电脑桌面
添加小米粒文库到电脑桌面
安装后可以在桌面快捷访问

2012届高考数学复习 第66课时第八章 圆锥曲线方程-轨迹问题(1)名师精品教案 新人教A版

2012届高考数学复习 第66课时第八章 圆锥曲线方程-轨迹问题(1)名师精品教案 新人教A版_第1页
1/4
2012届高考数学复习 第66课时第八章 圆锥曲线方程-轨迹问题(1)名师精品教案 新人教A版_第2页
2/4
2012届高考数学复习 第66课时第八章 圆锥曲线方程-轨迹问题(1)名师精品教案 新人教A版_第3页
3/4
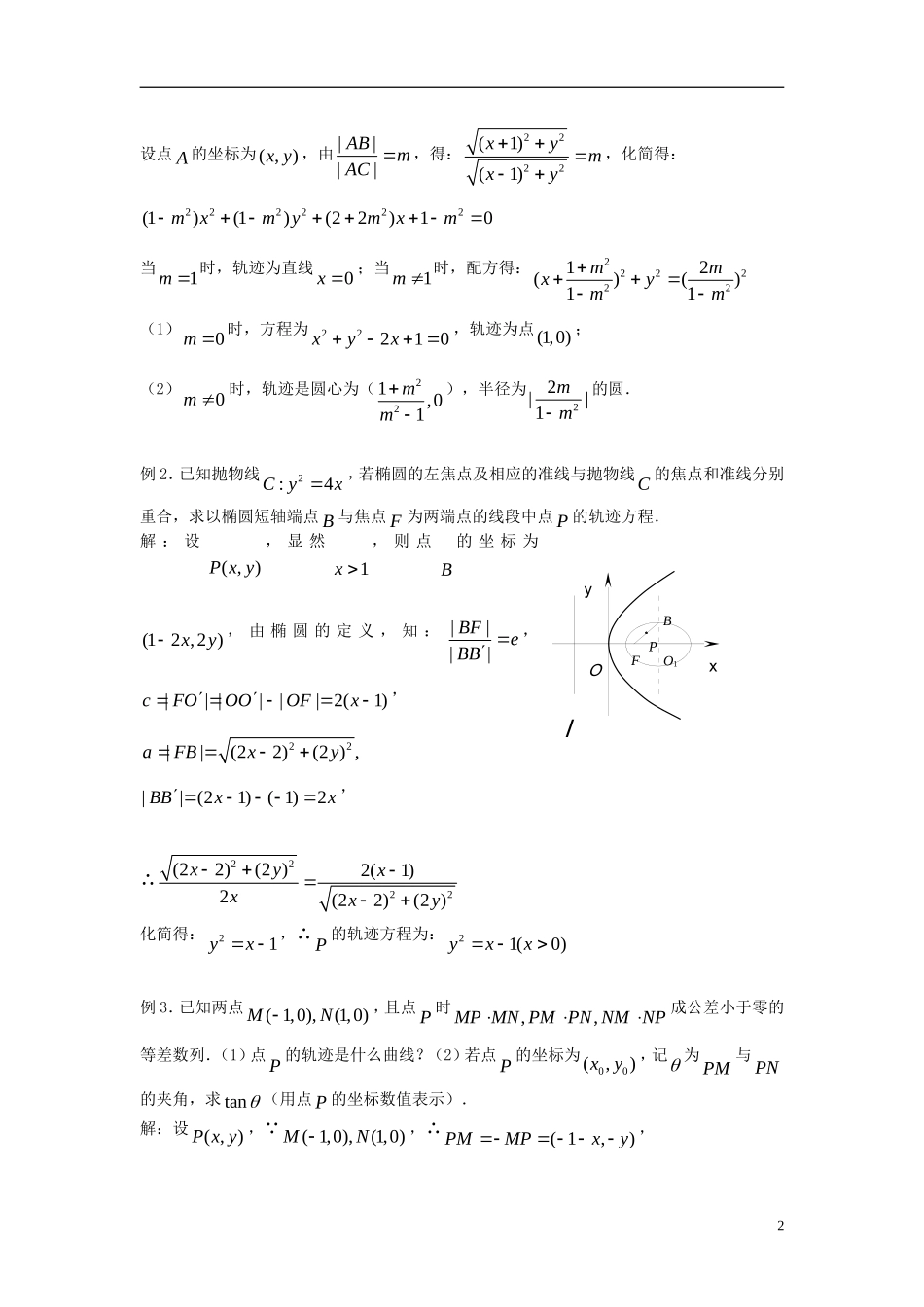
第 66 课时:第八章 圆锥曲线方程——轨迹问题(1)课题:轨迹问题(1)一.复习目标:1.掌握求轨迹方程的两种基本方法——直接法和定义法;2.掌握直接法求轨迹方程的基本步骤.二.知识要点:1.直接法求轨迹方程的一般步骤:建系—设点—列式—代换—化简—检验2.用定义法求轨迹方程的基本思路是:(1)用曲线的定义判断轨迹的形状(定型);(2)判断轨迹的位置(定位)(3)求曲线的基本量(定量);(4)写出轨迹方程.三.课前预习:1.已知点)0,2(A、)0,3(B,动点2),(xPBPAyxP满足,则点 P 的轨迹是(D)( )A 圆 ( )B 椭圆 ( )C 双曲线 ()D 抛物线2. 若0|3|)1()3(22yxyx,则点),(yxM的轨迹是 (C ) ( )A 圆 ( )B 椭圆 ( )C 双曲线 ()D 抛物线3.点 M 与点(4,0)F的距离比它到直线 :50l x  的距离小1,则点 M 的轨迹方程是 216yx 4.一动圆与圆221xy 外切,而与圆22680xyx 内切,则动圆圆心的轨迹方程是 2234()125yx  (右支) 5.已知椭圆13422 yx的两个焦点分别是 F1,F2,P 是这个椭圆上的一个动点,延长 F1P 到 Q,使得|PQ|=|F2P|,求 Q 的轨迹方程是22(1)16xy.四.例题分析:例 1.