电脑桌面
添加小米粒文库到电脑桌面
安装后可以在桌面快捷访问

2012届高考数学复习 第84课时第十章 排列、组合和概率-二项式定理(1)名师精品教案 新人教A版

2012届高考数学复习 第84课时第十章 排列、组合和概率-二项式定理(1)名师精品教案 新人教A版_第1页
1/5
2012届高考数学复习 第84课时第十章 排列、组合和概率-二项式定理(1)名师精品教案 新人教A版_第2页
2/5
2012届高考数学复习 第84课时第十章 排列、组合和概率-二项式定理(1)名师精品教案 新人教A版_第3页
3/5
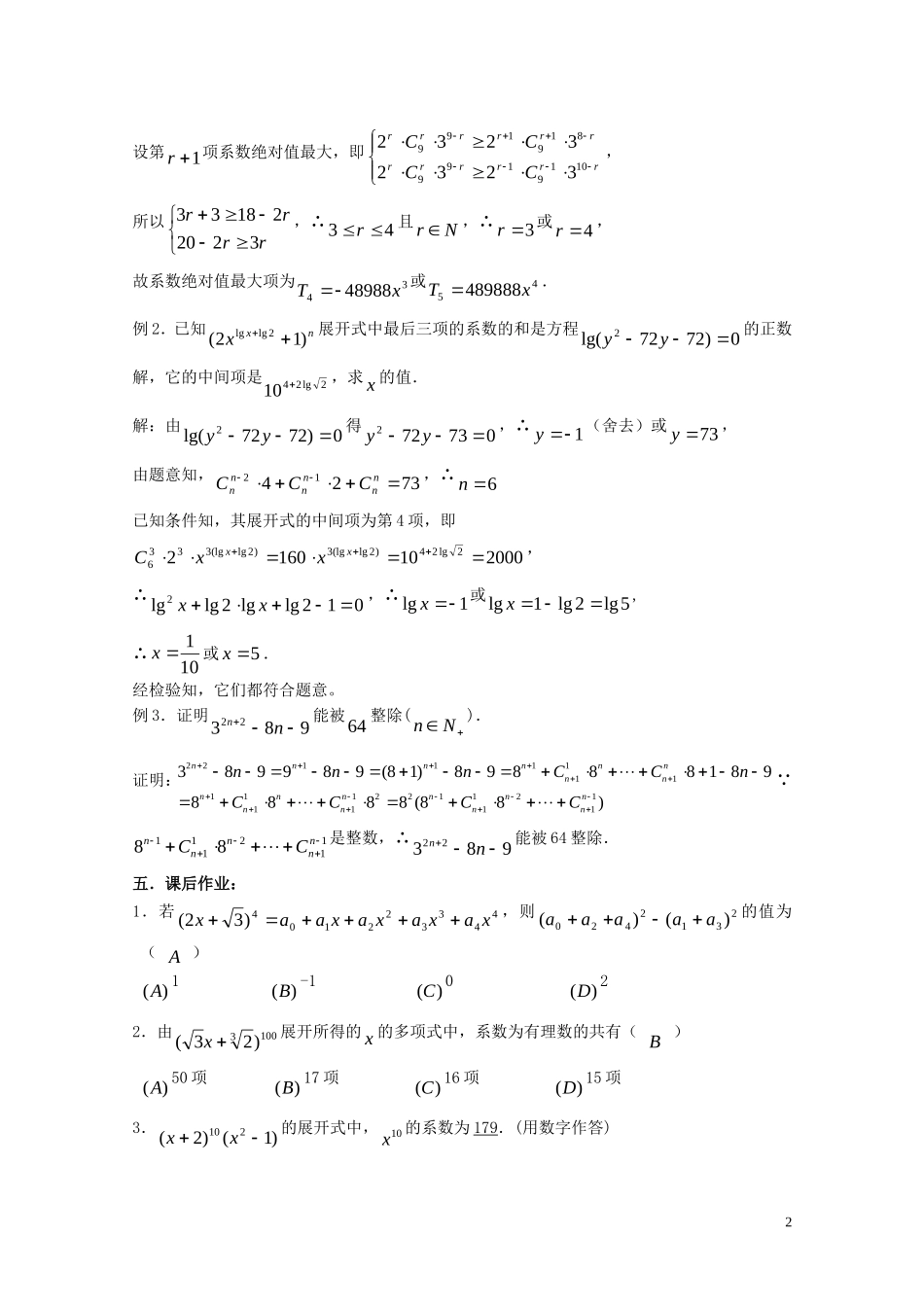
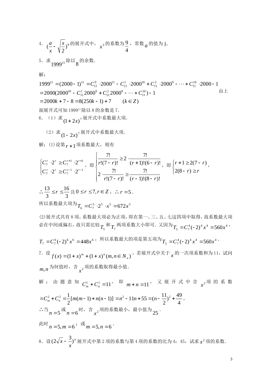
第 84 课时:第十章 排列、组合和概率——二项式定理(1)课题:二项式定理(1)一.复习目标:1.掌握二项式定理和二项展开式的性质,并能用它们讨论整除、近似计算等相关问题.2.能利用二项展开式的通项公式求二项式的指数、求满足条件的项或系数.二.知识要点:1.二项式定理: .2.二项展开式的性质:(1)在二项展开式中,与首末两端“等距离”的两项的二项式系数 .(2)若n 是偶数,则 的二项式系数最大;若n 是奇数,则 的二项式系数最大.(3)所有二项式系数的和等于 .(4)奇数项的二项式系数的和与偶数项的二项式系数的和 .三.课前预习:1.设二项式nxx)13(3的展开式的各项系数的和为 P ,所有二项式系数的和为 S ,若272 SP,则n ( A )( )A 4 ( )B 5 ( )C 6 ()D 82.当Nn且2n时,qpn52221142(其中Nqp,,且50q),则q的值为 ( A )( )A 0 ( )B 1 ( )C 2 ()D 与n 有关3.在62)12(xx 的展开式中常数项是605 T;中间项是34160xT.4.在1033)3(xx 的展开式中,有理项的项数为第 3 , 6 , 9 项 .5.求62)321(xx 展开式里5x 的系数为- 168 .6.