电脑桌面
添加小米粒文库到电脑桌面
安装后可以在桌面快捷访问

数列求和专题训练方法归纳VIP免费

数列求和专题训练方法归纳_第1页
1/9
数列求和专题训练方法归纳_第2页
2/9
数列求和专题训练方法归纳_第3页
3/9
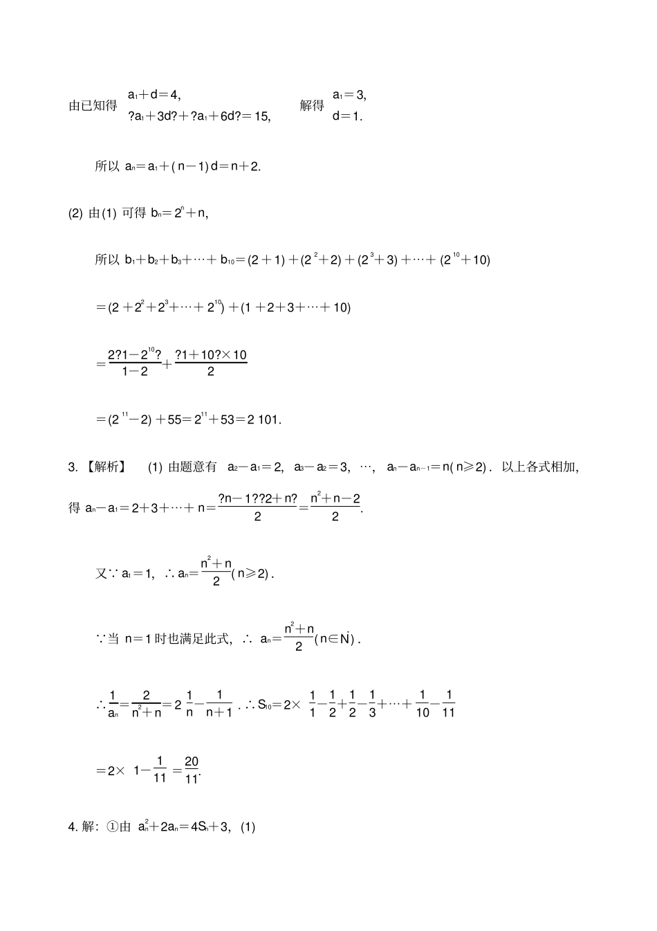
数列求和专题方法归纳方法1:分组转化法求和1.已知{an}的前n项是3+2-1,6+4-1,9+8-1,12+16-1,⋯,3n+2n-1,则Sn=________.2.等差数列{an}中,a2=4,a4+a7=15.(1)求数列{an}的通项公式;(2)设bn=2an-2+n,求b1+b2+b3+⋯+b10的值.方法2裂项相消法求和3.设数列{}an满足a1=1,且an+1-an=n+1(n∈N*),则数列1an前10项的和为______.4.Sn为数列{an}的前n项和.已知an>0,a2n+2an=4Sn+3.①求{an}的通项公式;②设bn=1anan+1,求数列{bn}的前n项和.5.若已知数列的前四项是112+2,122+4,132+6,142+8,则数列的前n项和为________.6.等差数列{an}的前n项和为Sn,已知a1=10,a2为整数,且Sn≤S4.(1)求{an}的通项公式;(2)设bn=1anan+1,求数列{bn}的前n项和Tn.7.已知数列{an}各项均为正数,且a1=1,an+1an+an+1-an=0(n∈N*).(1)设bn=1an,求证:数列{bn}是等差数列;(2)求数列ann+1的前n项和Sn.方法3:错位相减法求和8.已知{an}是等差数列,其前n项和为Sn,{bn}是等比数列(bn>0),且a1=b1=2,a3+b3=16,S4+b3=34.(1)求数列{an}与{bn}的通项公式;(2)记Tn为数列{anbn}的前n项和,求Tn.9.设等差数列{an}的公差为d,点(an,bn)在函数f(x)=2x的图象上(n∈N*).(1)若a1=-2,点(a8,4b7)在函数f(x)的图象上,求数列{an}的前n项和Sn;10.已知{}na为等差数列,前n项和为()nSnN,{}nb是首项为2的等比数列,且公比大于0,2312bb,3412baa,11411Sb.(1)求{}na和{}nb的通项公式;(2)求数列221{}nnab项和()nN.的前n4.数列与不等式的交汇问题11.设各项为正数的数列{an}的前n项和为Sn,且Sn满足S2n-(n2+n-3)Sn-3(n2+n)=0,n∈N*.(1)求a1的值;(2)求数列{an}的通项公式;(3)证明对一切正整数n,有11221111(1)(1)(1)3nnaaaaaa。12.已知等比数列{an}是递增数列,且a2a5=32,a3+a4=12,数列{bn}满足b1=1,且bn+1=2bn+2an(n∈N*).(1)证明:数列bnan是等差数列;(2)若对任意n∈N*,不等式(n+2)bn+1≥λbn总成立,求实数λ的最大值.数列求和专题方法归纳参考答案1.【解析】由题意知an=3n+2n-1,∴Sn=a1+a2+⋯+an=3×1+21-1+3×2+22-1+⋯+3n+2n-1=3×(1+2+3+⋯+n)+21+22+⋯+2n-n=3×?1+n?