电脑桌面
添加小米粒文库到电脑桌面
安装后可以在桌面快捷访问

25秋人教七年级数学上册专项讲练1.39 用简便方法进行有理数加减混合运算100题(专项练习)【附详解】

25秋人教七年级数学上册专项讲练1.39 用简便方法进行有理数加减混合运算100题(专项练习)【附详解】_第1页
1/112
25秋人教七年级数学上册专项讲练1.39 用简便方法进行有理数加减混合运算100题(专项练习)【附详解】_第2页
2/112
25秋人教七年级数学上册专项讲练1.39 用简便方法进行有理数加减混合运算100题(专项练习)【附详解】_第3页
3/112
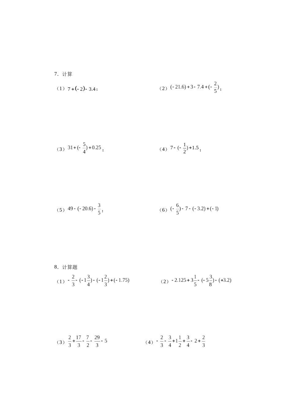
专题 1.39 用简便方法进行有理数加减混合运算 100 题(专项练习)1.计算:(1)(2)2.3.计算:(1)(-0.9)+(-3.6) (2)(3)(-2.8)+(-3.6)+(-1.5)+3.6 (4)4.综合计算(1)12-(-18)+(-7)-15(2)(3)(-8)-(-15)+(-9)-(-12) (4)5.(1)(2)6.计算(1) (2)(3) (4)(5) (6)7.计算(1);(2);(3);(4);(5);(6)8.计算题(1) (2)(3) (4)(5) (6)9.计算(1)(2)10.你来算一算!千万别出错!(1)计算:17887.21+43﹣+5312.79﹣.(2)计算:15+﹣(﹣)﹣+(﹣5).11.计算:+…+|1|﹣12.计算:(1) (2)(3) (4)13.计算:(1);(2);(3).14.简便计算:(1);(2)15.计算:(1)(-2.8)+(-3.6)+3.6;(2)16.计算:(1)(﹣13)+(﹣7)﹣(+20)﹣(﹣40)+(+16)(2)(+)+(﹣)+(+1)+(﹣)(3)(+1.9)+3.6﹣(﹣10.1)+1.4(4)1+23﹣+4.25﹣17.阅读下面的计算方法:计算:解:原式====2上面的解法叫拆项法.请你运用这种方法计算:.18.计算:.19.计算下列各式的值.(1)0.85+(+0.75)﹣(+2)+(﹣1.85)﹣3;(2)(﹣1.5)+4+2.75+(﹣5);(3)27.45﹣(﹣32.39)+72.55+(﹣12.39);(4)+(﹣)+﹣(+)+(﹣).20.怎么简便怎么计算(1) (-52)+24+(-74)+12 (2)(-8)-(-1)- 3 (3)12﹣(﹣18)+(﹣12)﹣15 (4)21.观察下列各式:(1)写出第 4 个等式: .(2)请你用含 n 的等式表示第 n 个等式: .(3)试运用你发现的规律计算:.22.计算(1)(2)(3)(4)23.计算:(1)13+(-15)-(-23); (2)-17+(-33)-10-(-16).(3)11-18-12 + 19 (4)24.用简便方法计算:9+①(﹣7)+10+(﹣3)+(﹣9) ②﹣0.55﹣1+5﹣4﹣+2③(﹣1.5)﹣1+(﹣2)﹣(﹣3)﹣(﹣1.25)25.综合与实践阅读下面的计算过程,体会“拆项法”计算:解:原式启发应用:用上面的方法完成下列计算.(1);(2).26.计算(1)(﹣2.48)+4.33+(﹣7.52)+(﹣4.33) (2)(3)1+(﹣2)+3+(﹣4)+……+99+(-100) (4)()-()-();(5)(﹣8)-(﹣10)+(﹣6)-(+4) (6)27.计算:(1)(﹣8)﹣(+4)+(﹣7)﹣(+9);(2);(3);(4).28.简便运算:(1); (2).29.计算:(1);(2);(3);(4).30.先将下列各式写成省略加号的和...

1、当您付费下载文档后,您只拥有了使用权限,并不意味着购买了版权,文档只能用于自身使用,不得用于其他商业用途(如 [转卖]进行直接盈利或[编辑后售卖]进行间接盈利)。
2、本站所有内容均由合作方或网友上传,本站不对文档的完整性、权威性及其观点立场正确性做任何保证或承诺!文档内容仅供研究参考,付费前请自行鉴别。
3、如文档内容存在违规,或者侵犯商业秘密、侵犯著作权等,请点击“违规举报”。

碎片内容

25秋人教七年级数学上册专项讲练1.39 用简便方法进行有理数加减混合运算100题(专项练习)【附详解】

道可到+ 关注
实名认证
内容提供者

只上传优质资源,低价超值!

确认删除?
VIP
微信客服
  • 扫码咨询
会员Q群
  • 会员专属群点击这里加入QQ群
客服邮箱
回到顶部