电脑桌面
添加小米粒文库到电脑桌面
安装后可以在桌面快捷访问

高三数学等比数列;数列求和(文)人教实验版(A) 知识精讲VIP免费

高三数学等比数列;数列求和(文)人教实验版(A) 知识精讲_第1页
1/12
高三数学等比数列;数列求和(文)人教实验版(A) 知识精讲_第2页
2/12
高三数学等比数列;数列求和(文)人教实验版(A) 知识精讲_第3页
3/12
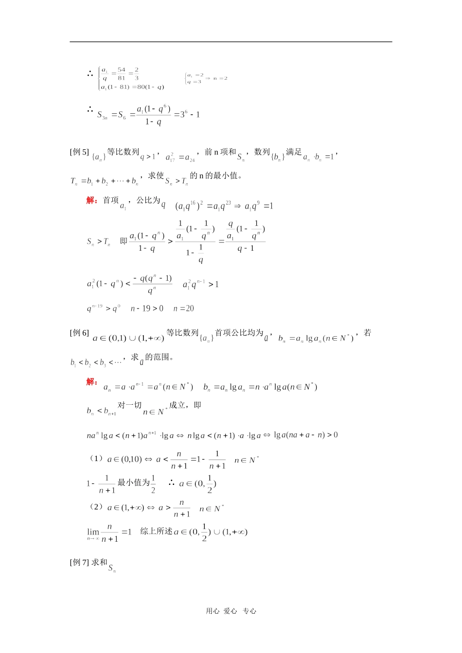
高三数学等比数列;数列求和(文)人教实验版(A)【本讲教育信息】一.教学内容:等比数列;数列求和二.重点:(1)定义:(2)关键量:(3)通项:(4)前n项和:(5)若,则成等比数列成等比数列,成等差数列(6)任意同号实数,有等比中项(7)公式法求和(8)裂项法求和(9)错位相减求和【典型例题】[例1]数列,若数列成等比数列,求。解:,∴用心爱心专心∴∴或[例2]等比数列,,,求证解:*,*>0,*>0∴[例3]等差数列,等比数列,,,,求。解:∴ ∴∴∴∴∴或[例4]等比数列,中最大项是54,求解:(1)∴不合题意(2)∴∴中最大∴用心爱心专心∴∴[例5]等比数列,,前n项和,数列满足,,求使的n的最小值。解:首项,公比为即[例6]等比数列首项公比均为,,若,求的范围。解:对一切成立,即(1)最小值为∴(2)综上所述[例7]求和用心爱心专心(1)(2)(3)(4)(5)(6)解:(1)(2),∴(3)∴(4)用心爱心专心(5)(6)∴[例8]已知等差数列中,,公差,且分别是等比数列的第二项、第三项、第四项。(1)求数列的通项;(2)设数列对任意的,均有成立,求的值。解析:(1) 等差数列的分别是等比数列的第二、三、四项,且∴∴ 公比∴用心爱心专心故(2)当时,∴当时, ①∴②∴①-②得,即∴故[例9]设等比数列的各项均为正数,项数是偶数,它的所有项的和等于偶数项和的4倍,且第二项与第四项的积是第3项与第4项和的9倍,问数列的前多少项和最大?解法一:设公比为,项数为,依题意有化简得解得设数列前n项和为,则用心爱心专心可见,当时,最大而故的前5项和最大解法二:接前于是∴数列是以为首项,以为公差的等差数列令,得∴由于,可见数列的前5项和最大[例10]已知数列是公差为d的等差数列,数列是公比为q的且的等比数列,若函数,且,,,(1)求数列和的通项公式;(2)设数列的前n项和为,对一切,都有,求。解:(1) ∴ ∴又∴,由,且,得∴(2)令,则,用心爱心专心∴∴,即∴[例11]设为数列的前n项和,,数列的通项公式为;(1)求数列的通项公式;(2)把数列与的公共项按从小到大的顺序排成一个新的数列,证明:数列的通项公式为;(3)设数列的第n项是数列中的第r项,为数列的前r项的和;为数列的前n项和,,求。解:(1)由,可知∴,即,而得,所以数列是以3为首项,公比为3的等比数列,数列的通项公式。(2) ∴,而数列∴,而数列∴(3)由,可知∴∴【模拟试题】1.已知成等比数列,则()A.B.C.D.8用心爱心专心2.在等比数列中,,前n项和为。若数列也是等比数列,则等于()A.B.C.D.3.一个直角三角形三边的长成等比数列,则()A.三边边长之比为3:4:5B.三边边长之比为C.较小锐角的正弦值为D.较大锐角的正弦值为4.设数列的前n项和(为常数),若是等比数列,则有()A.B.C.D.,且5.各项均为正数的等比数列,其前n项和为80,且其中最大项为54,又其前2n项和为6560,则公比q等于()A.2B.3C.4D.56.设数列的前n项和,则数列是一个等比数列的充要条件是()A.B.C.D.为任意非零常数7.各项均为正数的等比数列的前n项和为,若,,则等于()A.16B.26C.30D.808.在各项都为正数的等比数列中,首项,前三项和为21,则等于()A.33B.72C.84D.1899.一个等比数列的前n项和为S,前n项的倒数之和是T,则其前n项的积是()A.B.C.D.10.如果数列满足是首项为1,公比为2的等比数列,那么()A.B.C.D.11.设,则等于()A.B.C.D.12.若互不相等的实数成等差数列,成等比数列,且,则()A.4B.2C.D.13.若是与的等比中项,则的最大值为()用心爱心专心A.B.C.D.14.数列中,且满足,。(1)求数列的通项公式;(2)设,求;(3)设,,是否存在最大的整数m,使得对任意均有成立?若存在,求出m的值;若不存在,说明理由。15.设数列的首项,前n项和满足关系式:(1)求证:数列是等比数列;(2)设数列的公比为,作数列,使,,求数列的通项;(3)求和:。用心爱心专心【试题答案】1.A2.C3.C4.D5.B6.C7.C8.C9.C10.B11.D12.D13.B14.解:(1)由可知成等差数列,∴(2)由可得,当,当时,,故(3)∴要使总成立,需成立即且,故适合条件的m的最大值为715...

1、当您付费下载文档后,您只拥有了使用权限,并不意味着购买了版权,文档只能用于自身使用,不得用于其他商业用途(如 [转卖]进行直接盈利或[编辑后售卖]进行间接盈利)。
2、本站所有内容均由合作方或网友上传,本站不对文档的完整性、权威性及其观点立场正确性做任何保证或承诺!文档内容仅供研究参考,付费前请自行鉴别。
3、如文档内容存在违规,或者侵犯商业秘密、侵犯著作权等,请点击“违规举报”。

碎片内容

高三数学等比数列;数列求和(文)人教实验版(A) 知识精讲

您可能关注的文档

慧源书店+ 关注
实名认证
内容提供者

从事历史教学,热爱教育,高度负责。

确认删除?
VIP
微信客服
  • 扫码咨询
会员Q群
  • 会员专属群点击这里加入QQ群
客服邮箱
回到顶部