电脑桌面
添加小米粒文库到电脑桌面
安装后可以在桌面快捷访问

工程地质与土力学试题库(计算题)VIP免费

工程地质与土力学试题库(计算题)_第1页
1/8
工程地质与土力学试题库(计算题)_第2页
2/8
工程地质与土力学试题库(计算题)_第3页
3/8
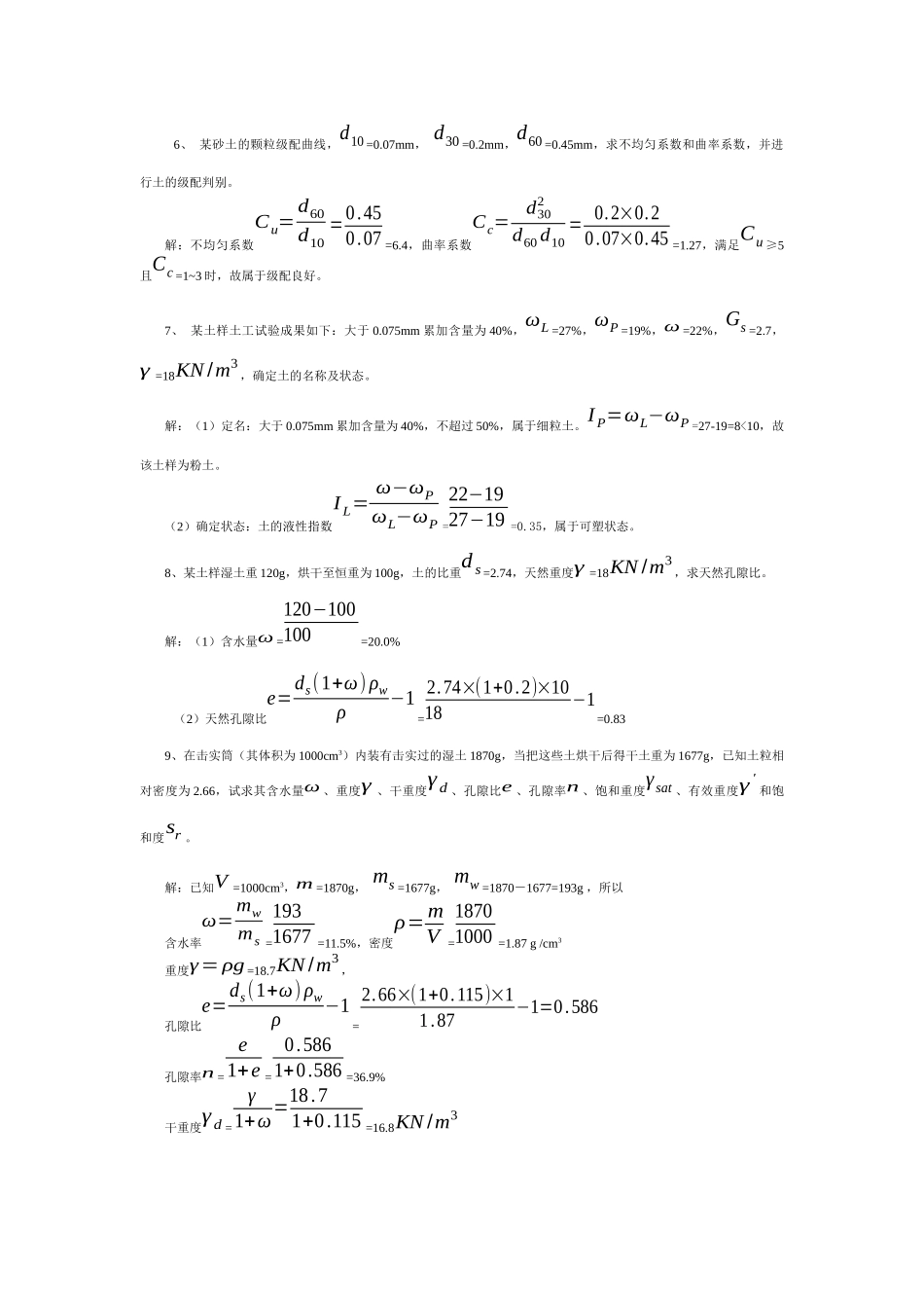
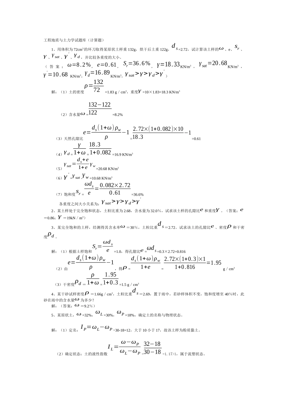
工程地质与土力学试题库(计算题)1、用体积为72cm3的环刀取得某原状土样重132g,烘干后土重122g,ds=2.72,试计算该土样的ω、e、sr、γ、γsat、γ'、γd,并比较各重度的大小。(答案:ω=8.2%,e=0.61,Sr=36.6%,γ=18.33KN/m3,γsat=20.68KN/m3,γ'=10.68KN/m3,γd=16.89KN/m3,γsat>γ>γd>γ')解:(1)土的密度ρ=13272=1.83g/cm3,重度γ=10×1.83=18.3KN/m3(2)含水量ω=132−122122=8.2%(3)天然孔隙比e=ds(1+ω)ρwρ−1=2.72×(1+0.082)×1018.3−1=0.61(4)γd=γ1+ω=18.31+0.082=16.9KN/m3(5)γsat=ds+e1+eγw=20.68KN/m3(6)γ'=γsat-γw=10.68KN/m3(7)饱和度sr=ωdse=0.082×2.720.61=36.6%各重度之间大小关系为:γsat>γ>γd>γ'2、某土样处于完全饱和状态,土粒比重为2.68,含水量为32.0%,试求该土样的孔隙比e和重度γ。(答案:e=0.86;γ=19kN/m3)3、某完全饱和的土样,经测得其含水率ω=30%,土粒比重ds=2.72。试求该土的孔隙比e、密度ρ和干密度ρd。解:(1)根据土样饱和Sr=ωdse=1.0,得孔隙比e=ωds=0.3×2.72=0.816(2)由e=ds(1+ω)ρwρ−1,得ρ=ds(1+ω)ρw1+e=2.72×(1+0.3)×11+0.816=1.95g/cm3(3)干密度ρd=ρ1+ω=1.951+0.3=1.5g/cm34、某干砂试样密度ρ=1.66g/cm3,土粒比重ds=2.69,置于雨中,若砂样体积不变,饱和度增至40%时,此砂在雨中的含水量ω为多少?解:(答案:ω=9.2%)5、某原状土,ω=32%,ωL=30%,ωP=18%,确定土的名称与物理状态。解:(1)定名:IP=ωL−ωP=30-18=12,大于10小于17,故该土样为粉质黏土。(2)确定状态:土的液性指数IL=ω−ωPωL−ωP=32−1830−18=1.17>1,属于流塑状态。6、某砂土的颗粒级配曲线,d10=0.07mm,d30=0.2mm,d60=0.45mm,求不均匀系数和曲率系数,并进行土的级配判别。解:不均匀系数Cu=d60d10=0.450.07=6.4,曲率系数Cc=d302d60d10=0.2×0.20.07×0.45=1.27,满足Cu≥5且Cc=1~3时,故属于级配良好。7、某土样土工试验成果如下:大于0.075mm累加含量为40%,ωL=27%,ωP=19%,ω=22%,Gs=2.7,γ=18KN/m3,确定土的名称及状态。