电脑桌面
添加小米粒文库到电脑桌面
安装后可以在桌面快捷访问

沉淀的溶解平衡

沉淀的溶解平衡_第1页
1/2
沉淀的溶解平衡_第2页
2/2
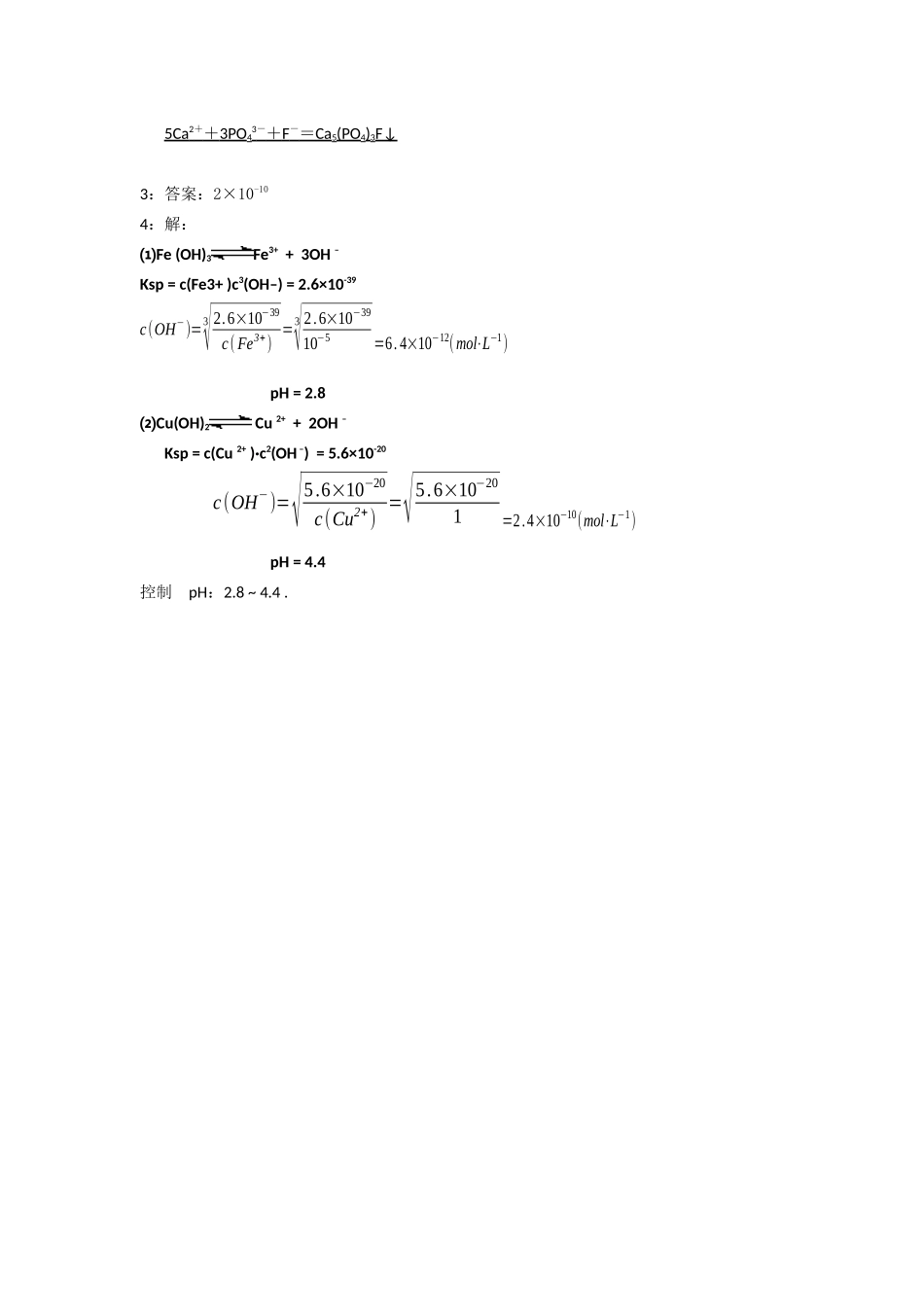
化学《沉淀的溶解平衡》【知识梳理】对于平衡 AgCl(S) Ag+(aq) + Cl-(aq)Ksp=c(Ag + ) C ( Cl - ) 若改变条件,对其有何影响改变条件平衡移动方向C(Ag+)C(Cl-)升温→↑↑加水←不变不变加 AgCl(s)不移动不变不变加 NaCl(s)←↓↑加 NaI(s)→↓↑加 AgNO3(s)←↑↓加 NH3·H2O→↓↑【小结】:沉淀的生成、溶解、转化本质上都是沉淀溶解平衡的移动问题,其基本依据主要有① 浓度:加水,平衡向溶解方向移动。② 温度:升温,多数平衡向溶解方向移动。③ 加入相同离子,平衡向沉淀方向移动。④ 加入可与体系中某些离子反应生成更难溶或更难电离或气体的离子。使平衡向溶解的方向移动。【沟通讨论】【题 1】7、在溶液中,加入 3溶液,下列说法正确的是(AgCl 的 Ksp=1.8×10-10):( )A.有 AgCl 沉淀析出 B.无 AgCl 沉淀 C.无法确定 D.有沉淀,但不是 AgCl【题 2】牙齿表面由一层硬的、组成为 Ca5(PO4)3OH 的物质保护着,它在唾液中存在下列平衡: Ca5(PO4)3OH(s) 5Ca2++3PO43-+OH-进食后,细菌和酶作用于食物,产生有机酸,这时牙齿就会受到腐蚀,其原因是 ?已知 Ca5(PO4)3F(s)的溶解度比上面的矿化产物更小、质地更坚固。用离子方程表示当牙膏中配有氟化物添加剂后能防止龋齿的原因 。【题 3】已知在时 Fe(OH)3的 KSP=2.6×10-39求该温度下 Fe(OH)3饱和溶液中 OH-的浓度。