电脑桌面
添加小米粒文库到电脑桌面
安装后可以在桌面快捷访问

高考数学 二轮复习解三角形学案

高考数学 二轮复习解三角形学案_第1页
1/3
高考数学 二轮复习解三角形学案_第2页
2/3
高考数学 二轮复习解三角形学案_第3页
3/3
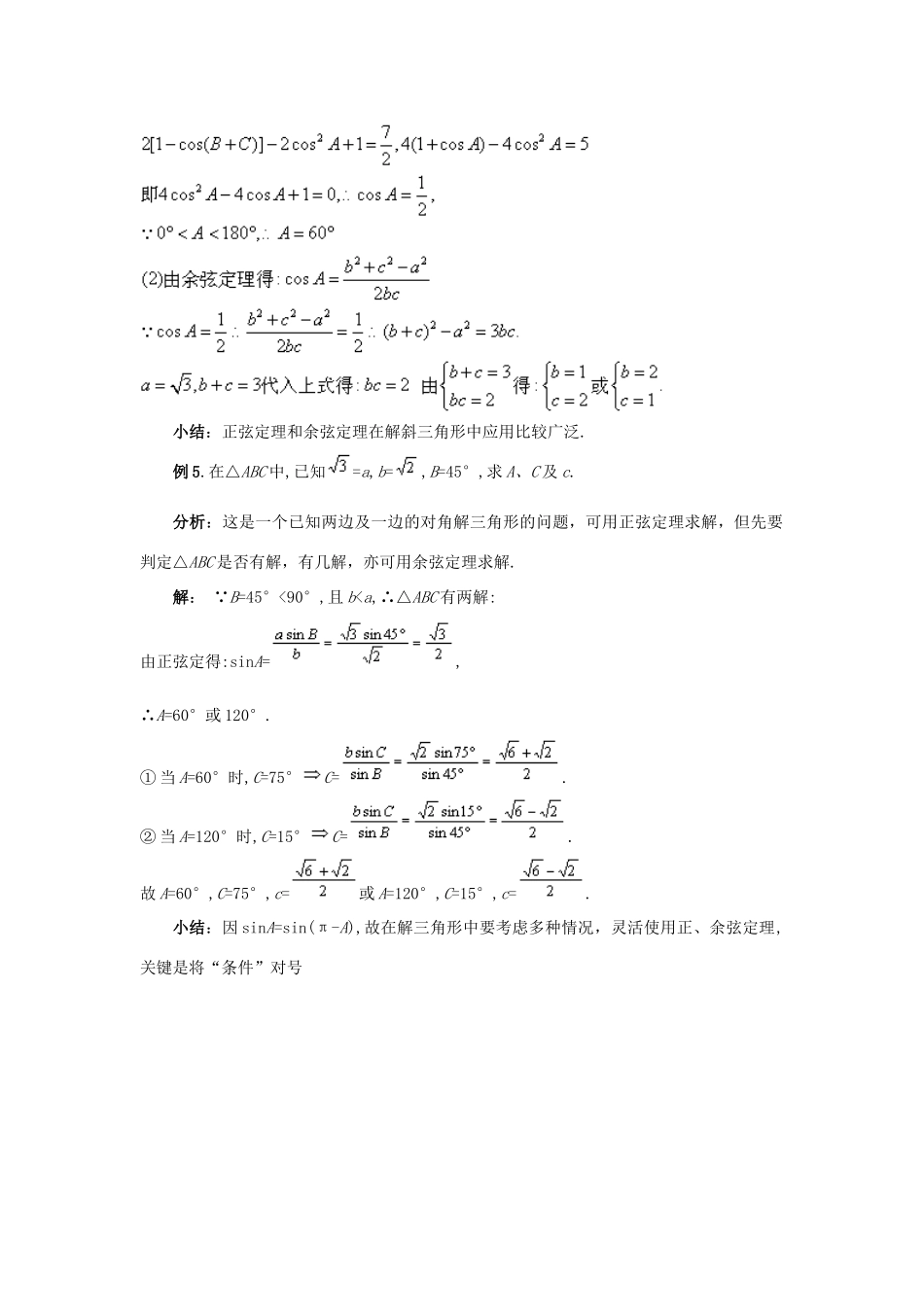
高考第二轮复习数学学案解三角形(2)二、专题综合1.正弦定理与余弦定理例 1.已知ABC 中,A,,求分析:可通过设一参数 k(k>0)使,证明出.解 : 设 则 有,,从而==.又,所以=2小结:ABC 中,等式恒成立.补充练习:已知ABC 中,,求(答案:1:2:3)归纳总结:(1)定理的表示形式:;或,,;(2)正弦定理的应用范围:①已知两角和任一边,求其它两边及一角;② 已知两边和其中一边对角,求另一边的对角.例 2.在ABC 中,已知,,,求 b 及 A解:∵.=cos== 8.∴求可以利用余弦定理,也可以利用正弦定理:高考资源网解法一:∵cos ∴解法二:∵sin又∵><∴<, 即<< ∴小结:解法二应注意确定 A 的取值范围.例 3.在ABC 中,已知,,,解三角形解:由余弦定理的推论得:cos ;cos;小结:(1)余弦定理是任何三角形边角之间存在的共同规律,勾股定理是余弦定理的特例;(2)余弦定理的应用范围:①.已知三边求三角;②.已知两边及它们的夹角,求第三边.2. 三角形中的几何计算例 4.在△ABC 中,a、b、c 分别为角 A、B、C 的对边,.(1)求角 A 的度数;(2)若 a=,b+c=3,求 b 和 c 的值.解析:小结:正弦定理和余弦定理在解斜三角形中应用比较广泛. 例 5.在△ABC 中,已知=a,b=,B=45°,求 A、C 及 c.分析:这是一个已知两边及一边的对角解三角形的问题,可用正弦定理求解,但先要判定△ABC 是否有解,有几解,亦可用余弦定理求解.解: ∵B=45°<90°,且 b

1、当您付费下载文档后,您只拥有了使用权限,并不意味着购买了版权,文档只能用于自身使用,不得用于其他商业用途(如 [转卖]进行直接盈利或[编辑后售卖]进行间接盈利)。
2、本站所有内容均由合作方或网友上传,本站不对文档的完整性、权威性及其观点立场正确性做任何保证或承诺!文档内容仅供研究参考,付费前请自行鉴别。
3、如文档内容存在违规,或者侵犯商业秘密、侵犯著作权等,请点击“违规举报”。

碎片内容

高考数学 二轮复习解三角形学案

您可能关注的文档

文章天下+ 关注
实名认证
内容提供者

各种文档应有尽有

相关文档

确认删除?
微信客服
  • 扫码咨询
会员Q群
  • 会员专属群点击这里加入QQ群