电脑桌面
添加小米粒文库到电脑桌面
安装后可以在桌面快捷访问

(福建专用)高考数学一轮复习 课时规范练26 平面向量的数量积与平面向量的应用 理 新人教A-新人教A高三数学试题VIP免费

(福建专用)高考数学一轮复习 课时规范练26 平面向量的数量积与平面向量的应用 理 新人教A-新人教A高三数学试题_第1页
1/6
(福建专用)高考数学一轮复习 课时规范练26 平面向量的数量积与平面向量的应用 理 新人教A-新人教A高三数学试题_第2页
2/6
(福建专用)高考数学一轮复习 课时规范练26 平面向量的数量积与平面向量的应用 理 新人教A-新人教A高三数学试题_第3页
3/6
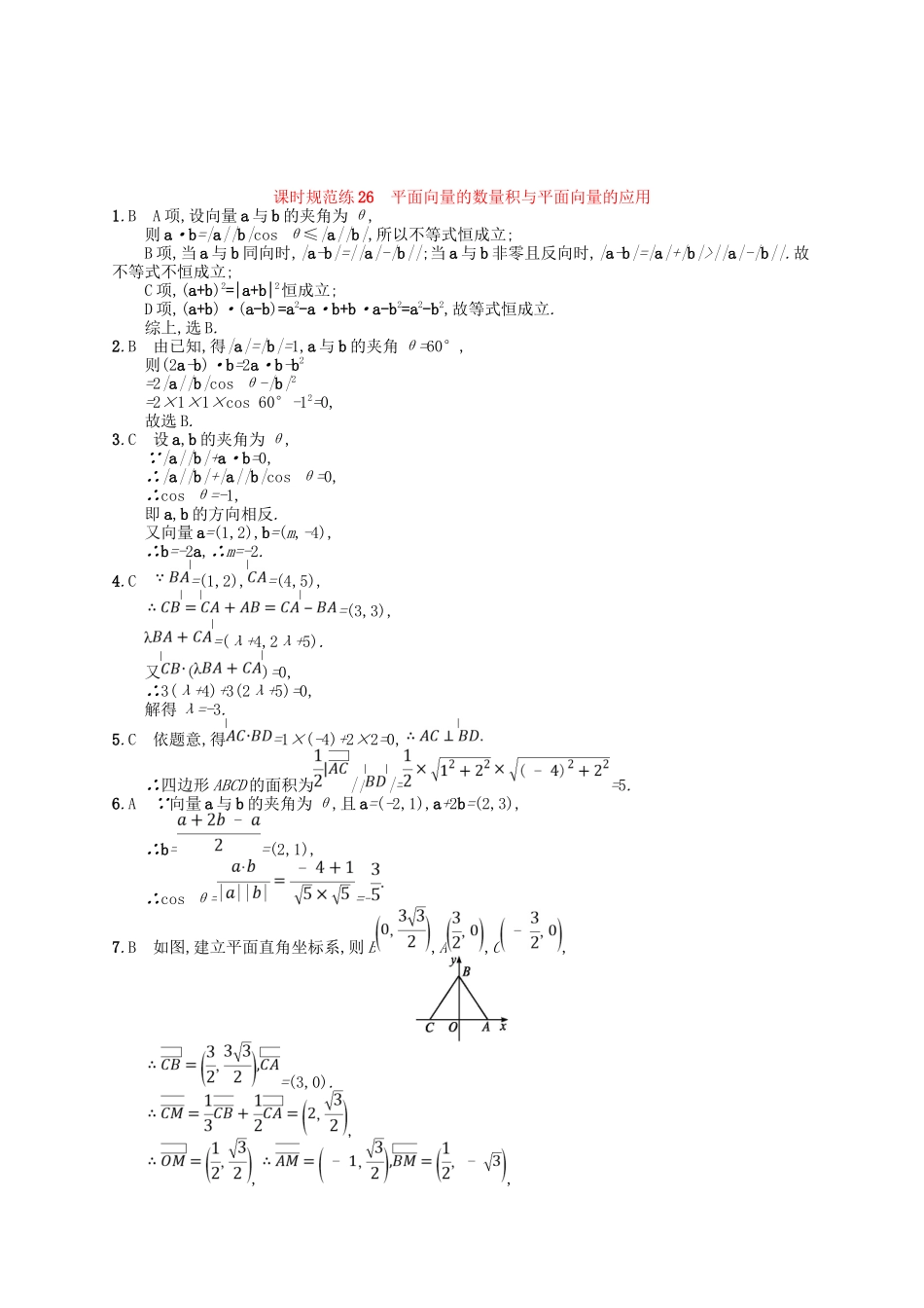
课时规范练26平面向量的数量积与平面向量的应用一、基础巩固组1.对任意平面向量a,b,下列关系式不恒成立的是()A.|a·b|≤|a||b|B.|a-b|≤||a|-|b||C.(a+b)2=|a+b|2D.(a+b)·(a-b)=a2-b22.已知a,b为单位向量,其夹角为60°,则(2a-b)·b=()A.-1B.0C.1D.23.(2017河南新乡二模,理3)已知向量a=(1,2),b=(m,-4),若|a||b|+a·b=0,则实数m等于()A.-4B.4C.-2D.24.(2017河南濮阳一模)若向量=(1,2),=(4,5),且·(λ)=0,则实数λ的值为()A.3B.-C.-3D.-5.在四边形ABCD中,=(1,2),=(-4,2),则该四边形的面积为()A.B.2C.5D.106.(2017河北唐山期末,理3)设向量a与b的夹角为θ,且a=(-2,1),a+2b=(2,3),则cosθ=()A.-B.C.D.-7.(2017河南商丘二模,理8)若等边三角形ABC的边长为3,平面内一点M满足,则的值为()A.-B.-2C.D.28.(2017北京,理6)设m,n为非零向量,则“存在负数λ,使得m=λn”是“m·n<0”的()A.充分而不必要条件B.必要而不充分条件C.充分必要条件D.既不充分也不必要条件9.若向量a=(x,x+1),b=(1,2),且a⊥b,则x=.10.(2017安徽江淮十校三模,理17)已知向量m=(sinx,-1),n=,函数f(x)=(m+n)·m.(1)求f(x)的最小正周期T;(2)已知a,b,c分别为△ABC内角A,B,C的对边,A为锐角,a=2,c=4,且f(A)恰好是f(x)在上的最大值,求A和b.