【题 4】在 1mol·L-1CuSO4溶液中含有少量的 Fe3+杂质,pH 值控制在什么范围才能除去 Fe3+ ? [使 c(Fe3+) ≤ 10-5mol·L-1 已知 Fe(OH)3的 Ksp = 2.6×10-39, Cu(OH)2的 Ksp= 5.6×10-20)1:A2:生成的有机酸能中和 OH- ,使平衡向脱矿方向移动,加速腐蚀牙齿 5Ca 2 + + 3PO 43 - + F - = Ca 5(PO4)3F↓3:答案:2×10-104:解:Fe (OH)⑴3Fe3+ + 3OH –Ksp = c(Fe3+ )c3(OH–) = 2.6×10-39c(OH−)=3√2.6×10−39c(Fe3+)=3√2.6×10−3910−5=6. 4×10−12(mol⋅L−1)pH = 2.8 Cu(OH)⑵2 Cu 2+ + 2OH –Ksp = c(Cu 2+ )·c2(OH –) = 5.6×10-20c(OH−)=√5.6×10−20c(Cu2+)=√5.6×10−201=2.4×10−10(mol⋅L−1)pH = 4.4 控制 pH:2.8 ~ 4.4 .

1、当您付费下载文档后,您只拥有了使用权限,并不意味着购买了版权,文档只能用于自身使用,不得用于其他商业用途(如 [转卖]进行直接盈利或[编辑后售卖]进行间接盈利)。
2、本站所有内容均由合作方或网友上传,本站不对文档的完整性、权威性及其观点立场正确性做任何保证或承诺!文档内容仅供研究参考,付费前请自行鉴别。
3、如文档内容存在违规,或者侵犯商业秘密、侵犯著作权等,请点击“违规举报”。

碎片内容

沉淀的溶解平衡

您可能关注的文档

领读文化+ 关注
实名认证
内容提供者

传播文化,铸就未来

相关文档

确认删除?
VIP
微信客服
  • 扫码咨询
会员Q群
  • 会员专属群点击这里加入QQ群
客服邮箱
回到顶部