电脑桌面
添加小米粒文库到电脑桌面
安装后可以在桌面快捷访问

(福建专版)高考数学一轮复习 课时规范练20 两角和与差的正弦、余弦与正切公式 文-人教版高三数学试题VIP免费

(福建专版)高考数学一轮复习 课时规范练20 两角和与差的正弦、余弦与正切公式 文-人教版高三数学试题_第1页
1/7
(福建专版)高考数学一轮复习 课时规范练20 两角和与差的正弦、余弦与正切公式 文-人教版高三数学试题_第2页
2/7
(福建专版)高考数学一轮复习 课时规范练20 两角和与差的正弦、余弦与正切公式 文-人教版高三数学试题_第3页
3/7
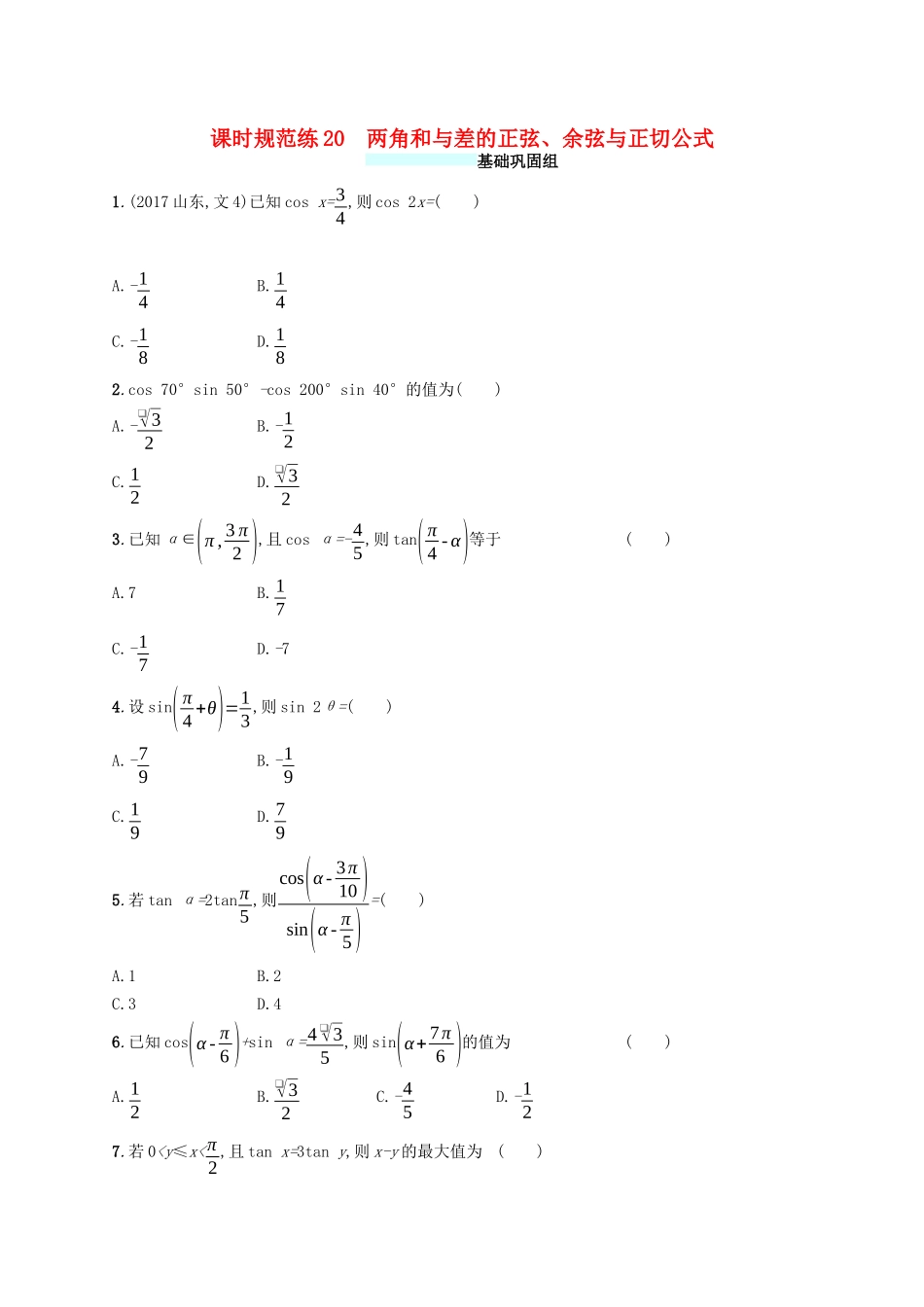
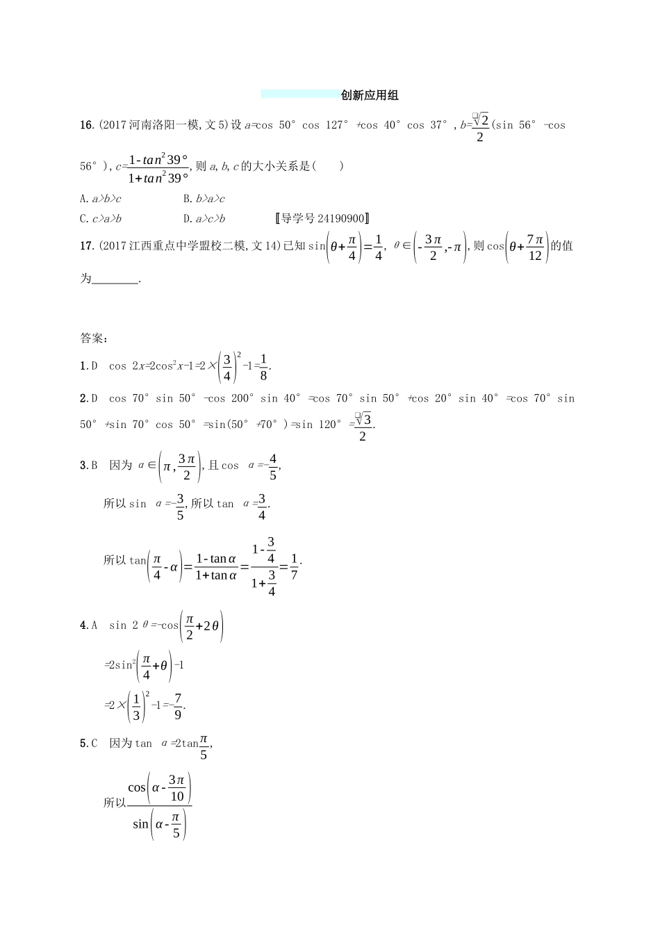
课时规范练20两角和与差的正弦、余弦与正切公式基础巩固组1.(2017山东,文4)已知cosx=34,则cos2x=()A.-14B.14C.-18D.182.cos70°sin50°-cos200°sin40°的值为()A.-❑√32B.-12C.12D.❑√323.已知α∈(π,3π2),且cosα=-45,则tan(π4-α)等于()A.7B.17C.-17D.-74.设sin(π4+θ)=13,则sin2θ=()A.-79B.-19C.19D.795.若tanα=2tanπ5,则cos(α-3π10)sin(α-π5)=()A.1B.2C.3D.46.已知cos(α-π6)+sinα=4❑√35,则sin(α+7π6)的值为()A.12B.❑√32C.-45D.-127.若0b>cB.b>a>cC.c>a>bD.a>c>b导学号〚24190900〛17.(2017江西重点中学盟校二模,文14)已知sin(θ+π4)=14,θ∈(-3π2,-π),则cos(θ+7π12)的值为.