电脑桌面
添加小米粒文库到电脑桌面
安装后可以在桌面快捷访问

世贸组织现代服务业分类VIP免费

世贸组织现代服务业分类_第1页
1/17
世贸组织现代服务业分类_第2页
2/17
世贸组织现代服务业分类_第3页
3/17
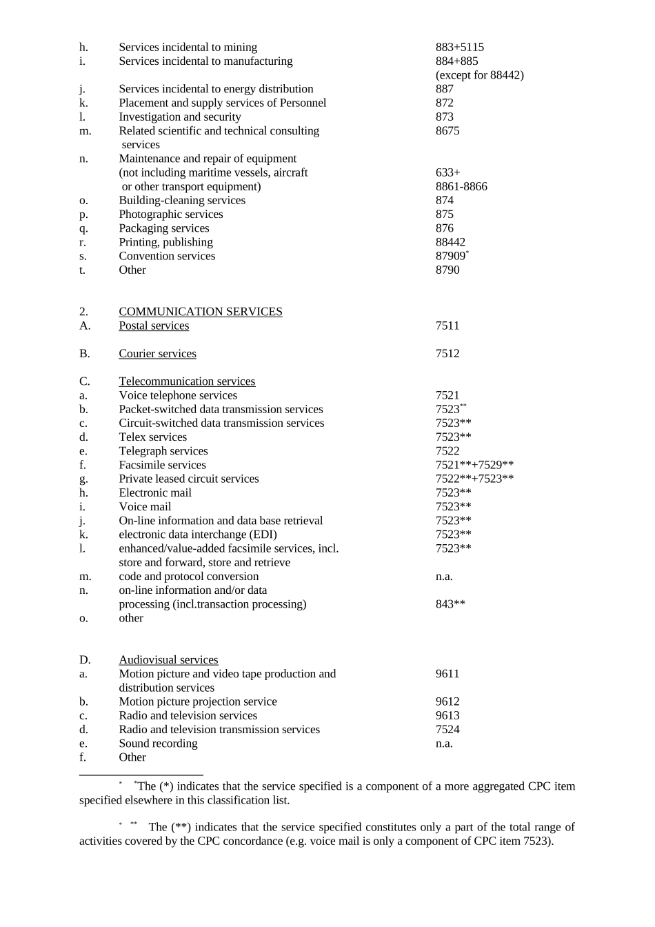
SERVICESSECTORALCLASSIFICATIONLISTNotebytheSecretariatThesecretariatindicatedinitsinformalnotecontainingthedraftclassificationlist(24May1991)thatitwouldpreparearevisedversionbasedoncommentsfromparticipants.Theattachedlistincorporates,totheextentpossible,suchcomments.Itcould,ofcourse,besubjecttofurthermodificationinthelightofdevelopmentsintheservicesnegotiationsandongoingworkelsewhere._______________SERVICESSECTORALCLASSIFICATIONLISTSECTORSANDSUB-SECTORSCORRESPONDINGCPC1.BUSINESSSERVICESSectionBA.ProfessionalServicesa.LegalServices861b.Accounting,auditingandbookeepingservices862c.TaxationServices863d.Architecturalservices8671e.Engineeringservices8672f.Integratedengineeringservices8673g.Urbanplanningandlandscape8674architecturalservicesh.Medicalanddentalservices9312i.Veterinaryservices932j.Servicesprovidedbymidwives,nurses,physiotherapistsandpara-medicalpersonnel93191k.OtherB.ComputerandRelatedServicesa.Consultancyservicesrelatedtothe841installationofcomputerhardwareb.Softwareimplementationservices842c.Dataprocessingservices843d.Databaseservices844e.Other845+849C.ResearchandDevelopmentServicesa.R&Dservicesonnaturalsciences851b.R&Dservicesonsocialsciencesandhumanities852c.InterdisciplinaryR&Dservices853D.RealEstateServicesa.Involvingownorleasedproperty821b.Onafeeorcontractbasis822E.Rental/LeasingServiceswithoutOperatorsa.Relatingtoships83103b.Relatingtoaircraft83104c.Relatingtoothertransportequipment83101+83102+83105d.Relatingtoothermachineryandequipment83106-83109e.Other832F.OtherBusinessServicesa.Advertisingservices871b.Marketresearchandpublicopinion864pollingservicesc.Managementconsultingservice865d.Servicesrelatedtoman.consulting866e.Technicaltestingandanalysisserv.8676f.Servicesincidentaltoagriculture,huntingand881forestryg.Servicesincidentaltofishing882h.Servicesincidentaltomining883+5115i.Servicesincidentaltomanufacturing884+885(exceptfor88442)j.Servicesincidentaltoenergydistribution887k.PlacementandsupplyservicesofPersonnel872l.Investigationandsecurity873m.Relatedscientificandtechnicalconsulting8675servicesn.Maintenanceandrepairofequipment(notincludingmaritimevessels,aircraft633+orothertransportequipment)8861-8866o.Building-cleaningservices874p.Photographicservices875q.Packagingservices876r.Printing,publishing88442s.Conventionservices87909*t.Other87902.COMMUNICATIONSERVICESA.Postalservices7511B.Courierservices7512C.Telecommunicationservicesa.Voicetelephoneservices7521b.Packet-switcheddatatransmissionservices7523**c.Circuit-switcheddatatransmissionservices7523**d.Telexservices7523**e.Telegraphservices7522f.Facsimileservices7521**+7529**g.Privateleasedcircuitservices7522**+7523**h.Electronicmail7523**i.Voicemail7523**j.On-lineinformationanddatabaseretrieval7523**k.electronicdatainterchange(EDI)7523**l.enhanced/value-addedfacsimileservices,incl.7523**storeandforward,storeandretrievem.codeandprotocolconversionn.a.n.on-lineinformationand/ordataprocessing(incl.transactionprocessing)843**o.otherD.Audiovisualservicesa.Motionpictureandvideotapeproductionand9611distributionservicesb.Motionpictureprojectionservice9612c.Radioandtelevisionservices9613d.Radioandtelevisiontransmissionservices7524e.Soundrecordingn.a.f.Other**The(*)indicatesthattheservicespecifiedisacomponentofamoreaggregatedCPCitemspecifiedelsewhereinthisclassificationlist.***The(**)indicatesthattheservicespecifie...

1、当您付费下载文档后,您只拥有了使用权限,并不意味着购买了版权,文档只能用于自身使用,不得用于其他商业用途(如 [转卖]进行直接盈利或[编辑后售卖]进行间接盈利)。
2、本站所有内容均由合作方或网友上传,本站不对文档的完整性、权威性及其观点立场正确性做任何保证或承诺!文档内容仅供研究参考,付费前请自行鉴别。
3、如文档内容存在违规,或者侵犯商业秘密、侵犯著作权等,请点击“违规举报”。

碎片内容

世贸组织现代服务业分类

文泉书屋+ 关注
实名认证
内容提供者

热爱教学事业,对互联网知识分享很感兴趣

确认删除?
VIP
微信客服
  • 扫码咨询
会员Q群
  • 会员专属群点击这里加入QQ群
客服邮箱
回到顶部