电脑桌面
添加小米粒文库到电脑桌面
安装后可以在桌面快捷访问

jiaoan0935

jiaoan0935_第1页
1/5
jiaoan0935_第2页
2/5
jiaoan0935_第3页
3/5
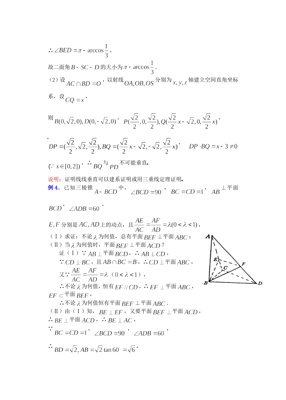
OPMDCBA课 题:小结与复习(二) 教学目的:1.在有关问题的解决过程中,进一步了解和掌握相关公理、定理的内容和功能,并探索立体几何中论证问题的规律;在有关问题的分析与解决的过程中提高逻辑思维能力、空间想象能力及化归和转化的数学思想的应用.2.在解决有关空间角的问题的过程中,进一步巩固关于直线和平面的平行垂直的性质与判定的应用,掌握作平行线(面)和垂直线(面)的技能;通过有关空间角的问题的解决,进一步提高学生的空间想象能力、逻辑推理能力及运算能力.3.通过教学使学生掌握基本的立体几何解题方法和常用解题技巧,发掘不同问题之间的内在联系,提高解题能力.4.在学生解答问题的过程中,注意培养他们的语言表述能力和“说话要有根据”的逻辑思维的习惯、提高思维品质.使学生掌握化归思想,特别是将立体几何问题转化为平面几何问题的思想意识和方法,并提高空间想象能力、推理能力和计算能力.5.使学生更好地理解多面体与旋转体的体积及其计算方法,能够熟练地使用分割与补形求体积,提高空间想象能力、推理能力和计算能力奎屯王新敞新疆授课类型:练习课 奎屯王新敞新疆课时安排:1 课时 奎屯王新敞新疆教 具:多媒体、实物投影仪 奎屯王新敞新疆教学过程:一、讲解范例:例 1 奎屯王新敞新疆已知正三棱锥的底面边长为,过作截面垂直侧棱于,且此截面与底面成的二面角,求此三棱锥的侧面积.解:作底面,垂足为,则是中心,连结并延长交与,连结,则,,∴面,,∴是二面角的平面角, 面,,,,OQPDCBASxyzDOCBAP在中,,.例 2.已知正三棱锥的高为,一个侧面三角形的面积为,求这个正三棱锥的侧面和底面所成的二面角奎屯王新敞新疆解:设正三棱锥,高,,作于,连接,由三垂线定理知,为所求的侧面和底面所成的二面角的平面角,设,则,又,∴.,∴.由,得,,∴所求二面角为.例 3.如图,正四棱锥中,所有棱长都是,为的中点, (1)求二面角的大小;(2)如果点在棱上,那么直线与能否垂直?请说明理由奎屯王新敞新疆解:(1)取的中点,连结,是正三角形,∴ ,∴是二面角的平面角,在中,,∴,故二面角的大小为.(2)设,以射线分别为轴建立空间直角坐标系,设,则,,,,∴与不可能垂直奎屯王新敞新疆说明:证明线线垂直可以建系证明或用三垂线定理证明奎屯王新敞新疆例 4.已知三棱锥中,,,⊥平面,,分别是上的动点,且,(Ⅰ)求证:不论为何值,总有平面⊥平面;(Ⅱ)当为何值时,平...

1、当您付费下载文档后,您只拥有了使用权限,并不意味着购买了版权,文档只能用于自身使用,不得用于其他商业用途(如 [转卖]进行直接盈利或[编辑后售卖]进行间接盈利)。
2、本站所有内容均由合作方或网友上传,本站不对文档的完整性、权威性及其观点立场正确性做任何保证或承诺!文档内容仅供研究参考,付费前请自行鉴别。
3、如文档内容存在违规,或者侵犯商业秘密、侵犯著作权等,请点击“违规举报”。

碎片内容

您可能关注的文档

确认删除?
VIP
微信客服
  • 扫码咨询
会员Q群
  • 会员专属群点击这里加入QQ群
客服邮箱
回到顶部