电脑桌面
添加小米粒文库到电脑桌面
安装后可以在桌面快捷访问

有机化学《醇和酚》习题和答案

有机化学《醇和酚》习题和答案_第1页
1/11
有机化学《醇和酚》习题和答案_第2页
2/11
有机化学《醇和酚》习题和答案_第3页
3/11
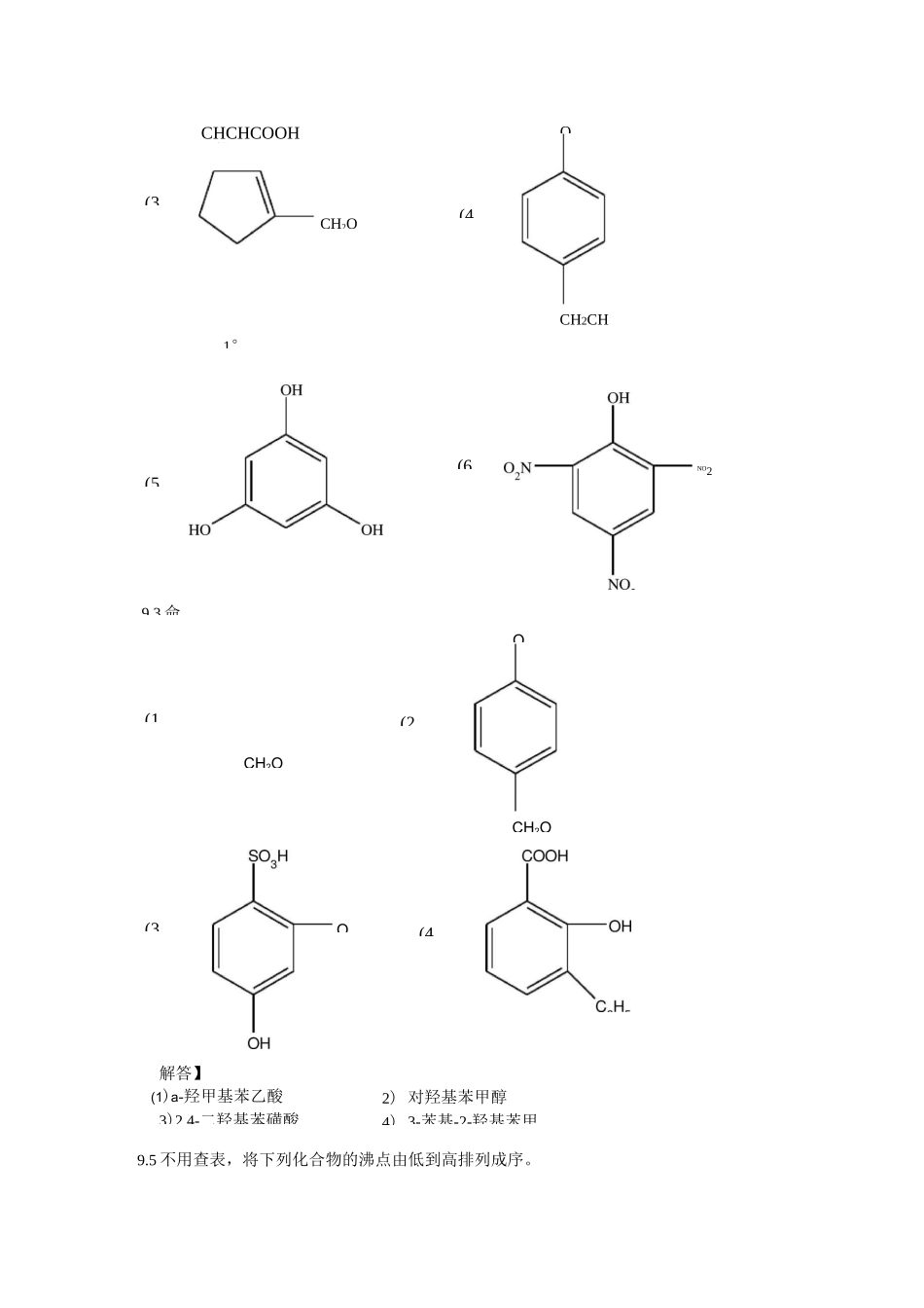
1)3)5⑴CH3CHCH2CH2OH(2有机化学《醇和酚》习题和答案解答】2,2-二甲基-1-丙醇1-甲基环己醇间烯丙基苯酚 4-己基-1,2-苯二酚2)2-苯基-2-丙醇4)1,3-丁二醇(6)4-甲基-2-氯苯酚(8)9-蒽酚习题 9.2 写出下列化合物的构造式,并指出其中的醇是 1°、2°还是 3°醇。(1)异戊醇(2)2-环己烯-1-醇(3)1-环戊烯基甲醇(4)对乙基苯酚(5)均苯三酚(根皮酚)(6)2,4,6-三硝基苯酚(苦味酸)【解答】CH31°醇2°醇习题 9.1 用系统命名法命名下列化合物(1)(CH3)3CCH2OH2)(CH3)2C——OHPh3)34)CH2CH2CHCH3OHOH5)OHCH2CH=CH2Cl7)OHOHCH2(CH2)4CH3(3(4(5(69.3 命(1CHCHCOOH65(2(3CH2O(42)4)对羟基苯甲醇3-苯基-2-羟基苯甲9.5 不用查表,将下列化合物的沸点由低到高排列成序。CH2OOCH2CH1°NO2OO解答】(1)a-羟甲基苯乙酸3)2,4-二羟基苯磺酸CH2OOH(CH2)10OH+2HBrCH3CH2CH2OH+I2+PCH3(CH2)3CHCH2OH+SOC12吡啶飞()OH(CH2)10OH+2HBrBr(CH2)10BrCH3CH2CH2OH+I2+P—CH3CH2CH2ICH3(CH2)3CHCH2OH+SOCl2吡^CH3(CH2)3CHCH2C1323C2H5(3CH3CHCH=CH2CH3CHCH=CH2+CH3CH 二 CHCH2OBrB1)正己醇(2)3-己醇(3)正己烷(4)正辛醇(5)2-甲基-2-戊醇解答】3)<(5)<(2)<(1)<(4)9.19 完成下列反应式:9.20 写出下列反应的机理:(1)(R)-2-己醇与氢溴酸反应(SN2 条件)。用立体表达式表示。