电脑桌面
添加小米粒文库到电脑桌面
安装后可以在桌面快捷访问

九年级英语:Chapter 5 Surprises at the studio Period 5教案(深圳牛津版)VIP免费

九年级英语:Chapter 5 Surprises at the studio Period 5教案(深圳牛津版)_第1页
1/5
九年级英语:Chapter 5 Surprises at the studio Period 5教案(深圳牛津版)_第2页
2/5
九年级英语:Chapter 5 Surprises at the studio Period 5教案(深圳牛津版)_第3页
3/5
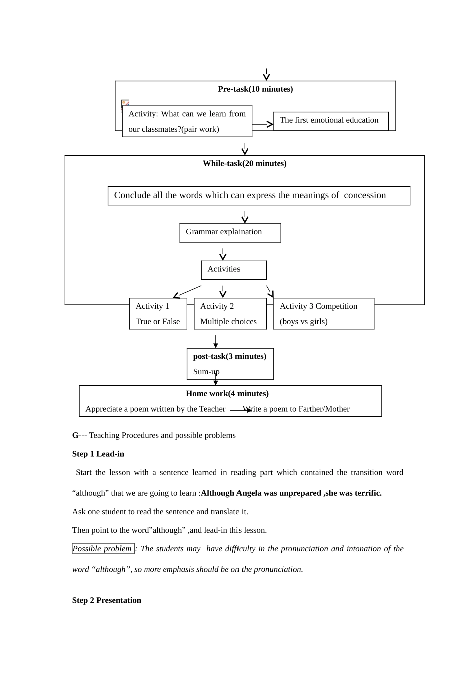
Chapter5SurprisesatthestudioTheFifthPeriodTeacher:LiuXingSchool:XinziSchoolA---DescriptionofthematerialandstudentsThematerialisfromChapter5LanguagePart,OxfordEnglish9(ShenzhenVersion).ThislessonisaboutAdverbialclausesofconcessionwithalthoughandthough.ThebasicaimsforstudentsaccordingtotheTeacher’sBookistolearntouseconnectives“although”and“though”tolinkcontrastingideas.Astomyunderstanding,reading,listening,speaking,writingarefourintegralpartsinEnglishlearning.Soineverylesson,Ihopetotrainallthefourskillsofmystudents.Thislessionisnoexception.Thereare25students(12girls,13boys)inmyclass,betweentheagesof15-17.WehaveanEnglishclasseveryday.MostofthestudentsarelackofinterestinEnglishfortheirweakfoundationinEnglish.Theydidn’thaveasystematicfloorplaninEnglish,theyareoutofcouragetomoveonandtowintheupcomingentranceexaminationforseniorhighschool.Therefore,inthislesson,Iplantoemphasizemoreontheemotionaleducation.IhopeIcanshedsomelightonthem,tellingthemtheyarethebest,everythingispossibleifyoupossessawinningheart.B---Objectives1,Knowledgeobjects:1)learntouseconnectives“although”and“though”tolinkcontrastingideas.2)learntodistinguishtheusagesamongbut,although,though,however.Grasptheskilltosolvetheproblemsonthetestpaper.2,Abilityobjects:1)makeupsentencesandshortstoriesbasedonthegrammarinthislesson.2)useconnectivestoexpresstransitionofmeaning.(although,though)3)trytowriteoutacompositionwiththeirownknowledge.3,Emotionalobjects:1,learntoappreciatethegoodpointsonothersandtheirown.2,buildupself-confidenceandlearnhowtocooperatewithotherswell.3,learntousethelearnedknowledgetoexpressthemeaninganddothings:forexample,writeapoemonwishesforparents.C---TeachingAnalysis1,Keypoints:TolearntheAdverbialclausesofconcessionwithalthoughandthough.Tolearntomakesentenceswithconnectivestoexpresstransitionofmeaning.TograsptheskilltodotheMultiplechoicesandParapharesonadverbialclausesofconcession.2,DifficultpointsTodistinguishtheusagesamongbut,although,though,however.Tospeakoutandshowtheirownopinion.ToexpressthemeaningswiththeirlimitedknowledgeD---TeachingAidsMultimediaequipment,onecopyofpapersheetE----Teaching&learningmethods:TBL(Task-basedLearning)CL(CooperativeLearning)F---FlowChartforTeaching:Warming-up&Lead-in(3minutes)AnalyzethetargetsentenceinthereadingpartofthisChapterG---TeachingProceduresandpossibleproblemsStep1Lead-inStartthelessonwithasentencelearnedinreadingpartwhichcontainedthetransitionword“although”thatwearegoingtolearn:AlthoughAngelawasunprepared,shewasterrific.Askonestudenttoreadthesentenceandtranslateit.Thenpointtotheword”although”,andlead-inthislesson.Possibleproblem:Thestudentsmayhavedifficultyinthepronunciationandintonationoftheword“although”,somoreemphasisshouldbeonthepronunciation.Step2PresentationPre-task(10minutes)Activity:Whatcanwelearnfromourclassmates?(pairwork)ThefirstemotionaleducationWhile-task(20minutes)ConcludeallthewordswhichcanexpressthemeaningsofconcessionGrammarexplainationActivity1TrueorFalseActivitiesActivity3Competition(boysvsgirls)post-task(3minutes)Sum-upActivity2MultiplechoicesHomework(4minutes)AppreciateapoemwrittenbytheTeacherWriteapoemtoFarther/MotherActivitiesandclassorganization:Activity:Whatcanwelearnfromothers?Organization:1,Demonstratethephrasesandpicturesofthestudents,requirethemtomakesentenceswit...

1、当您付费下载文档后,您只拥有了使用权限,并不意味着购买了版权,文档只能用于自身使用,不得用于其他商业用途(如 [转卖]进行直接盈利或[编辑后售卖]进行间接盈利)。
2、本站所有内容均由合作方或网友上传,本站不对文档的完整性、权威性及其观点立场正确性做任何保证或承诺!文档内容仅供研究参考,付费前请自行鉴别。
3、如文档内容存在违规,或者侵犯商业秘密、侵犯著作权等,请点击“违规举报”。

碎片内容

九年级英语:Chapter 5 Surprises at the studio Period 5教案(深圳牛津版)

您可能关注的文档

慧源书店+ 关注
实名认证
内容提供者

从事历史教学,热爱教育,高度负责。

相关文档

确认删除?
VIP
微信客服
  • 扫码咨询
会员Q群
  • 会员专属群点击这里加入QQ群
客服邮箱
回到顶部