导学号〚21500728〛二、综合提升组11.(2017安徽蚌埠一模)已知非零向量m,n满足3|m|=2|n|,其夹角为60°,若n⊥(tm+n),则实数t的值为()A.3B.-3C.2D.-212.(2017河南焦作二模,理10)已知P为矩形ABCD所在平面内一点,AB=4,AD=3,PA=,PC=2,则=()A.-5B.-5或0C.0D.513.(2017河北武邑中学一模)在Rt△ABC中,CA=CB=3,M,N是斜边AB上的两个动点,且MN=,则的取值范围为()A.B.[2,4]C.[3,6]D.[4,6]14.(2017江苏南京一模,9)已知△ABC是直角边长为4的等腰直角三角形,D是斜边BC的中点,+m,向量的终点M在△ACD的内部(不含边界),则的取值范围是.15.(2017江苏,12)如图,在同一个平面内,向量的模分别为1,1,的夹角为α,且tanα=7,的夹角为45°.若=m+n(m,n∈R),则m+n=.导学号〚21500729〛三、创新应用组16.(2017全国Ⅱ,理12)已知△ABC是边长为2的等边三角形,P为平面ABC内一点,则·()的最小值是()A.-2B.-C.-D.-117.(2017辽宁沈阳二模,理11)已知向量=(3,1),=(-1,3),=m-n(m>0,n>0),若m+n∈[1,2],则||的取值范围是()A.[,2]B.[,2)C.()D.[,2]课时规范练26平面向量的数量积与平面向量的应用1.BA项,设向量a与b的夹角为θ,则a·b=|a||b|cosθ≤|a||b|,所以不等式恒成立;B项,当a与b同向时,|a-b|=||a|-|b||;当a与b非零且反向时,|a-b|=|a|+|b|>||a|-|b||.故不等式不恒成立;C项,(a+b)2=|a+b|2恒成立;D项,(a+b)·(a-b)=a2-a·b+b·a-b2=a2-b2,故等式恒成立.综上,选B.2.B由已知,得|a|=|b|=1,a与b的夹角θ=60°,则(2a-b)·b=2a·b-b2=2|a||b|cosθ-|b|2=2×1×1×cos60°-12=0,故选B.3.C设a,b的夹角为θ, |a||b|+a·b=0,∴|a||b|+|a||b|cosθ=0,∴cosθ=-1,即a,b的方向相反.又向量a=(1,2),b=(m,-4),∴b=-2a,∴m=-2.4.C=(1,2),=(4,5),=(3,3),=(λ+4,2λ+5).