答案:1.Dcos2x=2cos2x-1=2×(34)2-1=18.2.Dcos70°sin50°-cos200°sin40°=cos70°sin50°+cos20°sin40°=cos70°sin50°+sin70°cos50°=sin(50°+70°)=sin120°=❑√32.3.B因为α∈(π,3π2),且cosα=-45,所以sinα=-35,所以tanα=34.所以tan(π4-α)=1-tanα1+tanα=1-341+34=17.4.Asin2θ=-cos(π2+2θ)=2sin2(π4+θ)-1=2×(13)2-1=-79.5.C因为tanα=2tanπ5,所以cos(α-3π10)sin(α-π5)=sin(α-3π10+π2)sin(α-π5)=sin(α+π5)sin(α-π5)=sinαcosπ5+cosαsinπ5sinαcosπ5-cosαsinπ5=tanα+tanπ5tanα-tanπ5=3tanπ5tanπ5=3.6.C∵cos(α-π6)+sinα=❑√32cosα+32sinα=4❑√35,∴12cosα+❑√32sinα=45.∴sin(α+7π6)=-sin(α+π6)=-(❑√32sinα+12cosα)=-45.7.B∵00,cosα<0.∵3cos2α=sin(π4-α),∴3(cos2α-sin2α)=❑√22(cosα-sinα),∴cosα+sinα=❑√26,∴两边平方,可得1+2sinαcosα=118,∴sin2α=2sinαcosα=-1718.14.B∵3sin2θ=4tanθ,∴6sinθcosθsin2θ+cos2θ=6tanθ1+tan2θ=4tanθ.∵θ≠kπ(k∈Z),tanθ≠0,∴31+tan2θ=2,解得tan2θ=12,∴cos2θ=cos2θ-sin2θ=cos2θ-sin2θcos2θ+sin2θ=1-tan2θ1+tan2θ=1-121+12=13.故选B.15.2令f(x)=4·1+cosx2·sinx-2sinx-|ln(x+1)|=sin2x-|ln(x+1)|=0,即sin2x=|ln(x+1)|,在同一平面直角坐标系中作出y=sin2x与y=|ln(x+1)|的图象.