电脑桌面
添加小米粒文库到电脑桌面
安装后可以在桌面快捷访问

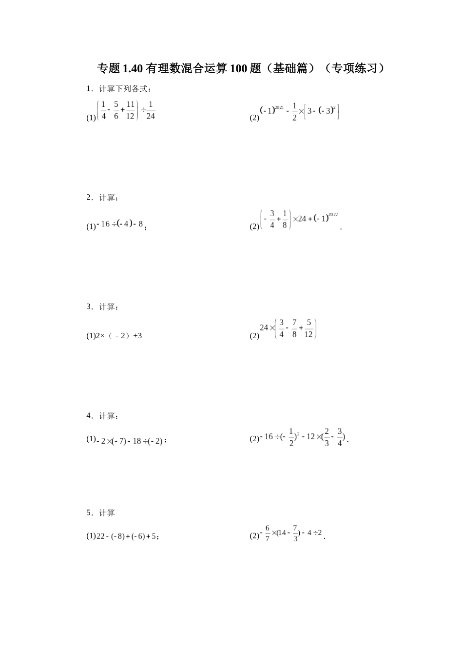
25秋人教七年级数学上册专项讲练1.40 有理数混合运算100题(基础篇)(专项练习)【附详解】

25秋人教七年级数学上册专项讲练1.40 有理数混合运算100题(基础篇)(专项练习)【附详解】_第1页
1/99
25秋人教七年级数学上册专项讲练1.40 有理数混合运算100题(基础篇)(专项练习)【附详解】_第2页
2/99
25秋人教七年级数学上册专项讲练1.40 有理数混合运算100题(基础篇)(专项练习)【附详解】_第3页
3/99
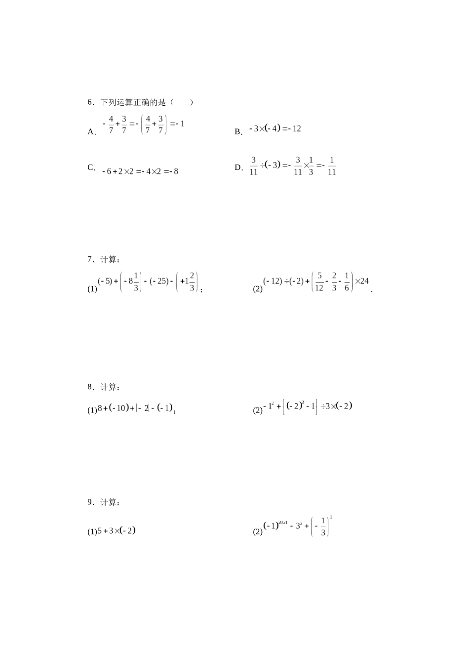
专题 1.40 有理数混合运算 100 题(基础篇)(专项练习)1.计算下列各式:(1)(2)2.计算:(1);(2).3.计算:(1)2×(﹣2)+3(2)4.计算:(1);(2).5.计算(1);(2).6.下列运算正确的是( )A.B.C.D.7.计算:(1);(2).8.计算:(1);(2)9.计算:(1)(2)10.计算:(1);(2).11.计算:(1);(2).12.计算(1)(﹣11)+(﹣5)+14(2)2×(﹣1)202120÷﹣(﹣4)13.计算:(1)﹣18+(﹣32);(2)(﹣81)14.(1);(2)15.(1)﹣2+2.56+15﹣;(2)(﹣2)×(﹣2)﹣4÷(﹣2).16.计算(1); (2).(3) (4)17.计算:(1);(2)(3)(4)18.计算:(1);(2).19.(1)计算:.(2)计算:.20.计算题(1);(2).21.计算:(1);(2).22.计算(1)(2)23.计算:(1) (2)24.计算:(1) (2)(3) (4)25.计算:(1)﹣8+4﹣(﹣2);(2);(3);(4).26.计算:(1) (2)(3) (4)27.计算:(1)5+(-6)+3-(-4); (2) .28.直接写出得数(1)(2)(3)(4)(5)(6)(7)29.计算:(1);(2);30.计算(1) (2)31.计算:(1) .(2) .(3) .(4) .32.计算:①;②;③;④;⑤;⑥.33.计算:(1)-5×2+3÷-(-1);(2)()÷.34.计算:(1); (2).35.计算:(1)(2).36.计算:(1);(2).37.计算:(1); (2)÷.38.计算:(1)12-(-18)+ (-7)-15; (2)39.计算(1)(2)40.计算:(1) (2) 41.计算题(1)(+4.3)-(-4)+(-2.3)-(+4)(2)(3)(4)(5)﹣14+(10.5﹣)××(﹣3)2(6)42.计算:(1)(2)(3)43.(1)|2﹣|﹣(﹣2.5)+1|12﹣ ﹣|;(2)(﹣8)﹣(﹣15)+(﹣9)﹣(﹣12);(3)(﹣3)+(+)+(﹣0.5)++3;(4)简便运算:(﹣301)+125+301+(﹣75);(5)2718+﹣(﹣7)﹣32;(6)15﹣(+5)﹣(+3)+(﹣2)﹣(+6).44.计算:45.计算:(1); (2).46.计算下列各式的值:(1)-150+250 (2) (3)12-(-8)+(-7)-15 (4) (5)(-7) ×(-5)-90÷(-15) (6) |-2|-(-2.5)―|1-4|47.计算下列各题(1)计算: (2)计算: (3)计算:(4)计算:48.计算:(1);(2);(3);(4).49.计算:(1) (2)50.计算(1)(2)(3)(4)51.计算(1)(2)52.计算题(1);(2)(用简便方法);(3)化简(4)解方程.53...

1、当您付费下载文档后,您只拥有了使用权限,并不意味着购买了版权,文档只能用于自身使用,不得用于其他商业用途(如 [转卖]进行直接盈利或[编辑后售卖]进行间接盈利)。
2、本站所有内容均由合作方或网友上传,本站不对文档的完整性、权威性及其观点立场正确性做任何保证或承诺!文档内容仅供研究参考,付费前请自行鉴别。
3、如文档内容存在违规,或者侵犯商业秘密、侵犯著作权等,请点击“违规举报”。

碎片内容

25秋人教七年级数学上册专项讲练1.40 有理数混合运算100题(基础篇)(专项练习)【附详解】

道可到+ 关注
实名认证
内容提供者

只上传优质资源,低价超值!

确认删除?
VIP
微信客服
  • 扫码咨询
会员Q群
  • 会员专属群点击这里加入QQ群
客服邮箱
回到顶部