电脑桌面
添加小米粒文库到电脑桌面
安装后可以在桌面快捷访问

(完整版)二次函数中的存在性问题(答案)VIP免费

(完整版)二次函数中的存在性问题(答案)_第1页
1/7
(完整版)二次函数中的存在性问题(答案)_第2页
2/7
(完整版)二次函数中的存在性问题(答案)_第3页
3/7
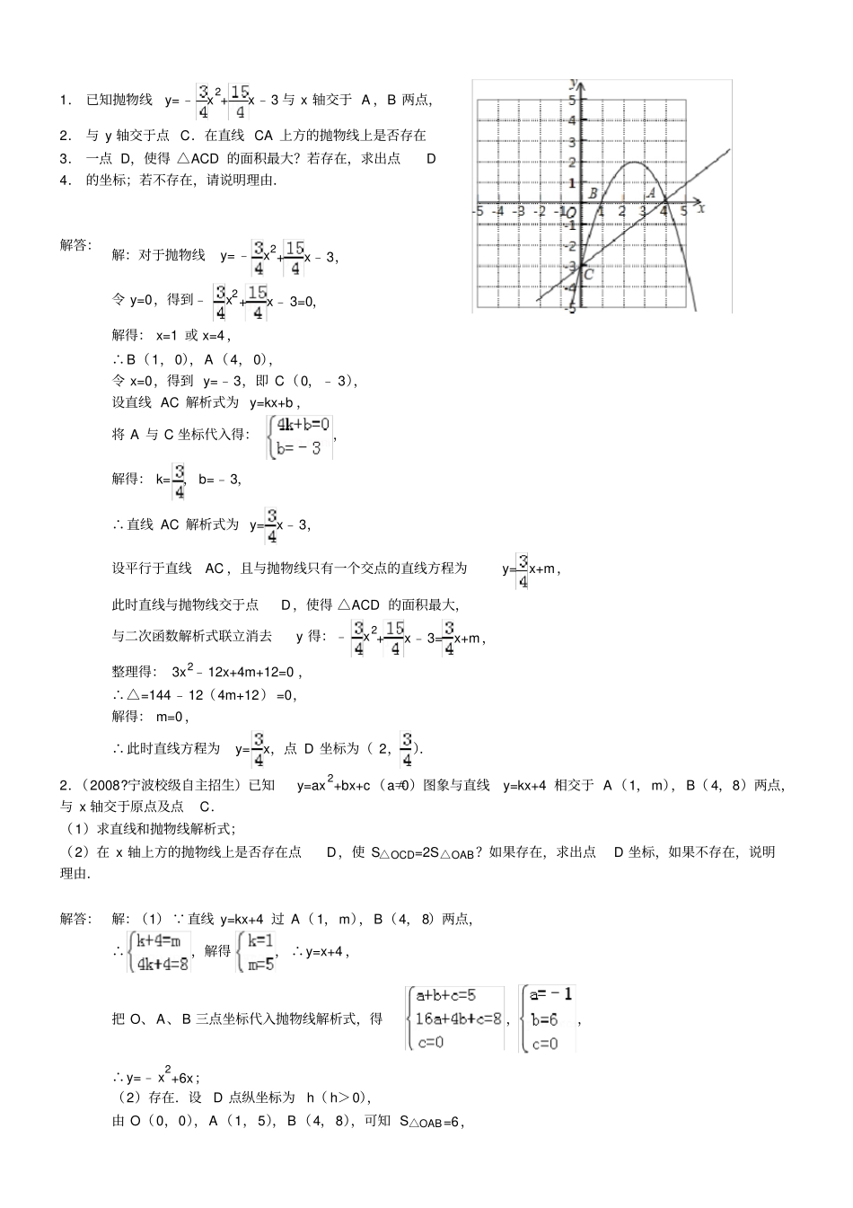
二次函数中的存在性问题姓名1.已知抛物线y=﹣x2+x﹣3与x轴交于A,B两点,与y轴交于点C.在直线CA上方的抛物线上是否存在一点D,使得△ACD的面积最大?若存在,求出点D的坐标;若不存在,请说明理由.2.已知y=ax2+bx+c(a≠0)图象与直线y=kx+4相交于A(1,m),B(4,8)两点,与x轴交于原点及点C.(1)求直线和抛物线解析式;(2)在x轴上方的抛物线上是否存在点D,使S△OCD=2S△OAB?如果存在,求出点D坐标,如果不存在,说明理由.3.已知直线y=x﹣3与x轴交于点A,与y轴交于点C,抛物线y=﹣x2+mx+n经过点A和点C.(1)求此抛物线的解析式;(2)在直线CA上方的抛物线上是否存在点D,使得△ACD的面积最大?若存在,求出点D的坐标;若不存在,说明理由.4.在平面直角坐标系xOy中,抛物线y=﹣x2+bx+c与x轴交于A、B两点(点A在点B的左侧),过点A的直线y=kx+1交抛物线于点C(2,3).(1)求直线AC及抛物线的解析式;(2)若直线y=kx+1与抛物线的对称轴交于点E,以点E为中心将直线y=kx+1顺时针旋转90°得到直线l,设直线l与y轴的交点为P,求△APE的面积;(3)若G为抛物线上一点,是否存在x轴上的点F,使以B、E、F、G为顶点的四边形为平行四边形?若存在,直接写出点F的坐标;若不存在,请说明理由.5.如图,在平面直角坐标系中,抛物线交x轴于A,B两点(A在B的左侧),交y轴于点C.(1)求直线BC的解析式;(2)求抛物线的顶点及对称轴;(3)若点Q是抛物线对称轴上的一动点,线段AQ+CQ是否存在最小值?若存在,求出点Q的坐标;若不存在,说明理由;(4)若点P是直线BC上方的一个动点,△PBC的面积是否存在最大值?若存在,求出点P的坐标及此时△PBC的面积;若不存在,说明理由.1.已知抛物线y=﹣x2+x﹣3与x轴交于A,B两点,2.与y轴交于点C.在直线CA上方的抛物线上是否存在3.一点D,使得△ACD的面积最大?若存在,求出点D4.的坐标;若不存在,请说明理由.解答:解:对于抛物线y=﹣x2+x﹣3,令y=0,得到﹣x2+x﹣3=0,解得:x=1或x=4,∴B(1,0),A(4,0),令x=0,得到y=﹣3,即C(0,﹣3),设直线AC解析式为y=kx+b,将A与C坐标代入得:,解得:k=,b=﹣3,∴直线AC解析式为y=x﹣3,设平行于直线AC,且与抛物线只有一个交点的直线方程为y=x+m,此时直线与抛物线交于点D,使得△ACD的面积最大,与二次函数解析式联立消去y得:﹣x2+x﹣3=x+m,整理得:3x2﹣12x+4m+12=0,∴△=144﹣12(4m+12)=0,解得:m=0,∴此时直线方程为y=x,点D坐标为(2,).2.