×n2+2?1-2n?1-2-n=3n2+n2+2n+1-2.2.解:(1)设等差数列{an}的公差为d,由已知得a1+d=4,?a1+3d?+?a1+6d?=15,解得a1=3,d=1.所以an=a1+(n-1)d=n+2.(2)由(1)可得bn=2n+n,所以b1+b2+b3+⋯+b10=(2+1)+(22+2)+(23+3)+⋯+(210+10)=(2+22+23+⋯+210)+(1+2+3+⋯+10)=2?1-210?1-2+?1+10?×102=(211-2)+55=211+53=2101.3.【解析】(1)由题意有a2-a1=2,a3-a2=3,⋯,an-an-1=n(n≥2).以上各式相加,得an-a1=2+3+⋯+n=?n-1??2+n?2=n2+n-22.又 a1=1,∴an=n2+n2(n≥2). 当n=1时也满足此式,∴an=n2+n2(n∈N*).∴1an=2n2+n=21n-1n+1.∴S10=2×11-12+12-13+⋯+110-111=2×1-111=2011.4.解:①由a2n+2an=4Sn+3,(1)可知a2n+1+2an+1=4Sn+1+3.(2)由(2)-(1),得a2n+1-a2n+2(an+1-an)=4an+1,即2(an+1+an)=a2n+1-a2n=(an+1+an)(an+1-an).由an>0,得an+1-an=2.又a21+2a1=4a1+3,解得a1=-1(舍去)或a1=3.所以{an}是首项为3,公差为2的等差数列,通项公式为an=2n+1.②由an=2n+1可知bn=1anan+1=1?2n+1??2n+3?=1212n+1-12n+3.设数列{bn}的前n项和为Tn,则Tn=b1+b2+⋯+bn=1213-15+15-17+⋯+12n+1-12n+3=n3?2n+3?.5.【解析】由前四项知数列{an}的通项公式为an=1n2+2n,由1n2+2n=121n-1n+2知,Sn=a1+a2+a3+⋯+an-1+an=121-13+12-14+13-15+⋯+1n-2-1n1n-1-1n+1+1n-1n+2=121+12-1n+1-1n+2=34-2n+32?n+1??n+2?.6.【解】(1)由a1=10,a2为整数,知等差数列{an}的公差d为整数.又Sn≤S4,故a4≥0,a5≤0,于是10+3d≥0,10+4d≤0.解得-103≤d≤-52.因此d=-3.数列{an}的通项公式为an=13-3n.(2)bn=1?13-3n?...

1、当您付费下载文档后,您只拥有了使用权限,并不意味着购买了版权,文档只能用于自身使用,不得用于其他商业用途(如 [转卖]进行直接盈利或[编辑后售卖]进行间接盈利)。
2、本站所有内容均由合作方或网友上传,本站不对文档的完整性、权威性及其观点立场正确性做任何保证或承诺!文档内容仅供研究参考,付费前请自行鉴别。
3、如文档内容存在违规,或者侵犯商业秘密、侵犯著作权等,请点击“违规举报”。

碎片内容

数列求和专题训练方法归纳

确认删除?
VIP
微信客服
  • 扫码咨询
会员Q群
  • 会员专属群点击这里加入QQ群
客服邮箱
回到顶部