由图象知共有2个交点,故f(x)的零点个数为2.16.Da=sin40°cos127°+cos40°sin127°=sin(40°+127°)=sin167°=sin13°,b=❑√22(sin56°-cos56°)=❑√22sin56°-❑√22cos56°=sin(56°-45°)=sin11°,c=1-tan239°1+tan239°=cos239°-sin239°cos239°cos239°+sin239°cos239°=cos239°-sin239°=cos78°=sin12°,∵sin13°>sin12°>sin11°,∴a>c>b.故选D.17.-❑√15+❑√38由θ∈(-3π2,-π)得θ+π4∈(-5π4,-3π4),又sin(θ+π4)=14,所以cos(θ+π4)=-❑√154.cos(θ+7π12)=cos(θ+π4+π3)=cos(θ+π4)cosπ3-sin(θ+π4)sinπ3=-❑√154×12−14×❑√32=-❑√15+❑√38.

1、当您付费下载文档后,您只拥有了使用权限,并不意味着购买了版权,文档只能用于自身使用,不得用于其他商业用途(如 [转卖]进行直接盈利或[编辑后售卖]进行间接盈利)。
2、本站所有内容均由合作方或网友上传,本站不对文档的完整性、权威性及其观点立场正确性做任何保证或承诺!文档内容仅供研究参考,付费前请自行鉴别。
3、如文档内容存在违规,或者侵犯商业秘密、侵犯著作权等,请点击“违规举报”。

碎片内容

(福建专版)高考数学一轮复习 课时规范练20 两角和与差的正弦、余弦与正切公式 文-人教版高三数学试题

您可能关注的文档

文章天下+ 关注
实名认证
内容提供者

各种文档应有尽有

确认删除?
VIP
微信客服
  • 扫码咨询
会员Q群
  • 会员专属群点击这里加入QQ群
客服邮箱
回到顶部