电脑桌面
添加小米粒文库到电脑桌面
安装后可以在桌面快捷访问

高三数学高考复习:圆锥曲线高考常见题型与分析VIP免费

高三数学高考复习:圆锥曲线高考常见题型与分析_第1页
1/4
高三数学高考复习:圆锥曲线高考常见题型与分析_第2页
2/4
高三数学高考复习:圆锥曲线高考常见题型与分析_第3页
3/4
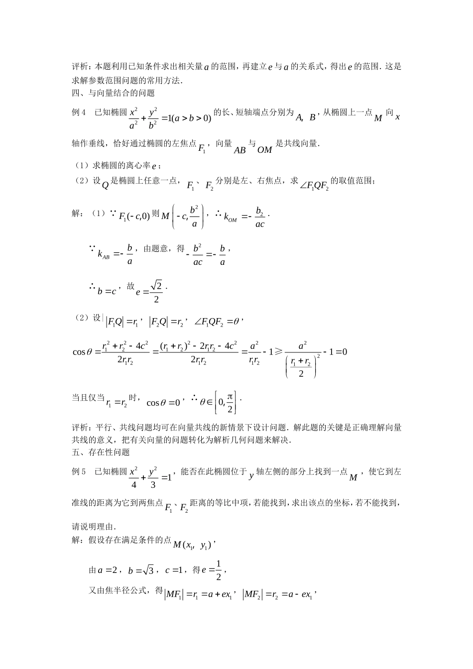
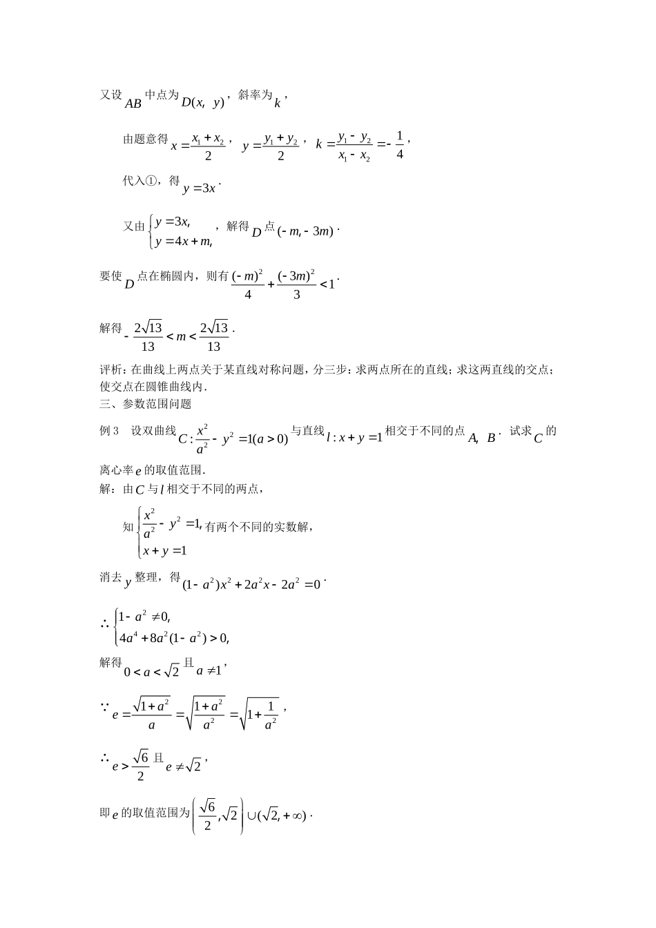
圆锥曲线高考常见题型与分析有关圆锥曲线的高考命题一般紧扣课本,突出重点,全面考查.既有对基础知识的考查,又有与其他知识的综合考查,通过知识的重组与链接,使知识形成网络,下面例谈圆锥曲线高考题常见类型.一、轨迹问题例1椭圆方程为2214yx,过点(01)M,的直线l交椭圆于点ABO,,是坐标原点,点P满足1()2OPOAOB�,当l绕点M旋转时,求动点P的轨迹方程.解:设()Pxy,,11()Axy,,22()Bxy,,由题意,得122xxx,122yyy,21211yyyxxx.又∵AB,在椭圆上,代入椭圆方程并相减,得121212121()()()()04xxxxyyyy.当12xx时,有121212121()04yyxxyyxx.即112204yxyx,整理,得2240xyy;①当12xx时,点AB,的坐标分别为(02),,(02),,这时点P的坐标为(00),,也满足①.故点P的轨迹方程为:22121111616yx.评析:本题主要考查椭圆的方程和性质等基础知识及轨迹的求法与应用和综合解题能力.利用点差法是求解的关键.二、对称问题例2已知椭圆C的方程22143xy,试确定m的取值范围,使得C上有不同的两点关于直线4yxm对称.解:设椭圆上两点为11()Axy,,22()Bxy,,代入椭圆方程并相减,得121212123()()4()()0xxxxyyyy.①又设AB中点为()Dxy,,斜率为k,由题意得122xxx,122yyy,121214yykxx,代入①,得3yx.又由34yxyxm,,,解得D点(3)mm,.要使D点在椭圆内,则有22()(3)143mm.解得2132131313m.评析:在曲线上两点关于某直线对称问题,分三步:求两点所在的直线;求这两直线的交点;使交点在圆锥曲线内.三、参数范围问题例3设双曲线222:1(0)xCyaa与直线:1lxy相交于不同的点AB,.试求C的离心率e的取值范围.解:由C与l相交于不同的两点,知22211xyaxy,有两个不同的实数解,消去y整理,得2222(1)220axaxa.