(2008?宁波校级自主招生)已知y=ax2+bx+c(a≠0)图象与直线y=kx+4相交于A(1,m),B(4,8)两点,与x轴交于原点及点C.(1)求直线和抛物线解析式;(2)在x轴上方的抛物线上是否存在点D,使S△OCD=2S△OAB?如果存在,求出点D坐标,如果不存在,说明理由.解答:解:(1) 直线y=kx+4过A(1,m),B(4,8)两点,∴,解得,∴y=x+4,把O、A、B三点坐标代入抛物线解析式,得,,∴y=﹣x2+6x;(2)存在.设D点纵坐标为h(h>0),由O(0,0),A(1,5),B(4,8),可知S△OAB=6,∴S△OCD=2S△OAB=12,×6×h=12,解得h=4,由﹣x2+6x=4,得x=3±,∴D(3+,4)或(3﹣,4).3.(2014春?昌平区期末)已知直线y=x﹣3与x轴交于点A,与y轴交于点C,抛物线y=﹣x2+mx+n经过点A和点C.(1)求此抛物线的解析式;(2)在直线CA上方的抛物线上是否存在点D,使得△ACD的面积最大?若存在,求出点D的坐标;若不存在,说明理由.解答:解:(1)把x=0代入y=x﹣3得y=﹣3,则C点坐标为(0,﹣3),把y=0代入y=x﹣3得x﹣3=0,解得x=4,则A点坐标为(4,0),把A(4,0),C(0,﹣3)代入y=﹣x2+mx+n得,解得,所以二次函数解析式为y=﹣x2+x﹣3;(2)存在.过D点作直线AC的平行线y=kx+b,当直线y=kx+b与抛物线只有一个公共点时,点D到AC的距离最大,此时△ACD的面积最大, 直线AC的解析式为y=x﹣3,∴k=,即y=x+b,由直线y=x+b和抛物线y=﹣x2+x﹣3组成方程组得,消去y得到3x2﹣12x+4b+12=0,∴△=122﹣4×3×(4b+12)=0,解得b=0,∴3x2﹣12x+12=0,解得x1=x2=2,把x=2,b=0代入y=x+b得y=,∴D点坐标为(2,).4....

1、当您付费下载文档后,您只拥有了使用权限,并不意味着购买了版权,文档只能用于自身使用,不得用于其他商业用途(如 [转卖]进行直接盈利或[编辑后售卖]进行间接盈利)。
2、本站所有内容均由合作方或网友上传,本站不对文档的完整性、权威性及其观点立场正确性做任何保证或承诺!文档内容仅供研究参考,付费前请自行鉴别。
3、如文档内容存在违规,或者侵犯商业秘密、侵犯著作权等,请点击“违规举报”。

碎片内容

(完整版)二次函数中的存在性问题(答案)

您可能关注的文档

确认删除?
VIP
微信客服
  • 扫码咨询
会员Q群
  • 会员专属群点击这里加入QQ群
客服邮箱
回到顶部