电脑桌面
添加小米粒文库到电脑桌面
安装后可以在桌面快捷访问

SPC统计制程品管VIP免费

SPC统计制程品管_第1页
1/45
SPC统计制程品管_第2页
2/45
SPC统计制程品管_第3页
3/45
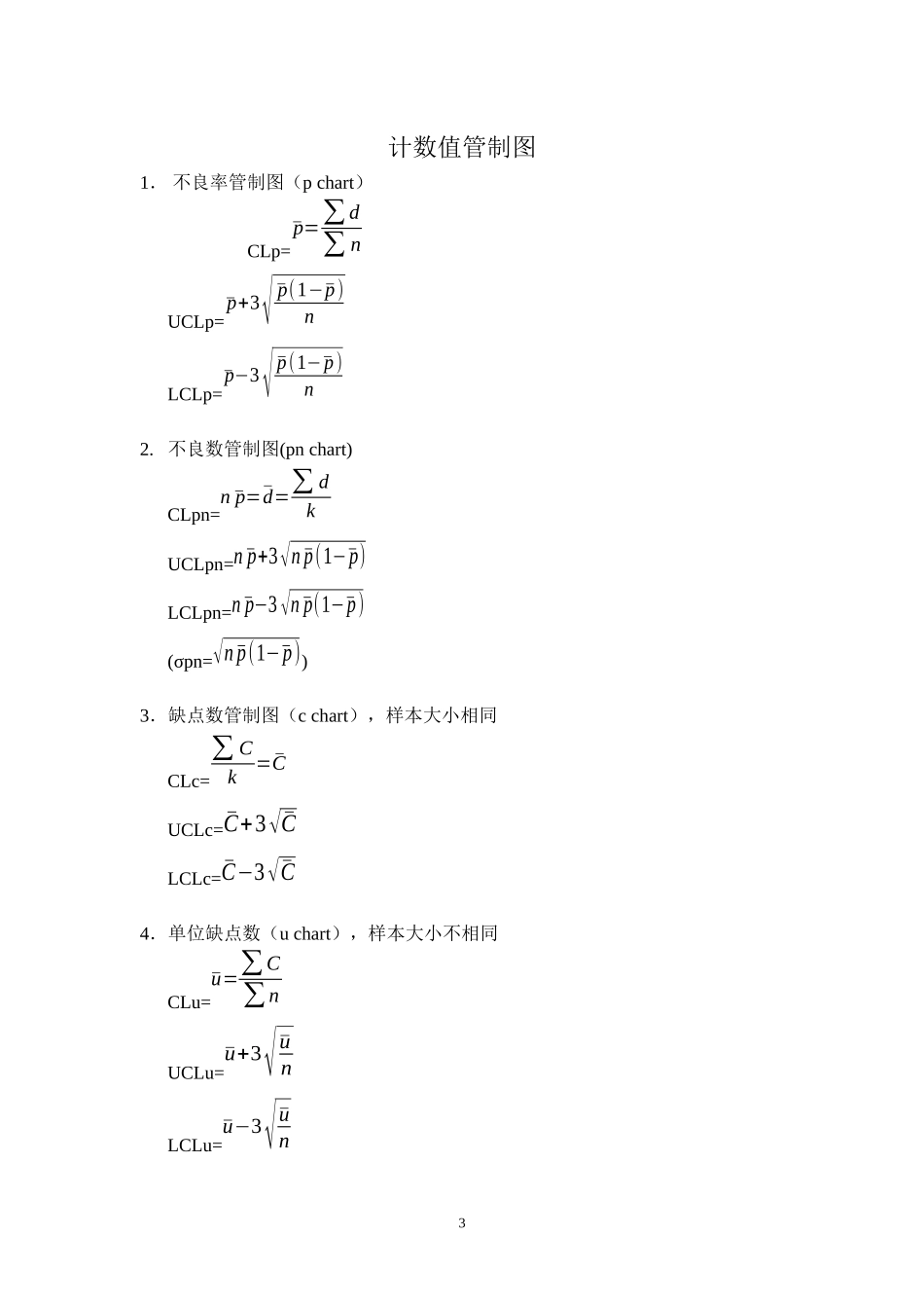
量测系统(量具之变异在可允许之范围内)品质之决定进料检验完工检验制程能力分析双边规格单边规格(品质特性质)计量值从←X,σ←S计数值P←PCaCpCpkP(不良率)量测系统品质之决定制程管制制程能力分析品质特性质计量值从-X-R,X-6,X-R,X-Rm计数值-Pm,P,C,U,D新速管制图雅式管制图CaCpCpkP(不良率)不同单位之品质比较,使用Cv(变异系数)=S/X(或同一单位,但不同品质特性质)STATISTICALPROCESSCONTROL(SPC)(统计制程管制)一、管制图之选用1以管制图进行制程能力分析一组数据之变化情形,除了可以用图形法来表示外,数量化之描述亦以提供有用之情报。数据之量化表示有很多种,常用的有平均数(mean)、中位数(median)、众数(mode)、变异数(variance)、标准差(standarddeviation)。1.平均数假设X1,X2,…,Xn为样本中之观测值,样本数据之集中趋势可由样本平均数来衡量,样本平均数定义为¯X=X1+X2+¿⋅¿+Xnn=∑i=1nXin2.变异数变异数是用来衡量数据之散布情形。样本变异数S2为S2=∑i=1n(Xi−¯X)2n−1=∑i−1nXi2−(∑i=1nXi)2nn−12计数值管制图1.不良率管制图(pchart)CLp=¯p=∑d∑nUCLp=¯p+3√¯p(1−¯p)nLCLp=¯p−3√¯p(1−¯p)n2.不良数管制图(pnchart)CLpn=n¯p=¯d=∑dkUCLpn=n¯p+3√n¯p(1−¯p)LCLpn=n¯p−3√n¯p(1−¯p)(σpn=√n¯p(1−¯p))3.缺点数管制图(cchart),样本大小相同CLc=∑Ck=¯CUCLc=¯C+3√¯CLCLc=¯C−3√¯C4.单位缺点数(uchart),样本大小不相同CLu=¯u=∑C∑nUCLu=¯u+3√¯unLCLu=¯u−3√¯un3计量值管制图¯X−R管制图管制图类别群体之μ及σ未知时群体之μ及σ已知时平均值管制图CLx=XUCLX=X+A2¯RLCLX=X−A2SCLX=μUCLX=μ+AσLCLX=μ−Aσ全距管制图CLR=¯RUCLR=D4¯RLCLR=D3¯RCLR=d2σUCLR=D2σLCLR=D1σ¯X-S管制界限公式图别群体情况未知群体情况已知平均值管制图CLX=¯XUCLx=X+A3¯SLCLX=¯X−A3¯SCLX=μUCLX=μ+AσLCLX=μ-Aσ标准差管制图CLs=¯SUCLs=B4¯SLCLs=B3¯SCLS=C2σUCLS=B2σLCLS=B1σ~X−R管制图图别群体情况未知群体情况已知中位值管制图CL~X=∑~Xk=~XUCL~X=~X+m3A2¯RLCL~X=~X−m3A2¯RCLX=μUCLx=~X+3m3σ√nLCL¯x=~X−3m3σ√n4全距管制图CLn=∑Rk=¯RUCLR=D4¯RLCLn=D3¯RCLR=d2σUCLR=D2σLCLR=D1σX-Rm管制图X管制图¯Rm管制图CLx=¯XCLnm=¯RmUCLx=¯X+3d2¯RmUCLnm=D4¯RmLCLx=¯X−3d2¯RmLCLnm=D3¯Rm机遇原因之变异(commoncause)非机遇原因之变异(specialcause)1.大量之微小原因所引起。2.不管发生何种之机遇原因,其个别之变异极为微小。3.几个较为代表性之机遇原因如下:(1)原料之微小变异。(2)机遇之微小振动。1.一个或少数几个较大原因所引起。2.任何一个非机遇原因,都可能发生大之变异。3.几个较为代表性之非机遇原因如下:(1)原料群体之不良。5(3)机器测定时不十分精确之作法。4.实际上要除去制程上之机遇变异原因,是件非常不经济之处置。(2)不完全之机遇调整。(3)新手之作业员。4.非机遇原因之变异不但可以找出其原因,并且除去这些原因之处置,在经济观点上讲常是正确者。6管制图之选定资料性质?资料是不良数或缺点数?样本大小n≥2?中心线CL之性质?n是否一定?单位大小是否一定?n是否较大?X―σ图X―R图X―Rm图―R图pn图p图C图u图计量值计数值n≥2n=1不良数缺点数一定不一定一定不一定Xn=2~50

1、当您付费下载文档后,您只拥有了使用权限,并不意味着购买了版权,文档只能用于自身使用,不得用于其他商业用途(如 [转卖]进行直接盈利或[编辑后售卖]进行间接盈利)。
2、本站所有内容均由合作方或网友上传,本站不对文档的完整性、权威性及其观点立场正确性做任何保证或承诺!文档内容仅供研究参考,付费前请自行鉴别。
3、如文档内容存在违规,或者侵犯商业秘密、侵犯著作权等,请点击“违规举报”。

碎片内容

SPC统计制程品管

精华资料店+ 关注
实名认证
内容提供者

大量教育教学资料

确认删除?
微信客服
  • 扫码咨询
会员Q群
  • 会员专属群点击这里加入QQ群