电脑桌面
添加小米粒文库到电脑桌面
安装后可以在桌面快捷访问

矩阵及其运算课后习题答案

矩阵及其运算课后习题答案_第1页
1/11
矩阵及其运算课后习题答案_第2页
2/11
矩阵及其运算课后习题答案_第3页
3/11
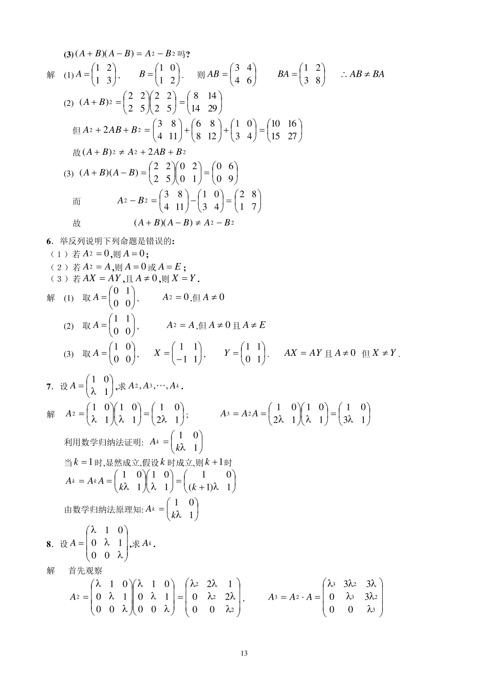
1 1 第二章 矩阵及其运算课后习题答案 1 .已知线性变换: ,323,53,22321332123211yyyxyyyxyyyx 求从变量321,,xxx到变量321,,yyy的线性变换. 解 由已知:221321323513122yyyxxx 故 3211221323513122xxxyyy321423736947yyy 321332123211423736947xxxyxxxyxxxy 2 .已知两个线性变换 ,54,232,232133212311yyyxyyyxyyx ,3,2,3323312211zzyzzyzzy 求从321,,zzz到321,,xxx的线性变换. 解 由已知 221321514232102yyyxxx321310102013514232102zzz3211 611 0941 2316zzz 所以有 3213321232111 61 0941 236zzzxzzzxzzzx 3 .设111111111A, ,150421321B 求.23BAAABT及 解 AAB2315042132111111111131111111112 0926508503111111111222 942 01 722 21 32 1 2 150421321111111111BAT092650850 4.计算下列乘积: (1)127075321134; (2)1233,2,1; (3)2,1312; (4)20413121013143110412; (5)3213 32 31 32 32 21 21 31 21 1321),,(xxxaaaaaaaaaxxx; (6)30003200121013013000120010100121. 解 (1 )127075321134...

1、当您付费下载文档后,您只拥有了使用权限,并不意味着购买了版权,文档只能用于自身使用,不得用于其他商业用途(如 [转卖]进行直接盈利或[编辑后售卖]进行间接盈利)。
2、本站所有内容均由合作方或网友上传,本站不对文档的完整性、权威性及其观点立场正确性做任何保证或承诺!文档内容仅供研究参考,付费前请自行鉴别。
3、如文档内容存在违规,或者侵犯商业秘密、侵犯著作权等,请点击“违规举报”。

碎片内容

矩阵及其运算课后习题答案

确认删除?
VIP
微信客服
  • 扫码咨询
会员Q群
  • 会员专属群点击这里加入QQ群
客服邮箱
回到顶部