∴24221048(1)0aaaa,,解得02a且1a,∵22221111aaeaaa,∴62e且2e,即e的取值范围为62(2)2,,.评析:本题利用已知条件求出相关量a的范围,再建立e与a的关系式,得出e的范围.这是求解参数范围问题的常用方法.四、与向量结合的问题例4已知椭圆22221(0)xyabab的长、短轴端点分别为AB,,从椭圆上一点M向x轴作垂线,恰好通过椭圆的左焦点1F,向量AB�与OM�是共线向量.(1)求椭圆的离心率e;(2)设Q是椭圆上任意一点,1F、2F分别是左、右焦点,求12FQF的取值范围;解:(1)∵1(0)Fc,则2bMca,,∴2OMbkac.∵ABbka,由题意,得2bbaca,∴bc,故22e.(2)设|11FQr,22FQr,12FQF,22222221212122121212124()24cos110222rrcrrrrcaarrrrrrrr≥当且仅当12rr时,cos0,∴0,.评析:平行、共线问题均可在向量共线的新情景下设计问题.解此题的关键是正确理解向量共线的意义,把有关向量的问题转化为解析几何问题来解决.五、存在性问题例5已知椭圆22143xy,能否在此椭圆位于y轴左侧的部分上找到一点M,使它到左准线的距离为它到两焦点1F、2F距离的等比中项,若能找到,求出该点的坐标,若不能找到,请说明理由.解:假设存在满足条件的点11()Mxy,,由2a,3b,1c,得12e,又由焦半径公式,得111MFraex,221MFraex,22221211111()()44rraexaexaexx,点M到左准线的距离2114adxxc,∴12rrd,即221114(4)4xx,∴211532480xx,∴14x或1125x,这与1[20)x,相矛盾,∴满足条件的点M不存在.评析:巧妙利用椭圆的统一定义是解决本题的关键.应注意的是在求出坐标之后,要从范围上进行验证.

1、当您付费下载文档后,您只拥有了使用权限,并不意味着购买了版权,文档只能用于自身使用,不得用于其他商业用途(如 [转卖]进行直接盈利或[编辑后售卖]进行间接盈利)。
2、本站所有内容均由合作方或网友上传,本站不对文档的完整性、权威性及其观点立场正确性做任何保证或承诺!文档内容仅供研究参考,付费前请自行鉴别。
3、如文档内容存在违规,或者侵犯商业秘密、侵犯著作权等,请点击“违规举报”。

碎片内容

高三数学高考复习:圆锥曲线高考常见题型与分析

您可能关注的文档

慧源书店+ 关注
实名认证
内容提供者

从事历史教学,热爱教育,高度负责。

相关文档

确认删除?
VIP
微信客服
  • 扫码咨询
会员Q群
  • 会员专属群点击这里加入QQ群
客服邮箱
回到顶部