电脑桌面
添加小米粒文库到电脑桌面
安装后可以在桌面快捷访问

一元一次不等式(组)及应用题精选拔高题VIP免费

一元一次不等式(组)及应用题精选拔高题_第1页
1/7
一元一次不等式(组)及应用题精选拔高题_第2页
2/7
一元一次不等式(组)及应用题精选拔高题_第3页
3/7
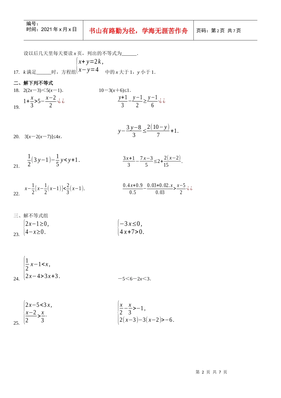
第1页共7页编号:时间:2021年x月x日书山有路勤为径,学海无涯苦作舟页码:第1页共7页不等式与不等式组一、选择题1.如果a、b表示两个负数,且a<b,则().(A)ab>1(B)ab<1(C)1a<1b(D)ab<12.a、b是有理数,下列各式中成立的是().(A)若a>b,则a2>b2(B)若a2>b2,则a>b(C)若a≠b,则|a|≠|b|(D)若|a|≠|b|,则a≠b3.|a|+a的值一定是().(A)大于零(B)小于零(C)不大于零(D)不小于零4.若由x<y可得到ax>ay,应满足的条件是().(A)a≥0(B)a≤0(C)a>0(D)a<05.若不等式(a+1)x>a+1的解集是x<1,则a必满足().(A)a<0(B)a>-1(C)a<-1(D)a<16.九年级(1)班的几个同学,毕业前合影留念,每人交0.70元.一张彩色底片0.68元,扩印一张相片0.50元,每人分一张.在收来的钱尽量用掉的前提下,这张相片上的同学最少有().(A)2人(B)3人(C)4人(D)5人7.某市出租车的收费标准是:起步价7元,超过3km时,每增加1km加收2.4元(不足1km按1km计).某人乘这种出租车从甲地到乙地共支付车费19元,设此人从甲地到乙地经过的路程是xkm,那么x的最大值是().(A)11(B)8(C)7(D)58.若不等式组{1k有解,则k的取值范围是().(A)k<2(B)k≥2(C)k<1(D)1≤k<29.不等式组{x+9<5x+1,x>m+1的解集是x>2,则m的取值范围是().(A)m≤2(B)m≥2(C)m≤1(D)m≥110.对于整数a,b,c,d,定义|abdc|=ac−bd,已知1<|1bd4|<3,则b+d的值为_________.11.如果a2x>a2y(a≠0).那么x______y.12.若x是非负数,则−1≤3−2x5的解集是______.13.已知(x-2)2+|2x-3y-a|=0,y是正数,则a的取值范围是______.14.6月1日起,某超市开始有偿提供可重复使用的三种环保购物袋,每只售价分别为1元、2元和3元,这三种环保购物袋每只最多分别能装大米3千克、5千克和8千克.6月7日,小星和爸爸在该超市选购了3只环保购物袋用来装刚买的20千克散装大米,他们选购的3只环保购物袋至少应付给超市______元.15.若m>5,试用m表示出不等式(5-m)x>1-m的解集______.16.乐天借到一本72页的图书,要在10天之内读完,开始两天每天只读5页,那么以后几天里每天至少要读多少页?第2页共7页第1页共7页编号:时间:2021年x月x日书山有路勤为径,学海无涯苦作舟页码:第2页共7页设以后几天里每天要读x页,列出的不等式为______.17.k满足______时,方程组{x+y=2k,x−y=4中的x大于1,y小于1.二、解下列不等式18.2(2x-3)<5(x-1).10-3(x+6)≤1.19.1+x3>5−x−22⋅¿¿y+13−y−12≥y−16⋅¿¿20.3[x-2(x-7)]≤4x.y−3y−83≤2(10−y)7+1.21.12(3y−1)−15yx−52⋅¿¿三、解不等式组23.{2x−1≥0,4−x≥0.{−3x≤0,4x+7>0.24.{12x−13x+3.-5<6-2x<3.25.{2x−5<3x,x−22>x3⋅{x2−x3>−1,2(x−3)−3(x−2)>−6.第3页共7页第2页共7页编号:时间:2021年x月x日书山有路勤为径,学海无涯苦作舟页码:第3页共7页26.{x2+4≤1,x−8>2(x+2).2x−1≤x−5≤4−32x.27.{3x−32−2x+13>x,12[x−2(x+3)]<1.{x−3>1−x,x−5>5−x2,x−4>x2⋅28.解不等式组{2+4x>3x−7,6x−3>5x−4,3x−7<2x−3.四、变式练习29.若m、n为有理数,解关于x的不等式(-m2-1)x>n.30..已知关于x,y的方程组{3x+2y=p+1,4x+3y=p−1的解满足x>y,求p的取值范围.31.已知方程组{2x+y=1+3m,①x+2y=1−m②的解满足x+y<0,求m的取值范围.第4页共7页第3页共7页编号:时间:2021年x月x日书山有路勤为径,学海无涯苦作舟页码:第4页共7页32.适当选择a的取值范围,使1.7<x<a的整数解:(1)x只有一个整数解;(2)x一个整数解也没有.33.当2(k−3)<10−k3时,求关于x的不等式k(x−5)4>x−k的解集.34.已知A=2x2+3x+2,B=2x2-4x-5,试比较A与B的大小.35.(类型相同)当k取何值时,方程组{3x−5y=k,2x+y=−5的解x,y都是负数.36.(类型相同)已知{x+2y=4k,2x+y=2k+1中的x,y满足0<y-x<1,求k的取值范围.37.已知a是自然数,关于x的不等式组{3x−4≥a,x−2>0的解集是x>2,求a的值.38.关于x的不等式组{x−a≥0,3−2x>−1的整数解共有5...

1、当您付费下载文档后,您只拥有了使用权限,并不意味着购买了版权,文档只能用于自身使用,不得用于其他商业用途(如 [转卖]进行直接盈利或[编辑后售卖]进行间接盈利)。
2、本站所有内容均由合作方或网友上传,本站不对文档的完整性、权威性及其观点立场正确性做任何保证或承诺!文档内容仅供研究参考,付费前请自行鉴别。
3、如文档内容存在违规,或者侵犯商业秘密、侵犯著作权等,请点击“违规举报”。

碎片内容

一元一次不等式(组)及应用题精选拔高题

中小学资料+ 关注
实名认证
内容提供者

精美课件,值得下载

相关文档

确认删除?
VIP
微信客服
  • 扫码咨询
会员Q群
  • 会员专属群点击这里加入QQ群
客服邮箱
回到顶部