电脑桌面
添加小米粒文库到电脑桌面
安装后可以在桌面快捷访问

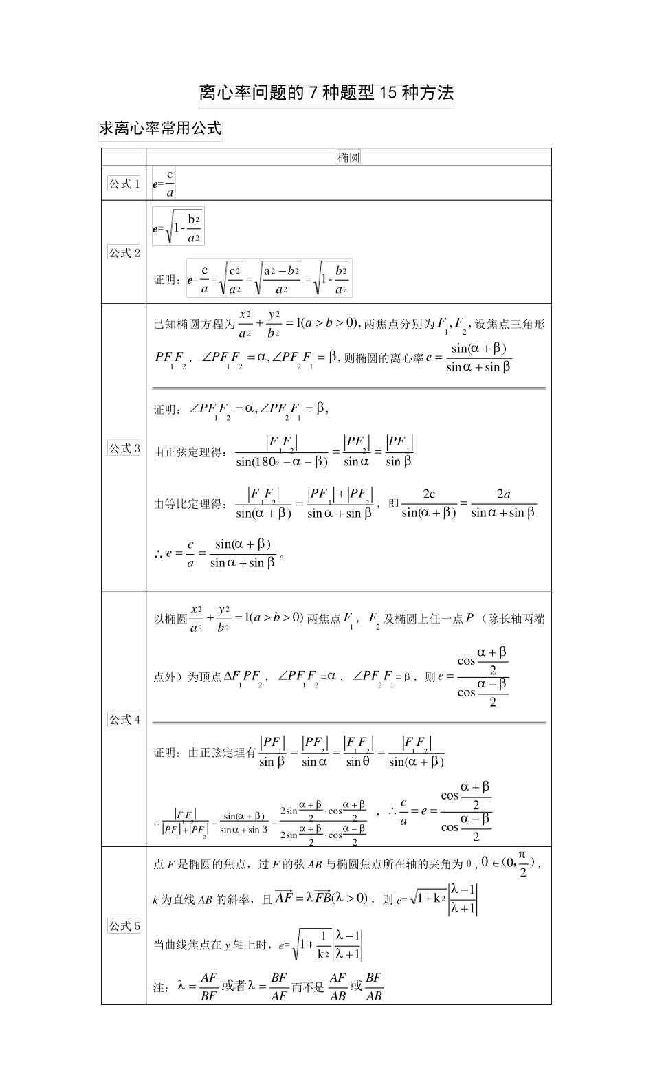
离心率问题的7种题型15种方法

离心率问题的7种题型15种方法_第1页
1/30
离心率问题的7种题型15种方法_第2页
2/30
离心率问题的7种题型15种方法_第3页
3/30
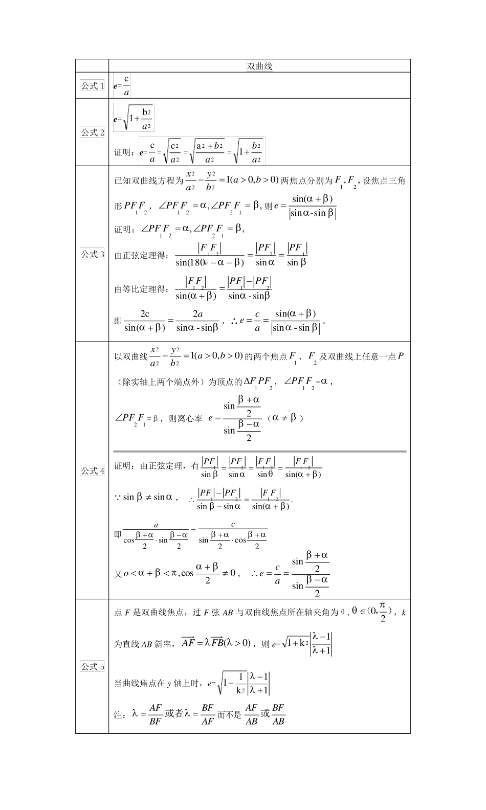
离心率问题的7 种题型15 种方法 求离心率常用公式 椭圆 公式1 e= ac 公式2 e=22b-1 a 证明:e= ac=22ca=222aab=22-1 ab 公式3 已知椭圆方程为),0(12222babyax两焦点分别为,,21 FF设焦点三角形21FPF,,,1221FPFFPF则椭圆的离心率sinsin)sin(e 证明:,,1221FPFFPF 由正弦定理得:sinsin)180sin(1221PFPFFFo 由等比定理得:sinsin)sin(2121PFPFFF,即sinsin2)sin(c2a ∴sinsin)sin( ace。 公式4 以椭圆)0(12222babyax两焦点1F ,2F 及椭圆上任一点P (除长轴两端点外)为顶点21PFF,21FPF= ,12FPF=β,则cos2cos2e 证明:由正弦定理有)sin(sinsinsin212121FFFFPFPF 2cos2sin22cos2sin2sinsin)sin(2121PFPFFF ,cos2cos2cea 公式5 点F 是椭圆的焦点,过 F 的弦AB 与椭圆焦点所在轴的夹角为θ,),(20  ,k 为直线 AB 的斜率,且)0(FBAF,则e=11k12 当曲线焦点在 y 轴上时,e=11k112 注:AFBFBFAF或者而不是ABBFABAF 或 双曲线 公式1 e= ac 公式2 e=22b1a 证明:e= ac=22ca=222aab=221ab 公式3 已知双曲线方程为)0,0(12222babyax两焦点分别为,,21 FF设焦点三角形21FPF,,,1221FPFFPF则sin()sin-sine 证明:,,1221FPFFPF 由正弦定理得:sinsin)180sin(1221PFPFFFo 由等比定理得:sin-sin)(sin2121PFPFFF 即sin-sin2)(sinc2a,∴sin-sin)sin( ace。 公式4 以双曲线)0,0(12222babyax的两个焦点1F 、2F 及双曲线上任意一点P(除实轴上两个端点外)为顶点的21PFF,21FPF= , 12FPF=β,则离心率 2sin2sine( ) 证明:由正弦定理,有)sin(sinsinsin212121FFFFPFPF sinsin, .)sin(sinsin2121FFPFPF 即2sin2cosa2cos2sinc 又02cos,o, 2sin2sinace 公式5 点F 是双曲线焦点,过 F 弦AB 与双曲线焦点所在轴夹角为...

1、当您付费下载文档后,您只拥有了使用权限,并不意味着购买了版权,文档只能用于自身使用,不得用于其他商业用途(如 [转卖]进行直接盈利或[编辑后售卖]进行间接盈利)。
2、本站所有内容均由合作方或网友上传,本站不对文档的完整性、权威性及其观点立场正确性做任何保证或承诺!文档内容仅供研究参考,付费前请自行鉴别。
3、如文档内容存在违规,或者侵犯商业秘密、侵犯著作权等,请点击“违规举报”。

碎片内容

离心率问题的7种题型15种方法

您可能关注的文档

小辰2+ 关注
实名认证
内容提供者

出售各种资料和文档

相关文档

确认删除?
VIP
微信客服
  • 扫码咨询
会员Q群
  • 会员专属群点击这里加入QQ群
客服邮箱
回到顶部