电脑桌面
添加小米粒文库到电脑桌面
安装后可以在桌面快捷访问

医用数学定积分试题及答案VIP免费

医用数学定积分试题及答案_第1页
1/24
医用数学定积分试题及答案_第2页
2/24
医用数学定积分试题及答案_第3页
3/24
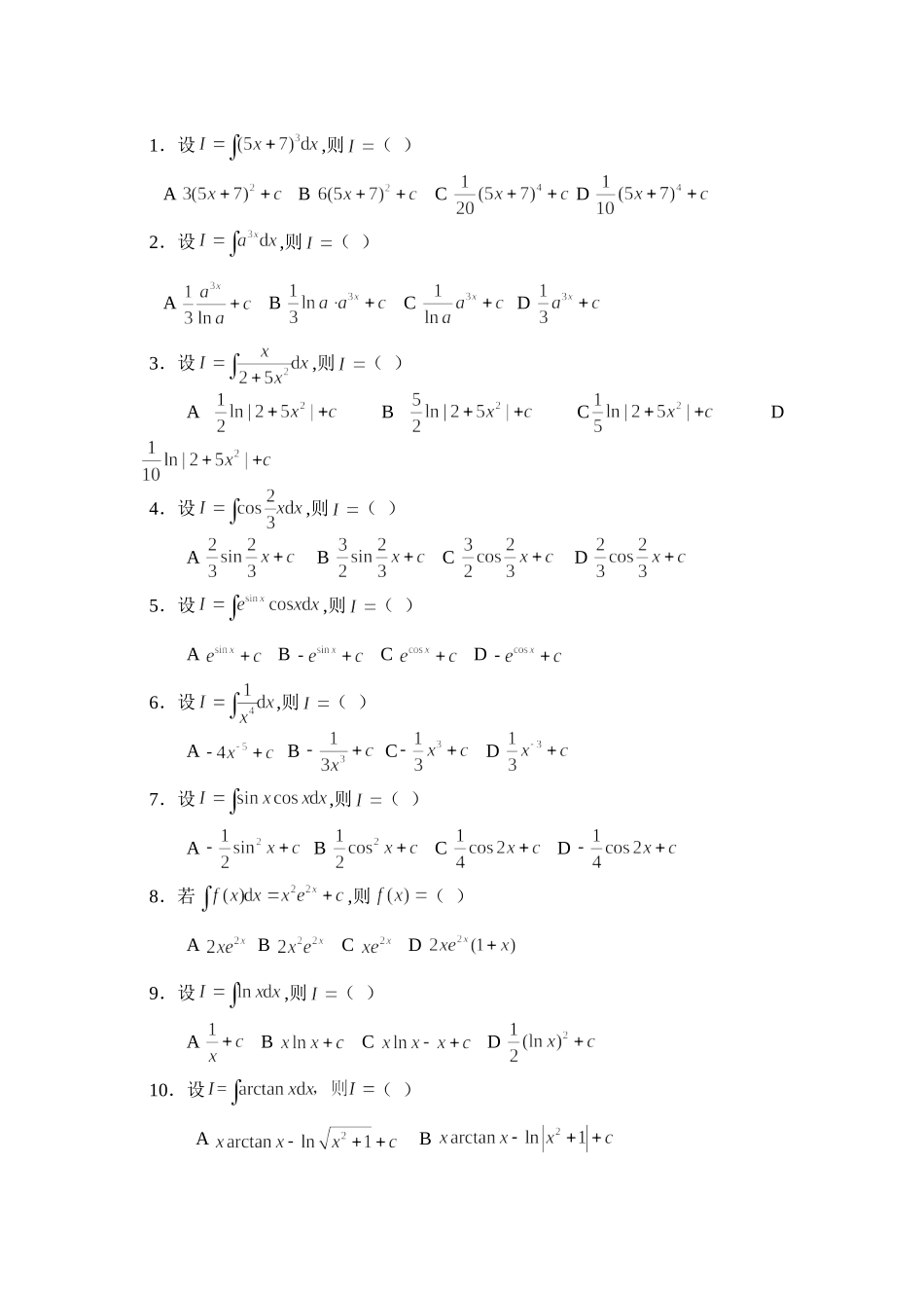
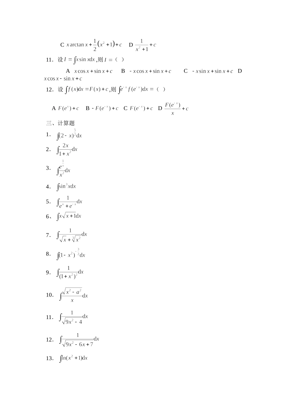
不定积分一、填空题1.若是的原函数,则=2.若是的原函数,则=3.=4.=5.=6.=7.=8.=9.=10.=11.=12、=13.=14.=15.=16.=17.设是的一个原函数,则=18.设=,则=二、单项选择题1.设,则()ABCD2.设,则()ABCD3.设,则()ABCD4.设,则()ABCD5.设,则()ABCD6.设,则()ABCD7.设,则()ABCD8.若,则()ABCD9.设,则()ABCD10.设()ABCD11.设,则()ABCD12.设,则()ABCD三、计算题1.2.3.4.5.6、7.8.9.10.11.12.13.14.15.16.17.18.19.20.21.22.23.24.第五章定积分及其应用一、填空题1.由上连续曲线,直线和轴围成的图形的面积为2.3.设,则4.利用定积分的几何意义求5.积分值的符号是6.定积分值的符号是7.积分与的大小关系为8.积分与的大小关系为9.区间,且,则与的大小关系为10.在上连续,则11.若在区间上,,则012.定积分中值定理中设在上连续,则至少存在一点,使得13.设,则14.15.设可导,则16.17.18.设,则的单调减少的区间是19.函数在区间上的最大值是,最小值是20.设,则21.设是连续函数在区间上的任意一个原函数,则22.23.24.设在上连续,则25.26.27.28.29.30.31.设在上连续,则32.设,则33.设,计算34.若广义积分发散,则必有35.若广义积分收敛,则必有36.反常积分37.38.曲线所围成的图形的面积为39.曲线所围成的图形的面积为二、单项选择题1.函数且连续,则,轴,与围成图形的面积()A.B.C.D.2.,,则与大小关系为()A.B.C.D.3.连续,,则下列结论正确的是()A.是和的函数B.是的函数C.是的函数D.是常数4.连续且满足,为任意正数,则()A.B.C.D.05.连续,,则()A.B.C.D.6.设,则()A.B.C.D.7.当时,与比较是()A.高阶无穷小B.低阶无穷小C.同阶但非等价无穷小D.等价无穷小8.在点的某邻域内连续,且当时,是的高阶无穷小,则时,是()A.低阶无穷小B.高阶无穷小C.同阶但不等价无穷小D.等价无穷小9.为连续的奇函数,又,则()A.B.C.0D.非零常数10.设,连续,则()A.0B.2C.D.11.设连续,,且,则()A.4B.C.D.12.设在上连续,且,则()A.B.C.D.13.若,且已知在点连续,则必有()A.B.C.D.14.