又()=0,∴3(λ+4)+3(2λ+5)=0,解得λ=-3.5.C依题意,得=1×(-4)+2×2=0,∴四边形ABCD的面积为|||==5.6.A 向量a与b的夹角为θ,且a=(-2,1),a+2b=(2,3),∴b==(2,1),∴cosθ==-7.B如图,建立平面直角坐标系,则B,A,C,=(3,0).,,,故=-=-2.8.Am,n为非零向量,若存在λ<0,使m=λn,即两向量反向,夹角是180°,则m·n=|m||n|cos180°=-|m||n|<0.反过来,若m·n<0,则两向量的夹角为(90°,180°],并不一定反向,即不一定存在负数λ,使得m=λn,所以“存在负数λ,使得m=λn”是“m·n<0”的充分而不必要条件.故选A.9.- a⊥b,∴a·b=x+2(x+1)=0,解得x=-10.解(1) 向量m=(sinx,-1),n=,∴f(x)=(m+n)·m=sin2x+1+sinxcosx++1+sin2x+sin2x-cos2x+2=sin+2,∴函数f(x)的最小正周期T==π.(2)由(1)知f(x)=sin+2. x,∴-2x-,∴当2x-时,f(x)取得最大值3,此时x=,∴由f(A)=3,得A=,由余弦定理,得a2=b2+c2-2bccosA,∴12=b2+16-4b,即(b-2)2=0,解得b=2.11.B n⊥(tm+n),∴n·(tm+n)=tm·n+n2=t|m||n|+|n|2=t|n|2+|n|2=0,解得t=-3.故选B.12.C P为矩形ABCD所在平面内一点,AB=4,AD=3,∴AC=5. PA=,PC=2,∴PA2+PC2=AC2,,∴点P在矩形AB...

1、当您付费下载文档后,您只拥有了使用权限,并不意味着购买了版权,文档只能用于自身使用,不得用于其他商业用途(如 [转卖]进行直接盈利或[编辑后售卖]进行间接盈利)。
2、本站所有内容均由合作方或网友上传,本站不对文档的完整性、权威性及其观点立场正确性做任何保证或承诺!文档内容仅供研究参考,付费前请自行鉴别。
3、如文档内容存在违规,或者侵犯商业秘密、侵犯著作权等,请点击“违规举报”。

碎片内容

(福建专用)高考数学一轮复习 课时规范练26 平面向量的数量积与平面向量的应用 理 新人教A-新人教A高三数学试题

文章天下+ 关注
实名认证
内容提供者

各种文档应有尽有

相关文档

确认删除?
VIP
微信客服
  • 扫码咨询
会员Q群
  • 会员专属群点击这里加入QQ群
客服邮箱
回到顶部