电脑桌面
添加小米粒文库到电脑桌面
安装后可以在桌面快捷访问

工程数学形成性考核册答案 带题目VIP专享VIP免费

工程数学形成性考核册答案 带题目_第1页
1/15
工程数学形成性考核册答案 带题目_第2页
2/15
工程数学形成性考核册答案 带题目_第3页
3/15
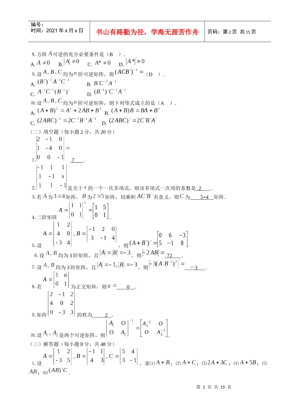
第1页共15页编号:时间:2021年x月x日书山有路勤为径,学海无涯苦作舟页码:第1页共15页【工程数学】形成性考核册答案工程数学作业(一)答案(满分100分)第2章矩阵(一)单项选择题(每小题2分,共20分)⒈设,则(D).A.4B.-4C.6D.-6⒉若,则(A).A.B.-1C.D.1⒊乘积矩阵中元素(C).A.1B.7C.10D.8⒋设均为阶可逆矩阵,则下列运算关系正确的是(B).A.B.C.D.⒌设均为阶方阵,且,则下列等式正确的是(D).A.B.C.D.⒍下列结论正确的是(A).A.若是正交矩阵,则也是正交矩阵B.若均为阶对称矩阵,则也是对称矩阵C.若均为阶非零矩阵,则也是非零矩阵D.若均为阶非零矩阵,则⒎矩阵的伴随矩阵为(C).A.B.C.D.第2页共15页第1页共15页编号:时间:2021年x月x日书山有路勤为径,学海无涯苦作舟页码:第2页共15页⒏方阵可逆的充分必要条件是(B).A.B.C.D.⒐设均为阶可逆矩阵,则(D).A.B.C.D.⒑设均为阶可逆矩阵,则下列等式成立的是(A).A.B.C.D.(二)填空题(每小题2分,共20分)⒈7.⒉是关于的一个一次多项式,则该多项式一次项的系数是2.⒊若为矩阵,为矩阵,切乘积有意义,则为5×4矩阵.⒋二阶矩阵[1501].⒌设,则[06−35−18]⒍设均为3阶矩阵,且,则72.⒎设均为3阶矩阵,且,则-3.⒏若为正交矩阵,则0.⒐矩阵的秩为2.⒑设是两个可逆矩阵,则[A1−1OOA2−1].(三)解答题(每小题8分,共48分)⒈设,求⑴;⑵;⑶;⑷;⑸;⑹.第3页共15页第2页共15页编号:时间:2021年x月x日书山有路勤为径,学海无涯苦作舟页码:第3页共15页答案:⒉设,求.解:⒊已知,求满足方程中的.解: ∴X=12(3A−B)=12[83−2−2527115]=[432−1−15217211252]⒋写出4阶行列式中元素的代数余子式,并求其值.答案:⒌用初等行变换求下列矩阵的逆矩阵:⑴;⑵;⑶.第4页共15页第3页共15页编号:时间:2021年x月x日书山有路勤为径,学海无涯苦作舟页码:第4页共15页解:(1)[A|I]=[12221−22−21|100010001]¿⃗−2r1+r2¿−2r1+r3→[1220−3−60−6−3|100−210−201]¿⃗23r2+r1¿−2r2+r3¿→[10−20−3−6009|−13230−2102−21]¿¿⃗−13r2¿−19r3→[10−2012001|−1323023−13029−2919]¿⃗2r3+r1¿−2r3+r2¿→[100010001|1929292919−2929−2919]¿¿¿¿∴A−1=[1929292919−2929−2919](2)A−1=[22−6−2617−17520−13−102−14−1−53](过程略)(3)A−1=[1000−11000−11000−11]⒍求矩阵的秩.解:∴R(A)=3(四)证明题(每小题4分,共12分)⒎对任意方阵,试证是对称矩阵.证明:(A+A')'=A'+(A')'=A'+A=A+A'∴是对称矩阵⒏若是阶方阵,且,试证或.证明: 是阶方阵,且∴|AA'|=|A||A'|=|A|2=|I|=1∴或⒐若是正交矩阵,试证也是正交矩阵.第5页共15页第4页共15页编号:时间:2021年x月x日书山有路勤为径,学海无涯苦作舟页码:第5页共15页证明: 是正交矩阵∴A−1=A'∴(A')−1=(A−1)−1=A=(A')'即是正交矩阵工程数学作业(第二次)(满分100分)第3章线性方程组(一)单项选择题(每小题2分,共16分)⒈用消元法得的解为(C).A.B.C.D.⒉线性方程组(B).A.有无穷多解B.有唯一解C.无解D.只有零解⒊向量组的秩为(A).A.3B.2C.4D.5⒋设向量组为,则(B)是极大无关组.A.B.C.D.⒌与分别代表一个线性方程组的系数矩阵和增广矩阵,若这个方程组无解,则(D).A.秩秩B.秩秩C.秩秩D.秩秩⒍若某个线性方程组相应的齐次线性方程组只有零解,则该线性方程组(A).A.可能无解B.有唯一解C.有无穷多解D.无解⒎以下结论正确的是(D).A.方程个数小于未知量个数的线性方程组一定有解B.方程个数等于未知量个数的线性方程组一定有唯一解C.方程个数大于未知量个数的线性方程组一定有无穷多解第6页共15页第5页共15页编号:时间:2021年x月x日书山有路勤为径,学海无涯苦作舟页码:第6页共15页D.齐次线性方程组一定有解⒏若向量组线性相关,则向量组内(A)可被该向量组内其余向量线性表出.A.至少有一个向量B.没有一个向量C.至多有一个向量D.任何一个向量9.设A,B为n阶矩阵,λ既是A又是B的特征值,x既是A又是B的属于λ的特征向量,则结论()成立.A.λ是AB...

1、当您付费下载文档后,您只拥有了使用权限,并不意味着购买了版权,文档只能用于自身使用,不得用于其他商业用途(如 [转卖]进行直接盈利或[编辑后售卖]进行间接盈利)。
2、本站所有内容均由合作方或网友上传,本站不对文档的完整性、权威性及其观点立场正确性做任何保证或承诺!文档内容仅供研究参考,付费前请自行鉴别。
3、如文档内容存在违规,或者侵犯商业秘密、侵犯著作权等,请点击“违规举报”。

碎片内容

工程数学形成性考核册答案 带题目

确认删除?
VIP
微信客服
  • 扫码咨询
会员Q群
  • 会员专属群点击这里加入QQ群
客服邮箱
回到顶部