设,则()A.B.C.D.15.在给定区间连续,则()A.B.C.D.16.积分的值是()A.B.C.D.17.若,则()A.16B.8C.4D.218.积分的值是()A.0B.1C.D.219.曲线所围平面图形的面积为()A.B.C.D.20.曲线与其过原点的切线及轴所围平面图形的面积为()A.B.C.D.21.在区间上,令,则有()A.B.C.D.22.曲线与轴围成的平面图形绕轴旋转一周而成的旋转体体积等于()A.B.C.D.23.曲边梯形,绕轴旋转而成的旋转体体积为()A.B.C.D.24.曲线上满足的一段弧的弧长为()A.B.C.D.25.一无限长直线放在正实轴上,其线密度,则其质量()A.B.C.1D.226.一变力把一物体从推到,它所做的功()A.B.C.D.三、证明题1.设是连续函数,证明:.2.设是连续函数,证明:.3.设是连续函数,证明:.4.证明不等式.四、计算题1.2.3.4.求的导数.5.,为连续函数,求.6.求函数的极值点.7.计算8.计算9.计算10.计算11.计算12.计算13.计算14.计算15.计算16.计算17.计算18.计算19.计算20.计算21.计算22.计算23.计算24.计算25.计算26.计算27.计算28.求曲线围成的平面图形的面积.29.求曲线围成的平面图形的面积.30.求曲线围成的平面图形的面积.31.求曲线围成的平面图形的面积.32.求曲线围成的平面图形的面积.33.求曲线围成的平面图形的面积.34.求曲线围成的平面图形绕轴旋转而形成的旋转体的体积.35.求曲线,,,围成的平面图形绕轴旋转而形成的旋转体的体积.36.求曲线,围成的平面图形绕轴旋转而形成的旋转体的体积.37.分别求曲线,,围成的平面图形绕轴,轴旋转而成的旋转体的体积.38.求曲线上相应于从到的一段弧的长度.39.求的一拱的长度.40.求阿基米德螺线相应于从到的一段弧的弧长.41.圆柱形的水桶高为,底圆半径为,桶内盛满了水,试问要把桶内的水全部吸出需做多少功?第四章不定积分答案一、填空题1.2.3.4.5.6.7.8.9.10.11.12.13.14.15.16.17.18.二、单项选择题1.C2.A3.D4.B5.A6.B7...

1、当您付费下载文档后,您只拥有了使用权限,并不意味着购买了版权,文档只能用于自身使用,不得用于其他商业用途(如 [转卖]进行直接盈利或[编辑后售卖]进行间接盈利)。
2、本站所有内容均由合作方或网友上传,本站不对文档的完整性、权威性及其观点立场正确性做任何保证或承诺!文档内容仅供研究参考,付费前请自行鉴别。
3、如文档内容存在违规,或者侵犯商业秘密、侵犯著作权等,请点击“违规举报”。

碎片内容

医用数学定积分试题及答案

您可能关注的文档

文章天下+ 关注
实名认证
内容提供者

各种文档应有尽有

确认删除?
VIP
微信客服
  • 扫码咨询
会员Q群
  • 会员专属群点击这里加入QQ群
客服邮箱
回到顶部