电脑桌面
添加小米粒文库到电脑桌面
安装后可以在桌面快捷访问

生物药剂学试验6药物组织分布试验VIP专享VIP免费

生物药剂学试验6药物组织分布试验_第1页
1/3
生物药剂学试验6药物组织分布试验_第2页
2/3
生物药剂学试验6药物组织分布试验_第3页
3/3
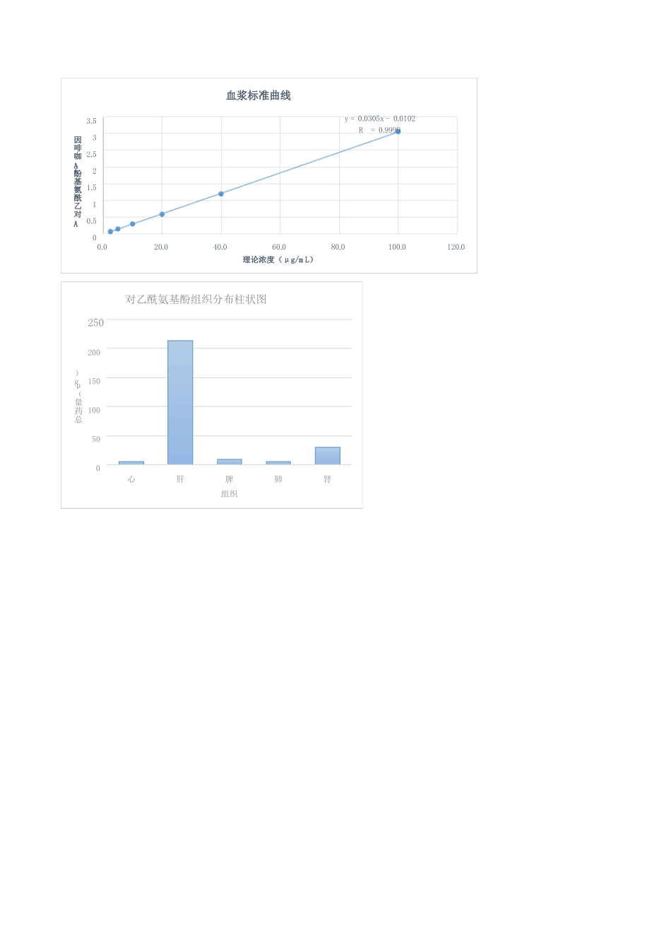
【思考题】1.试述影响药物组织分布的因素?(1)血液循环血液循环对分布的影响主要取决于组织的血流速率。血流量大,血液循环好的器官和组织,药物的转运速度和转运量相应较大。反之,药物的转运速度和转运量相应较小。(2)血管通透性毛细血管通透性取决于管壁的类脂质屏障和管壁微孔。一般高脂溶性药物比极性大的药物容易通过被动扩散方式透过毛细血管壁,小分子药物也比分子量大的药物易于进行膜转运。而药物如以易化扩散或主动转运进入细胞,则与细胞表面存在的转运体蛋白的数量和转运能力相关。(3)血浆蛋白结合率药物与血浆蛋白结合后很难通过血管壁,因此蛋白结合型药物通常没有药理活性。相反非结合的游离型药物易于透过细胞膜,与药物的代谢、排泄以及药效密切相关,可能影响药理效应,决定药效的强度与持续时间,具有重要的临床意义。如果多个药物竞争结合同一位点,可能产生药物间的相互作用。(4)药物的理化性质大多数药物以被动扩散的方式通过细胞膜微孔或膜的类脂质双分子层透过细胞膜。药物跨膜转运时,分子量越小越易转运,透过速度也快。脂溶性高的药物或分子量小的水溶性药物易于进入细胞内,而脂溶性差的大分子或离子则不易转运,或通过特殊转运方式进行。除了药物的脂溶性、分子量,解离度、异构体以及与蛋白质结合能力等理化性质外,采用现代制剂技术制备的微粒给药系统,由于改变了药物的表面性质也会明显地影响药物的体内分布。(5)药物与组织亲和力在体内与药物结合的物质,除血浆蛋白外,其他组织细胞内存在的蛋白、脂肪、DNA、酶以及黏多糖类等高分子物质,亦能与药物发生非特异性结合。在大多数情况下,药物的组织结合起着药物的贮存作用,假如贮存部位也是药理作用的部位,就可能延长作用时间。(6)药物相互作用药物相互作用主要对蛋白结合率高的药物有影响。对于结合率不高的药物,轻度置换使游离药物浓度暂时升高,药理作用短暂增强。而对于结合率高的药物,与另一种药物竞争结合蛋白位点,使游离型药物大量增加,引起该药的表观分布容积、半衰期、肾清除率、受体结合量等一系列改变,最终导致药效的改变和不良反应的产生。2.基于对乙酰氨基酚的组织分布特征,讨论可能影响其药效的因素?