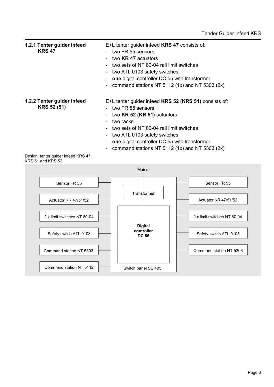
Operating ManualenANL--250362-EN-02Tenter guider infeed KRS with digital controller DC 5501/5506and actuator KR 47../51../52../56..Guiding by an edge with manual sensor positioningComponent description:Sensor BActuator DSpreading device (optional) GCommand devices HDigital interface (optional) IElectrical components UCAN bus, serial bus and setup editor (optional) VSpare parts lists XParameter lists YDiagrams Z1. Function 22. Assembly 73. Installation 84. Setup editor 104.1 Parameter list 115. Commissioning 176. Operation with command station NT 5... 247. Optimisation 258. Error messages 289. Maintenance 329.1 Conversion actuator KR 51 to actuator KR 52/56 329.2 Conversion controller DC 5500/5505 to controller DC 5501/5506 3210. Technical data 33Page 2Tender Guider Infeed KRS1. Function1.1 Purpose1.2 Design = jobs to be performed = important information and instructions = sections of the text due particular attention to assure the safe operation of the tenter guider infeed.The E+L tenter guider infeed operating manual consists of a general system description (A), the individual component descriptions (B, C, ... W), spare parts lists (X), parameter lists (Y) and diagrams (Z).Follow the instructions in the operating manual. All important operat-ing sequences are explained in it. Where necessary, reference is made to the individual component descriptions.The block diagram contains a schematic of your system. It also lists the address settings for the digital devices. See the parameter lists for explanations of the individual setup pa-rameters. Procedure for checking/changing setup parameters can be found in section 4 "Setup editor".The operating manual is applicable for tenter guider infeeds KRS 47, KRS 49, KRS 51 KRS 52, KR...

1、当您付费下载文档后,您只拥有了使用权限,并不意味着购买了版权,文档只能用于自身使用,不得用于其他商业用途(如 [转卖]进行直接盈利或[编辑后售卖]进行间接盈利)。
2、本站所有内容均由合作方或网友上传,本站不对文档的完整性、权威性及其观点立场正确性做任何保证或承诺!文档内容仅供研究参考,付费前请自行鉴别。
3、如文档内容存在违规,或者侵犯商业秘密、侵犯著作权等,请点击“违规举报”。

碎片内容

直流电源控制器操作手册——DC5501

确认删除?
VIP
微信客服
  • 扫码咨询
会员Q群
  • 会员专属群点击这里加入QQ群
客服邮箱
回到顶部