在7)1(ax的展开式中, 3x 的系数是2x 的系数与4x 的系数的等差中项,若实数1a,那么a5101.四.例题分析:例 1.求9)23(x展开式中系数绝对值最大的项.解:9)23(x展开式的通项为rrrrrrrrxCxCT999913)2()2(3,1设第1r项系数绝对值最大,即rrrrrrrrrrrrCCCC101919981919932323232,所以rrrr322021833,∴43r且Nr ,∴3r或4r,故系数绝对值最大项为3448988xT或45489888xT .例 2.已知nxx)12(2lglg展开式中最后三项的系数的和是方程0)7272lg(2yy的正数解,它的中间项是2lg2410 ,求 x 的值.解:由0)7272lg(2yy得073722yy,∴1y(舍去)或73y,由题意知,732412nnnnnnCCC,∴6n已知条件知,其展开式的中间项为第 4 项,即20001016022lg24)2lg(lg3)2lg(lg3336xxxxC,∴012lglg2lglg 2xx,∴1lgx或5lg2lg1lgx,∴101x或5x.经检验知,它们都符合题意。例 3.证明98322nn能被64 整除( Nn).证明:221111111112211211111389989(81)...

1、当您付费下载文档后,您只拥有了使用权限,并不意味着购买了版权,文档只能用于自身使用,不得用于其他商业用途(如 [转卖]进行直接盈利或[编辑后售卖]进行间接盈利)。
2、本站所有内容均由合作方或网友上传,本站不对文档的完整性、权威性及其观点立场正确性做任何保证或承诺!文档内容仅供研究参考,付费前请自行鉴别。
3、如文档内容存在违规,或者侵犯商业秘密、侵犯著作权等,请点击“违规举报”。

碎片内容

2012届高考数学复习 第84课时第十章 排列、组合和概率-二项式定理(1)名师精品教案 新人教A版

您可能关注的文档

文章天下+ 关注
实名认证
内容提供者

各种文档应有尽有

确认删除?
VIP
微信客服
  • 扫码咨询
会员Q群
  • 会员专属群点击这里加入QQ群
客服邮箱
回到顶部