对乙酰氨基酚口服吸收迅速、完全,吸收后在体液中分布均匀,口服后0.5~2h血药浓度达峰值,作用维持3~4h,约有25%~50%与血浆蛋白结合,小量时(血药浓度小于60μg/ml)与蛋白结合不明显;大量或中毒量与蛋白结合率较高,可达43%。对乙酰氨基酚90%~95%在肝脏代谢,约60%与葡萄糖醛酸结合,其余与硫酸及半胱氨酸结合。中间代谢产物对肝脏有毒性作用。t1/2为1~3h,肾功能不全时半衰期不受影响,但肝功能减退时可延长1~2倍,老年人和新生儿也有所延长,而小儿则有所缩短。对乙酰氨基酚主要以葡萄糖醛酸结合物的形式从肾脏排泄,24h内约有3%以原形随尿排出。(1)药物因素:①药物的剂型、剂量和给药途径。吸收速度:静脉注射>吸入>肌肉注射>皮下注射>口服>直肠>贴皮。②联合用药及药物相互作用:药动学方面的作用机制:妨碍药物吸收(胃肠道pH改变、形成络合物、影响胃排空和肠蠕动)、竞争与血浆蛋白结合、影响药物代谢(加速药物代谢、减慢药物代谢)、影响药物排泄;药效学方面的作用机制:协同作用、拮抗作用。(2)机体因素:①性别、年龄。②个体差异和遗传因素:不同患者对对乙酰氨基酚的敏感性和体内代谢存在差异。③功能和病理状态:肝肾功能损害时分别影响在肝转化及自肾排泄药物的清除率。【讨论】1.生物样品预处理的目的?①使药物从缀合物及结合物中释放出来,以测定药物的总浓度。②生物样品介质组成复杂,干扰多,而药物组分是微量的,必须先经过预处理,使纯化,富集。③蛋白质会沉积在色谱柱上发生堵塞,严重影响分离效果,因此为了防止分析仪器的污染、劣化,提高测定灵敏度、准确度、精密度和选择性,必须进行除蛋白等前处理。常用的预处理方法有有机破坏法、盐析、加酸等。2.大鼠心脏取血注意事项。大鼠心脏取血要从触摸到心跳明显处进针,其难点是大鼠心脏小、心搏快,进针准确部位及深浅不易掌握。将大鼠麻醉后仰位固定于固定板上,施术者持7号针头注...

1、当您付费下载文档后,您只拥有了使用权限,并不意味着购买了版权,文档只能用于自身使用,不得用于其他商业用途(如 [转卖]进行直接盈利或[编辑后售卖]进行间接盈利)。
2、本站所有内容均由合作方或网友上传,本站不对文档的完整性、权威性及其观点立场正确性做任何保证或承诺!文档内容仅供研究参考,付费前请自行鉴别。
3、如文档内容存在违规,或者侵犯商业秘密、侵犯著作权等,请点击“违规举报”。

碎片内容

生物药剂学试验6药物组织分布试验

爱的疯狂+ 关注
实名认证
内容提供者

该用户很懒,什么也没介绍

确认删除?
VIP
微信客服
  • 扫码咨询
会员Q群
  • 会员专属群点击这里加入QQ群
客服邮箱
回到顶部