电脑桌面
添加小米粒文库到电脑桌面
安装后可以在桌面快捷访问

常用材料化学成份与机械性能VIP免费

常用材料化学成份与机械性能_第1页
1/6
常用材料化学成份与机械性能_第2页
2/6
常用材料化学成份与机械性能_第3页
3/6
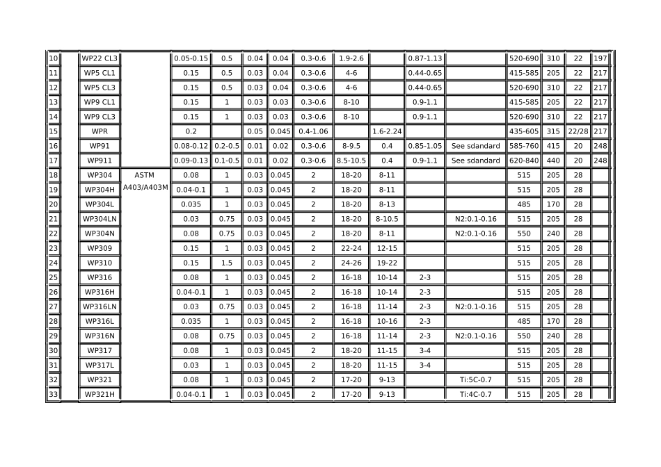
常用材料化学成份及机械性能CSiSPMnCrNiMootherσbσsδ5HB1管件WPBASTMA234/A234M0.30.1min0.0580.050.29-1.060.40.40.15V:0.06;Nb:0.02415-585240221972WPC0.350.1min0.0580.050.29-1.060.40.40.15V:0.06;Nb:0.02485-655275221973WP10.280.1-0.50.0450.0450.3-0.90.44-0.65380-550205221974WP12CL10.05-0.20.60.0450.0450.3-0.80.8-1.250.44-0.65415-585220221975WP12CL20.05-0.20.60.0450.0450.3-0.80.8-1.250.44-0.65485-655275221976WP11CL10.05-0.150.5-10.030.030.3-0.61-1.50.44-0.65415-585205221977WP11CL20.05-0.20.5-10.040.040.3-0.81-1.50.44-0.65485-655275221978WP11CL30.05-0.20.5-10.040.040.3-0.81-1.50.44-0.65520-690310221979WP22CL10.05-0.150.50.040.040.3-0.61.9-2.60.87-1.13415-5852052219710WP22CL30.05-0.150.50.040.040.3-0.61.9-2.60.87-1.13520-6903102219711WP5CL10.150.50.030.040.3-0.64-60.44-0.65415-5852052221712WP5CL30.150.50.030.040.3-0.64-60.44-0.65520-6903102221713WP9CL10.1510.030.030.3-0.68-100.9-1.1415-5852052221714WP9CL30.1510.030.030.3-0.68-100.9-1.1520-6903102221715WPR0.20.050.0450.4-1.061.6-2.24435-60531522/2821716WP910.08-0.120.2-0.50.010.020.3-0.68-9.50.40.85-1.05Seesdandard585-7604152024817WP9110.09-0.130.1-0.50.010.020.3-0.68.5-10.50.40.9-1.1Seesdandard620-8404402024818WP304ASTMA403/A403M0.0810.030.045218-208-115152052819WP304H0.04-0.110.030.045218-208-115152052820WP304L0.03510.030.045218-208-134851702821WP304LN0.030.750.030.045218-208-10.5N2:0.1-0.165152052822WP304N0.080.750.030.045218-208-11N2:0.1-0.165502402823WP3090.1510.030.045222-2412-155152052824WP3100.151.50.030.045224-2619-225152052825WP3160.0810.030.045216-1810-142-35152052826WP316H0.04-0.110.030.045216-1810-142-35152052827WP316LN0.030.750.030.045216-1811-142-3N2:0.1-0.165152052828WP316L0.03510.030.045216-1810-162-34851702829WP316N0.080.750.030.045216-1811-142-3N2:0.1-0.165502402830WP3170.0810.030.045218-2011-153-45152052831WP317L0.0310.030.045218-2011-153-45152052832WP3210.0810.030.045217-209-13Ti:5C-0.75152052833WP321H0.04-0.110.030.045217-209-13Ti:4C-0.75152052834WP3470.0810.030.045217-209-13Nb+Ta:10C-1.15152052835WP347H0.04-0.110.030.045217-209-13Nb+Ta:8C-15152052836WP3480.0810.030.045217-209-13Ta:0.15152052837WP348H0.04-0.110.030.045217-209-13Ta:0.151520528常用材料化学成份及机械性能CSiSPMnCrNiMootherσbσsδ5HB1管件WPL6ASTMA420/A420M0.30.15-0.30.040.0350.6-1.350.30.40.