电脑桌面
添加小米粒文库到电脑桌面
安装后可以在桌面快捷访问

上证指数历史数据

上证指数历史数据_第1页
1/12
上证指数历史数据_第2页
2/12
上证指数历史数据_第3页
3/12
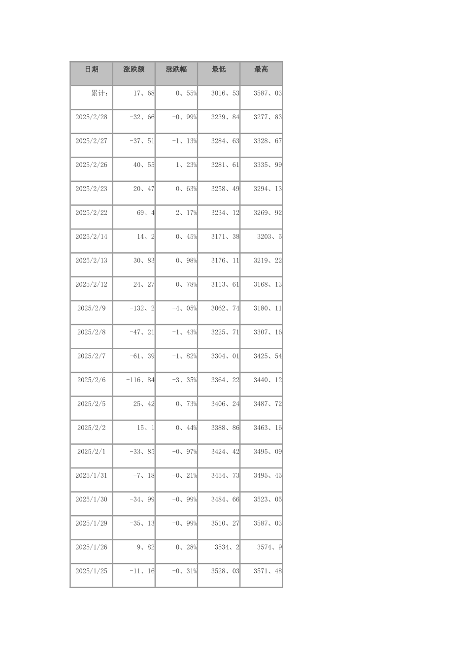
日期涨跌额涨跌幅最低最高累计:17、680、55%3016、533587、032025/2/28-32、66-0、99%3239、843277、832025/2/27-37、51-1、13%3284、633328、672025/2/2640、551、23%3281、613335、992025/2/2320、470、63%3258、493294、132025/2/2269、42、17%3234、123269、922025/2/1414、20、45%3171、383203、52025/2/1330、830、98%3176、113219、222025/2/1224、270、78%3113、613168、132025/2/9-132、2-4、05%3062、743180、112025/2/8-47、21-1、43%3225、713307、162025/2/7-61、39-1、82%3304、013425、542025/2/6-116、84-3、35%3364、223440、122025/2/525、420、73%3406、243487、722025/2/215、10、44%3388、863463、162025/2/1-33、85-0、97%3424、423495、092025/1/31-7、18-0、21%3454、733495、452025/1/30-34、99-0、99%3484、663523、052025/1/29-35、13-0、99%3510、273587、032025/1/269、820、28%3534、23574、92025/1/25-11、16-0、31%3528、033571、482025/1/2412、960、37%3527、113569、492025/1/2345、141、29%3504、343547、222025/1/2213、50、39%3475、673503、392025/1/1913、110、38%3474、293498、432025/1/1830、080、87%3448、793476、552025/1/178、080、24%3430、513465、22025/1/1626、110、77%3401、963437、582025/1/15-18、45-0、54%3402、313442、52025/1/123、60、10%3417、983435、422025/1/113、510、10%3405、643426、482025/1/107、930、23%3398、843430、212025/1/94、420、13%3403、593417、232025/1/817、730、52%3384、563412、732025/1/56、040、18%3380、253402、072025/1/416、60、49%3365、33392、832025/1/320、780、62%3345、293379、922025/1/241、151、24%3314、033349、052025/12/2910、790、33%3292、773308、222025/12/2820、60、63%3263、733304、12025/12/27-30、34-0、92%3270、353307、082025/12/2625、660、78%3274、333307、32025/12/25-16、6-0、50%3270、443312、32025/12/22-3-0、09%3293、443307、332025/12/2112、450、38%3267、43309、222025/12/20-8、93-0、27%3276、123300、212025/12/1928、620、88%3266、023296、942025/12/181、790、05%3254、183280、542025/12/15-26、3-0、80%3259、393287、532025/12/14-10、6-0、32%3282、573309、532025/12/1322、220、68%3273、323304、012025/12/12-41、38-1、25%3280、333320、312025/12/1132、20、98%3288、293322、672025/12/81...

1、当您付费下载文档后,您只拥有了使用权限,并不意味着购买了版权,文档只能用于自身使用,不得用于其他商业用途(如 [转卖]进行直接盈利或[编辑后售卖]进行间接盈利)。
2、本站所有内容均由合作方或网友上传,本站不对文档的完整性、权威性及其观点立场正确性做任何保证或承诺!文档内容仅供研究参考,付费前请自行鉴别。
3、如文档内容存在违规,或者侵犯商业秘密、侵犯著作权等,请点击“违规举报”。

碎片内容

上证指数历史数据

阳光书坊+ 关注
实名认证
内容提供者

阳光书坊,传播未来

相关文档

确认删除?
VIP
微信客服
  • 扫码咨询
会员Q群
  • 会员专属群点击这里加入QQ群
客服邮箱
回到顶部