电脑桌面
添加小米粒文库到电脑桌面
安装后可以在桌面快捷访问

汽车理论课后习题答案(余志生版)VIP免费

汽车理论课后习题答案(余志生版)_第1页
1/13
汽车理论课后习题答案(余志生版)_第2页
2/13
汽车理论课后习题答案(余志生版)_第3页
3/13
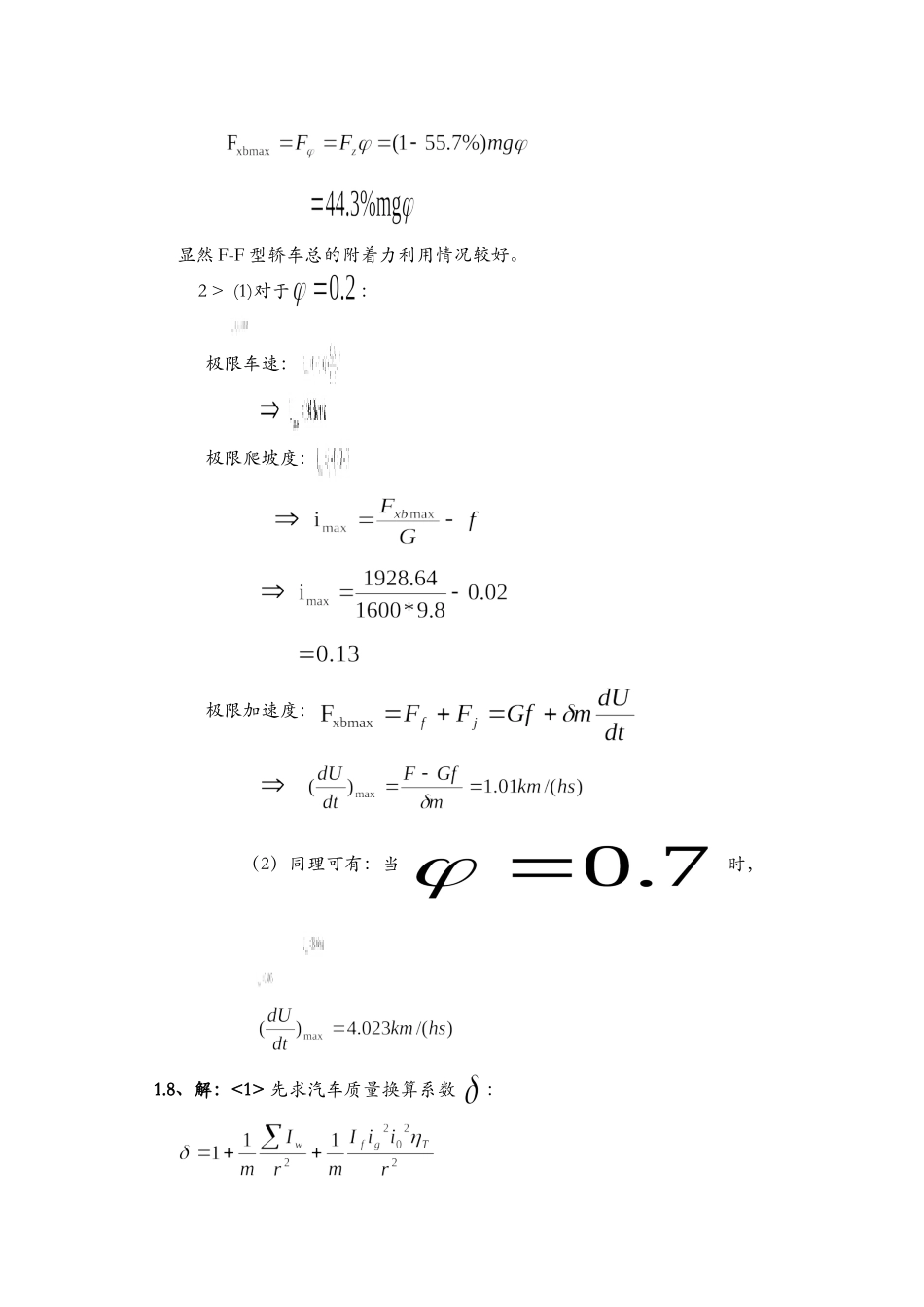
D第一章1.1、试说明轮胎滚动阻力的定义、产生机理和作用形式?答:1)定义:汽车在水平道路上等速行驶时受到的道路在行驶方向上的分力称为滚动阻力。2)产生机理:由于轮胎内部摩擦产生弹性轮胎在硬支撑路面上行驶时加载变形曲线和卸载变形曲线不重合会有能量损失,即弹性物质的迟滞损失。这种迟滞损失表现为一种阻力偶。当车轮不滚动时,地面对车轮的法向反作用力的分布是前后对称的;当车轮滚动时,由于弹性迟滞现象,处于压缩过程的前部点的地面法向反作用力就会大于处于压缩过程的后部点的地面法向反作用力,这样,地面法向反作用力的分布前后不对称,而使他们的合力Fa相对于法线前移一个距离a,它随弹性迟滞损失的增大而变大。即滚动时有滚动阻力偶矩阻碍车轮滚动。3)作用形式:滚动阻力(f为滚动阻力系数)1.2、滚动阻力系数与哪些因素有关?提示:滚动阻力系数与路面种类、行驶车速以及轮胎的构造、驱动力、转向、气压等有关。1.4、空车、满载时汽车动力性有无变化?为什么?答:汽车的动力性指汽车在良好路面上直线行驶时,由纵向外力决定的所能达到的平均行驶速度。空载时动力性好,因为空载时G减小,Ua相应增大,a也增大。汽车的动力性有三个指标:1)最高车速2)加速时间3)最大爬坡度且这三个指标均于汽车是空载、满载时有关。1.5、如何选择汽车发动机功率?答:1.常先从保证汽车预期的最高车速来初步选择发动机应有的功率。〔从动力性角度出发〕这些动力性指标:发动机的最大功率应满足上式的计算结果,但也不宜过大,否则会因发动机负荷率偏低影响汽车的燃油经济性。2.根据汽车的比功率来选择。比功率是单位汽车总质量具有的发动机功率。1.6、超车时该不该换入低一档的排档?答:当总的传动比较大时,发动机后备功率大,加速容易,更易于达到较高车速。1.7、答:1>对于F-F型轿车:最大驱动力等于前轮附着力对于F-R型轿车:最大驱动力等于后轮附着力wftePPP13maxmax7614036001aDateuACuGfP显然F-F型轿车总的附着力利用情况较好。