电脑桌面
添加小米粒文库到电脑桌面
安装后可以在桌面快捷访问

高三数学第一轮复习讲义立体几何小结VIP免费

高三数学第一轮复习讲义立体几何小结_第1页
1/5
高三数学第一轮复习讲义立体几何小结_第2页
2/5
高三数学第一轮复习讲义立体几何小结_第3页
3/5
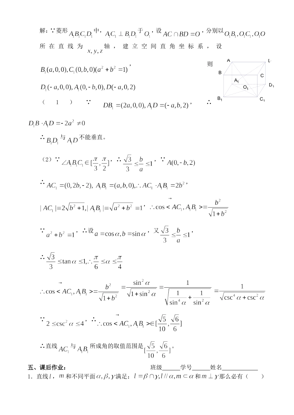
OC1B1A1CBA高三数学第一轮复习讲义立体几何小结1.已知两条异面直线所成的角为,直线与,直线与所成的角为,则的范围是()2.把正方形ABCD沿对角线AC折起,当A、BC、D四点为顶点的三棱锥体积最大时,直线BD与平面ABC所成的角的大小为()90°60°45°30°3.长方体的一个顶点上三条棱长分别为,该长方体的顶点都在同一个球面上,则这个球的表面积为4.直角三角形的斜边在平面内,与平面分别成的角,若,则在平面内的射影构成的三角形的面积为四、例题分析:例1.已知斜三棱柱中,,点是与的交点,(1)用基向量表示向量;(2)求异面直线与所成的角;(3)判定平面与平面解:设(1)(2)由题意,可求得,,,,,GPDCBA∴异面直线与所成的角为(3)取的中点,连结,则∵,∴,且,∴∴,平面,∴平面与平面例2.如图在四棱锥中,底面是,且边长为的菱形,侧面为正三角形,其所在平面垂直于底面。(1)若为边的中点,求证:平面;(2)求二面角的大小;(3)若为边的中点,能否在棱上找到一点,使平面平面,并证明你的结论。(1)∵为正三角形,为边的中点,∴,∵平面垂直于底面,∴底面,∴在菱形中,,∴,∴为直角三角形,且,,∴平面(2)由(1)知底面,,∴,∴是二面角的平面角,∵,∴,∴(3)∵为边的中点,∴,∴,取的中点,连结,则,∵,∴平面,∴平面平面,∴点存在,且为的中点。例3.如图,在直四棱柱中,底面是边长为的菱形,侧棱长为(1)与能否垂直?请证明你的判断;(2)当在上变化时,求异面直线与所成角的取值范围。O1D1C1B1A1DCBA解:∵菱形中,于,设,分别以所在直线为轴,建立空间直角坐标系,设,则(1)∵,∴∴与不能垂直。(2)∵,∴,∵∴,,∵,∴设,又,∴∵,∴∴直线与所成角的取值范围是。五、课后作业:班级学号姓名1.直线,和不同平面满足:和那么必有()且且且且2.在棱长为的正四面体中,分别是的中点,则()3.在空间直角坐标系中,已知,平面,垂足为,直线交平面于点,则点的坐标为()4.给出下列四个命题:①如果直线平面,且,则直线与平面的距离等于平面与平面的距离;②两条平行直线分别在两个平行平面内,则这两条平行直线的距离等于这两个平行平面间的距离;③异面直线分别在两个平行平面内,则的距离等于这两个平面的距离;④若点在平面内,平面//平面,则到平面的距离等于平面与平面的距离。则其中所有正确的命题的序号是5.如图,已知直三棱柱ABC-A1B1C1,侧棱长为2,底面△ABC中,∠B=90°,AB=1,BC=,D是侧棱CC1上一点,且BD与底面所成角为30°.(1)求点D到AB所在直线的距离.(2)求二面角A1-BD-B1的度数.EDOCBAS6.已知三棱锥中,与是两个共斜边的等腰直角三角形,为上一点,平面,点分别是的中点,(1)求的长;(2)求直线与直线夹角的余弦值;(3)求证:7.如图,已知正四面体P-ABC中,棱AB、PC的中点分别是M、N.(1)求异面直线BN、PM所成的角;(2)求BN与面ABC所成的角.CBMPNA

1、当您付费下载文档后,您只拥有了使用权限,并不意味着购买了版权,文档只能用于自身使用,不得用于其他商业用途(如 [转卖]进行直接盈利或[编辑后售卖]进行间接盈利)。
2、本站所有内容均由合作方或网友上传,本站不对文档的完整性、权威性及其观点立场正确性做任何保证或承诺!文档内容仅供研究参考,付费前请自行鉴别。
3、如文档内容存在违规,或者侵犯商业秘密、侵犯著作权等,请点击“违规举报”。

碎片内容

高三数学第一轮复习讲义立体几何小结

您可能关注的文档

慧源书店+ 关注
实名认证
内容提供者

从事历史教学,热爱教育,高度负责。

相关文档

确认删除?
VIP
微信客服
  • 扫码咨询
会员Q群
  • 会员专属群点击这里加入QQ群
客服邮箱
回到顶部