电脑桌面
添加小米粒文库到电脑桌面
安装后可以在桌面快捷访问

第六章习题解答(DOC文档下载)-仲恺农业工程学院VIP免费

第六章习题解答(DOC文档下载)-仲恺农业工程学院_第1页
1/31
第六章习题解答(DOC文档下载)-仲恺农业工程学院_第2页
2/31
第六章习题解答(DOC文档下载)-仲恺农业工程学院_第3页
3/31
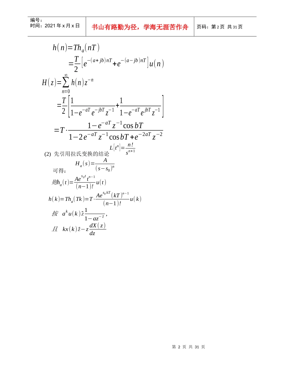
第1页共31页编号:时间:2021年x月x日书山有路勤为径,学海无涯苦作舟页码:第1页共31页1.用冲激响应不变法将以下Ha(s)变换为H(z),抽样周期为T(1)Ha(s)=s+a(s+a)2+b2(2)Ha(s)=A(s−s0)n,n为任意正整数。分析:①冲激响应不变法满足h(n)=ha(t)|t=nT=ha(nT),T为抽样间隔。这种变换法必须Ha(s)先用部分分式展开。②第(2)小题要复习拉普拉斯变换公式L[tn]=n!Sn+1,ha(t)=Aes0ttn−1(n−1)!u(t)⇔Ha(s)=A(S−S0)n,可求出h(k)=Tha(t)|t=kT=Tha(kT),又kx(k)⇔−zdX(z)dz,则可递推求解。解:(1)Ha(s)=s+a(s+a)2+b2=12[1s+a+jb+1s+a−jb]ha(t)=12[e−(a+jb)t+e−(a−jb)t]u(t)由冲激响应不变法可得:第2页共31页第1页共31页编号:时间:2021年x月x日书山有路勤为径,学海无涯苦作舟页码:第2页共31页h(n)=Tha(nT)=T2[e−(a+jb)nT+e−(a−jb)nT]u(n)H(z)=∑n=0∞h(n)z−n=T2[11−e−aTe−jbTz−1+11−e−aTejbTz−1]=T⋅1−e−aTz−1cosbT1−2e−aTz−1cosbT+e−2aTz−2(2)先引用拉氏变换的结论L[tn]=n!sn+1可得:Ha(s)=A(s−s0)nh则a(t)=Aes0ttn−1(n−1)!u(t)h(k)=Tha(Tk)=T⋅Aes0kT(kT)n−1(n−1)!u(k)按aku(k)⃗Z11−az−1,且kx(k)⃗Z−zdX(z)dz第3页共31页第2页共31页编号:时间:2021年x月x日书山有路勤为径,学海无涯苦作舟页码:第3页共31页可得H(z)=∑k=0∞h(k)z−k=TATn−1(n−1)!∑k=1∞kn−1(z−1es0T)k=ATn(n−1)!(−zddz)n−1(11−es0Tz−1)可以递推求得:H(z)=¿{AT1−es0Tz−1,n=1¿¿¿¿¿¿2.已知模拟二阶巴特沃思低通滤波器的归一化系统函数为:Ha'(s)=11+1.4142136s+s2而3dB截止频率为50Hz的模拟滤波器,需将归一化的Ha'(s)中的s变量用s2π×50来代替Ha(s)=Ha'(s100π)=9.8696044×104s2+444.28830s+9.8696044×104设系统抽样频率为fs=500Hz,要求从这一低通模拟滤波器设计一个低通数字滤波器,采用阶跃响应不变法。分析:阶跃响应不变法,使离散系统的阶跃响应等于连续系统阶跃响应的等间隔抽样,g(n)=ga(t)|t=nT=ga(nT),由模拟系统函数Ha(s)变换成数字系统函数的关系式为:H(z)=z−1zZ{[L−1[Ha(s)s]]t=nT},还要用到一些变换关系式。解:根据书上公式可得模拟滤波器阶跃响应的拉普拉斯变换为:)(1)(sHssGaa)108696044.928830.444(108696044.9424sss22)14415.222()14415.222(14415.222)14415.222(1sss第4页共31页第3页共31页编号:时间:2021年x月x日书山有路勤为径,学海无涯苦作舟页码:第4页共31页由于故={1−e−222.14415t[sin(222.14415t)+¿¿cos(222.14415t)]}u(t)¿则={1−e−222.14415nT[sin(222.14415nT)+¿¿cos(222.14415nT)]}u(n)¿利用以下z变换关系:且代入a=222.14415可得阶跃响应的z变换=0.14534481z2+0.10784999z(z−1)(z2−1.1580459z+0.41124070)由此可得数字低通滤波器的系统函数为:H(z)=z−1zG(z)20200)()()(sinastuteLat2020)()()(cosasastuteLatstuL1)()()(1sGLtgaa)()(nTgnga)()(zXnxZ)()(zeXnxeZaTnaT1cos2sin)()(sin2aTzzaTznunaTZ1cos2cos)()(cos22aTzzaTzznunaTZ1)(zznuZsfTs310250011)()(ngZzG41124070.01580459.130339071.0122zzzzzz第5页共31页第4页共31页编号:时间:2021年x月x日书山有路勤为径,学海无涯苦作舟页码:第5页共31页=0.14534481z−1+0.10784999z−21−1.1580459z−1+0.41124070z−23.设有一模拟滤波器Ha(s)=1s2+s+1抽样周期T=2,试用双线性变换法将它转变为数字系统函数H(z)。分析:双线性变换法将模拟系统函数的S平面和离散的系统函数的Z平面之间是一一对应的关系,消除了频谱的混叠现象,变换关系为s=c1−z−11+z−1。解:由变换公式s=c⋅1−z−11+z−1及c=2T可得:T=2时:s=1−z−11+z−1∴H(z)=Ha(s)|s=1−z−11+z−1=1(1−z−11+z−1)2+(1−z−11+z−1)+1=(1+z−1)23+z−24.要求从二阶巴特沃思模拟滤波器用双线性变换导出一低通数字滤波器,已知3dB截止频率为100Hz,系统抽样频率为1kHz。分析:双线性变换关系同上题,先要用归一化的巴特沃思滤...

1、当您付费下载文档后,您只拥有了使用权限,并不意味着购买了版权,文档只能用于自身使用,不得用于其他商业用途(如 [转卖]进行直接盈利或[编辑后售卖]进行间接盈利)。
2、本站所有内容均由合作方或网友上传,本站不对文档的完整性、权威性及其观点立场正确性做任何保证或承诺!文档内容仅供研究参考,付费前请自行鉴别。
3、如文档内容存在违规,或者侵犯商业秘密、侵犯著作权等,请点击“违规举报”。

碎片内容

第六章习题解答(DOC文档下载)-仲恺农业工程学院

您可能关注的文档

确认删除?
VIP
微信客服
  • 扫码咨询
会员Q群
  • 会员专属群点击这里加入QQ群
客服邮箱
回到顶部