2>(1)对于:极限车速:极限爬坡度:极限加速度:(2)同理可有:当时,1.8、解:<1>先求汽车质量换算系数:代入数据有:=1.4168若地面不发生打滑,此时,地面最大驱动力由于不记滚动阻力与空气阻力,即、这时汽车行驶方程式变为当代入有:再由将代入上试有此时:将出现打滑现象,所以:在加速过程中发动机扭矩不能否充分发挥。<2>调整:要使发动机扭矩能否充分发挥,则:应使:其中:不变,则由公式:得出:b=1704.6mm前轴负荷率为:1.9、答:1>由汽车行驶方程式:jitFFFdtdumGiriiTtgtq0低速滑行时,,此时:由低速滑行曲线拟台直线公式可得:2>直接档,<以四档为例>先求汽车质量换算系数:代入数据得:再有动力因素公式:其中:所以:而:3>由可得,最大爬坡度为:第二章2.1、“车开得慢,油门踩得小,就—定省油”,或者“只要发动机省油,汽车就一定省油”,这两种说法对不对?答:均不正确。①由燃油消耗率曲线知:汽车在中等转速、较大档位上才是最省油的。此时,后备功率较小,发动机负荷率较高燃油消耗率低,百公里燃油消耗量较小。②发动机负荷率高只是汽车省油的一个方面,另一方面汽车列车的质量利用系数(即装载质量与整备质量之比)大小也关系汽车是否省油。,2.4、如何汽车设计方面和使用方面来提高燃油经济性?1:、设计方面:①缩减轿车总尺寸和减轻质量。大型轿车费油的原因是大幅度地增加了滚动阻力、空气阻力、坡度阻力和加速阻力。为了保证高动力性而装用的大排量发动机,行驶中负荷率低也是原因之一。②汽车外形与轮胎。降低0wF0jFftFF值和采用子午线轮胎,可显著提高燃油经济性。(3)发动机的热损失与机械损失占燃油化学能的65%左右,显然,降低发动机的损失可以有效提高燃油经济性。(4)当传动系的档位数增加后,增加了选用合适档位使发动机处于经济工作状况的机会。2:使用方面(1)当汽车处于中高车速时燃油消耗量最低(2)在一定的道路上行驶时,在发动机输出功率相同的情况下,高档比抵挡更省油(3)挂车的使用。挂车虽然增加了汽车的总质量,但是以100t*km计的油耗却...

1、当您付费下载文档后,您只拥有了使用权限,并不意味着购买了版权,文档只能用于自身使用,不得用于其他商业用途(如 [转卖]进行直接盈利或[编辑后售卖]进行间接盈利)。
2、本站所有内容均由合作方或网友上传,本站不对文档的完整性、权威性及其观点立场正确性做任何保证或承诺!文档内容仅供研究参考,付费前请自行鉴别。
3、如文档内容存在违规,或者侵犯商业秘密、侵犯著作权等,请点击“违规举报”。

碎片内容

汽车理论课后习题答案(余志生版)

您可能关注的文档

确认删除?
VIP
微信客服
  • 扫码咨询
会员Q群
  • 会员专属群点击这里加入QQ群
客服邮箱
回到顶部