浓 HBr(2)(CH3)3CCH2OH(CH3)2CBrCH2CH3解答】+PBr3+PBr3—B浓(3)(1)HH3C\COH」:COH2n-C4H9n-C4H9n-C4H9H36-IC—AHH36+OH2CH3n-C4H9(2)H3CCH3H2CC2——OHH+H3C—C—HH3+CH2CH3CH3CH34CH3H2*■H3C——C——C2——CH33+3CH3Br-H3C—CICHBr(3)CH3CHCH=CH2H+CH3CHCH:CH2-H2OOHOH++CH3CHCH 二CH2+*■CH3CH=CHCH2Br-CH3CCH3 二 CH3HNO33・Br习题 9.24 写出下列反应的主要产物CHCl3低温OHNaNO2Br-CH3CH=CHCH2—BrH2SO4,0oC⑶CH3CHCH2CH3ONa(4 CH3CH2CCH(5)CH3CH2CCH3O一)写出 2-丁醇与下列试剂作用的产物:(1)H2SO4,加热(2)HBr(3)Na(4)Cu,加热(5)K2Cr2O7+H2SO4解答】⑴CH3CH=CHCH3⑵CH3CHCH2CH3Br二)完成下列反应式(1)OH(4)CO2,KHCO32鼻NH 加压,加热解答】OH(1)CH3+HNO3OHCHCl3低温NO2CH3H 2 SO 4. (过量)HNO33・OHClO2NNO2OH(3)NaNO2OHNOAH2SO4,0oCC02,KHCO 3 HOOC加压,加热2OH2OClK2Cr2O7H2SO4吡-AlCl^CS2乙(1OHOCH2CHCH2OH(2⑶OCOCH2CI^yOH(4COCH2C解答】三)区别下列各组化合物:(1)乙醇和正丁醇(2)仲丁醇和异丁醇(3)1,4-...

1、当您付费下载文档后,您只拥有了使用权限,并不意味着购买了版权,文档只能用于自身使用,不得用于其他商业用途(如 [转卖]进行直接盈利或[编辑后售卖]进行间接盈利)。
2、本站所有内容均由合作方或网友上传,本站不对文档的完整性、权威性及其观点立场正确性做任何保证或承诺!文档内容仅供研究参考,付费前请自行鉴别。
3、如文档内容存在违规,或者侵犯商业秘密、侵犯著作权等,请点击“违规举报”。

碎片内容

有机化学《醇和酚》习题和答案

您可能关注的文档

确认删除?
VIP
微信客服
  • 扫码咨询
会员Q群
  • 会员专属群点击这里加入QQ群
客服邮箱
回到顶部