已知 ABC中,|||| 2,||ABBCmAC,求点 A 的 轨迹方程,并说明轨迹是什么图形.解:以 BC 所在直线为 x 轴, BC 中点O 为原点建立直角坐标系,则( 1,0),(1,0)BC,1设点 A 的坐标为( , )x y ,由 ||||ABmAC ,得:2222(1)(1)xymxy,化简得:222222(1)(1)(22)10mxmymxm 当1m  时,轨迹为直线0x  ;当1m  时,配方得:22222212()()11mmxymm(1)0m  时,方程为22210xyx  ,轨迹为点(1,0) ;(2)0m  时,轨迹是圆心为(221,01mm),半径为22||1mm的圆.例 2.已知抛物线2:4C yx,若椭圆的左焦点及相应的准线与抛物线C 的焦点和准线分别重合,求以椭圆短轴端点 B 与焦点 F 为两端点的线段中点 P 的轨迹方程.解 : 设( , )P x y, 显 然1x , 则 点B的 坐 标 为(12 ,2 )xy, 由 椭 圆 的 定 义 , 知 : ||||BFeBB,|| |||| 2(1)cFOOOOFx,22||(22)(2 ) ,aFBxy|| (21)( 1)2BBxx  ,∴2222(22)(2 )2(1)2(22)(2 )xyxxxy...

1、当您付费下载文档后,您只拥有了使用权限,并不意味着购买了版权,文档只能用于自身使用,不得用于其他商业用途(如 [转卖]进行直接盈利或[编辑后售卖]进行间接盈利)。
2、本站所有内容均由合作方或网友上传,本站不对文档的完整性、权威性及其观点立场正确性做任何保证或承诺!文档内容仅供研究参考,付费前请自行鉴别。
3、如文档内容存在违规,或者侵犯商业秘密、侵犯著作权等,请点击“违规举报”。

碎片内容

2012届高考数学复习 第66课时第八章 圆锥曲线方程-轨迹问题(1)名师精品教案 新人教A版

您可能关注的文档

确认删除?
VIP
微信客服
  • 扫码咨询
会员Q群
  • 会员专属群点击这里加入QQ群
客服邮箱
回到顶部