12Cb:0.02;V:0.08415-585240222WPL90.20.030.030.4-1.061.6-2.24435-610315203WPL30.20.13-0.370.050.050.31-0.643.2-3.8450-620240224WPL80.130.13-0.370.030.030.98.4-9.6690-865515165UNSS31803ASTMA815/A815M0.030.10.020.03221-234.5-6.52.5-3.5N:0.08-0.2620-795450252906锻件A105ASTMA105/A105M0.350.1-0.350.040.0350.6-1.050.30.40.12V:0.05;Nb:0.0248525022187ψ%:307F11CL1ASTMA182/A182M0.05-0.150.5-10.030.030.3-0.61-1.50.44-0.6541520520121-174ψ%:458F11CL20.1-0.20.5-10.040.040.3-0.81-1.50.44-0.6548527520143-207ψ%:309F11CL30.1-0.20.5-10.040.040.3-0.81-1.50.44-0.6551531020156-207ψ%:3010F12CL10.05-0.150.50.0450.0450.3-0.60.8-1.250.44-0.6541520520121-174ψ%:4511F12CL20.1-0.20.1-0.60.040.040.3-0.80.8-1.250.44-0.6548527520143-207ψ%:3012F3040.0810.030.045218-208-11N:0.151520530ψ%:5013F304H0.04-0.110.030.045218-208-1151520530ψ%:5014F304L0.03510.030.045218-208-13N:0.148517030ψ%:5015F316L0.03510.030.045216-1810-152-3N:0.148517030ψ%:5016F3170.0810.030.045218-2011-153-451520530ψ%:501F3210.0810.030.04217-199-12Ti:5C%-0.751520530ψ%:507518F3470.0810.030.045217-209-13Ti:10C%-1.151520530ψ%:5019管BASTMA53/A53M0.30.0450.051.20.40.40.15V:0.08415240Seesdandard20BASTMA1060.30.1min0.0350.0350.29-1.060.40.40.15V:0.084152402221C0.350.1min0.0350.0350.29-1.060.40.40.15V:0.084852702022TP304ASTMA312/A312M0.080.750.030.04218-208-115152053523TP304H0.04-0.10.750.030.04218-208-115152053524TP304L0.0350.750.030.04218-208-134851703525TP316L0.0350.750.030.04216-1810-152-34851703526TP3210.080.750.030.04217-209-13Ti:5C%-0.75152053527P5ASTMA335/A335M0.150.50.0250.0250.3-0.64-60.45-0.654152052228P5b0.151-20.0250.0250.3-0.64-60.45-0.654152052229P5c0.120.50.0250.0250.3-0.64-60.45-0.65Ti:4C%-0.7415205223P90.150.5-10.020.020.3-0.68-100.9-1.14152052205531P110.05-0.150.5-10.0250.0250.3-0.61-1.50.44-0.654152052232P120.05-0.150.50.0250.0250.3-0.610.8-1.250.44-0.654152202233P220.05-0.150.50.0250.0250.3-0.61.9-2.60.87-0.134152052234P910.08-0.120.2-0.50.010.020.3-0.68-9.50.40.85-1.05Seesdandard5854152035板60ASTMA515/A515M0.240.13-0.450.0350.0350.98415-5502202536650.280.13-0.450.0350.0350.98450-5852402337700.310.13-0.450.0350.0351.3485-62026021

1、当您付费下载文档后,您只拥有了使用权限,并不意味着购买了版权,文档只能用于自身使用,不得用于其他商业用途(如 [转卖]进行直接盈利或[编辑后售卖]进行间接盈利)。
2、本站所有内容均由合作方或网友上传,本站不对文档的完整性、权威性及其观点立场正确性做任何保证或承诺!文档内容仅供研究参考,付费前请自行鉴别。
3、如文档内容存在违规,或者侵犯商业秘密、侵犯著作权等,请点击“违规举报”。

碎片内容

常用材料化学成份与机械性能

确认删除?
VIP
微信客服
  • 扫码咨询
会员Q群
  • 会员专属群点击这里加入QQ群
客服邮箱
回到顶部