解:(1)定名:大于0.075mm累加含量为40%,不超过50%,属于细粒土。IP=ωL−ωP=27-19=8<10,故该土样为粉土。(2)确定状态:土的液性指数IL=ω−ωPωL−ωP=22−1927−19=0.35,属于可塑状态。8、某土样湿土重120g,烘干至恒重为100g,土的比重ds=2.74,天然重度γ=18KN/m3,求天然孔隙比。解:(1)含水量ω=120−100100=20.0%(2)天然孔隙比e=ds(1+ω)ρwρ−1=2.74×(1+0.2)×1018−1=0.839、在击实筒(其体积为1000cm3)内装有击实过的湿土1870g,当把这些土烘干后得干土重为1677g,已知土粒相对密度为2.66,试求其含水量ω、重度γ、干重度γd、孔隙比e、孔隙率n、饱和重度γsat、有效重度γ'和饱和度sr。解:已知V=1000cm3,m=1870g,ms=1677g,mw=1870-1677=193g,所以含水率ω=mwms=1931677=11.5%,密度ρ=mV=18701000=1.87g/cm3重度γ=ρg=18.7KN/m3,孔隙比e=ds(1+ω)ρwρ−1=2.66×(1+0.115)×11.87−1=0.586孔隙率n=e1+e=0.5861+0.586=36.9%干重度γd=γ1+ω=18.71+0.115=16.8KN/m3饱和重度γsat=ds+e1+eγw=2.66+0.5861+0.586×10=20.5KN/m3有效重度γ'=γsat-γw=20.5-10=10.5KN/m3饱和度sr=ωdse=0.115×2.660.586=52.2%10、某土样测得重量为1.87N,体积为100cm3,烘干后重量为1.67N,已直土的相对密度为2.66。求土的γ、w、e、γd、γsat、sr、γ'。11、某土的体积为72cm3,土样质量为129g,干土质量为120g,土的相对密度为2.70,求含水量、重度、饱和重度、浮重度、干重度。12、某饱和粘土的含水量为35%,相对密度为2.72,求孔隙比和干重度。13、某土的液限为36%,塑限为20%,含水量为35%,求土样的塑性指数、液性支书,并确定土样名称和状态。14、例某砂土天然状态下的密度为1.8g/cm3,含水率为20%,颗粒比重为2.65,最大干密度ρdmax=1.7g/cm3,最小干密度ρdmin=1.42g/cm3,求相对密度并判别密实度。解:(1)砂土的天然孔隙比e=GSρW(1+ω)ρ−1=2.65×1×(1+0.20)1.8−1=0.767(2)最大孔...

1、当您付费下载文档后,您只拥有了使用权限,并不意味着购买了版权,文档只能用于自身使用,不得用于其他商业用途(如 [转卖]进行直接盈利或[编辑后售卖]进行间接盈利)。
2、本站所有内容均由合作方或网友上传,本站不对文档的完整性、权威性及其观点立场正确性做任何保证或承诺!文档内容仅供研究参考,付费前请自行鉴别。
3、如文档内容存在违规,或者侵犯商业秘密、侵犯著作权等,请点击“违规举报”。

碎片内容

工程地质与土力学试题库(计算题)

您可能关注的文档

确认删除?
VIP
微信客服
  • 扫码咨询
会员Q群
  • 会员专属群点击这里加入QQ群
客服邮箱
回到顶部