电脑桌面
添加小米粒文库到电脑桌面
安装后可以在桌面快捷访问

高三数学椭圆习题精选精讲VIP免费

高三数学椭圆习题精选精讲_第1页
1/15
高三数学椭圆习题精选精讲_第2页
2/15
高三数学椭圆习题精选精讲_第3页
3/15
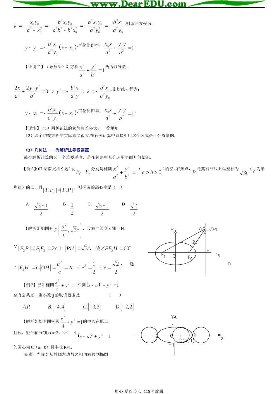
椭圆(1)第一定义——把椭圆从圆中分离椭圆从圆(压缩)变形而来,从而使得椭圆与圆相关而又相异.它从圆中带来了中心和定长,但又产生了2个新的定点——焦点.准确、完整地掌握椭圆的定义,是学好椭圆、并进而学好圆锥曲线理论的基础.【例1】若点M到两定点F1(0,-1),F2(0,1)的距离之和为2,则点M的轨迹是().椭圆.直线.线段.线段的中垂线.【解析】注意到且故点M只能在线段上运动,即点M的轨迹就是线段,选C.【评注】椭圆的定义中有一个隐含条件,那就是动点到两定点的距离之和必须大于两定点间的距离.忽视这一点,就会错误地选A.(2)勾股数组——椭圆方程的几何特征椭圆的长、短半轴a、b和半焦距c,满足.在a、b、c三个参数中,只要已知或求出其中的任意两个,便可以求出第3个,继而写出椭圆方程和它的一切特征数值.椭圆方程的标准式有明显的几何特征,这个几何特征就反映在这个勾股数组上.所谓解椭圆说到底是解这个勾股数组.【例2】已知圆,圆内一定点(3,0),圆过点且与圆内切,求圆心的轨迹方程.【解析】如图,设两圆内切于C,动点P(x,y),则A、P、C共线.连AC、PB, 为定长,而A(-3,0),B(3,0)为定点,∴圆心的轨迹是椭圆.且.所求轨迹方程为:.(3)第二定义——椭圆的个性向圆锥曲线共性加盟如果说椭圆第一定义的主要功能是导出了椭圆的方程,那么椭圆的第二定义则给椭圆及其方程给出了深刻的解释.根据这个解释,我们可以方便地解决许多关于椭圆的疑难问题.【例3】已知椭圆,能否在此椭圆位于y轴左侧部分上找一点P,使它到左准线的距离是它到两焦点F1,F2距离的比例中项.【解析】由椭圆方程知:.椭圆的左准线为:.设存在椭圆上一点P(x,y)(x<0)符合所设条件.作PH⊥l于H.令,则有:.但是.∴.又.这与矛盾.故在椭圆左侧上不存在符合题设条件的点.用心爱心专心115号编辑●通法特法妙法(1)解析法——解析几何存在的理由解析法的实质是用代数的方法学习和研究几何.在解析几何的模式下,平面上任意一条曲线都唯一对应着一个二元方程.反之,根据任意一个二元方程,都可以用描点法唯一地画出它所对应的曲线.因此,可以将几何问题转化为解方程、方程组或不等式.【例4】点P(x,y)在椭圆上,则的最大值为()A.1B.-1C.D.【解析】设方程(1)表示过椭圆上一点P(x,y)和原点的直线.显然当直线在椭圆上方且与椭圆相切时,最大.将方程(1)代入椭圆方程得:由于直线与椭圆相切,故方程(2)应有相等二实根.由. k>0,∴取,选D.【评注】直线与曲线相切的解析意义是相应的一元二次方程有相等二实根,因而可转化为其判别式为零处理;同理,直线与曲线相交要求相应的判别式大于零,相离则要求这个判别式小于零.(2)导数法——把方程与函数链接由于解析法往往牵涉到比较繁杂的运算,所以人们在解题中研究出了许多既能减少运算,又能达到解题目的的好方法,导数法就是最为明显的一种.【例5】求证:过椭圆上一点的切线方程为:.【证明一】(解析法)设所求切线方程为:,代入椭圆方程:.化简得: 直线与椭圆相切,∴方程(1)有相等二实根.其判别式△=0,即:.化简得: 点在椭圆上,∴,方程(2)之判别式.故方程(2)亦有相等二实根,且其根为:用心爱心专心115号编辑.则切线方程为:.再化简即得:.【证明二】(导数法)对方程两边取导数:.则切线方程为:.再化简即得:.【评注】(1)两种证法的繁简相差多大,一看便知(2)这个切线方程的实际意义很大.在有关运算中直接引用这个公式是十分省事的.(3)几何法——为解析法寻根朔源减少解析计算的又一个重要手段,是在解题中充分运用平面几何知识.【例6】(07.湖南文科.9题)设分别是椭圆()的左、右焦点,是其右准线上纵坐标为(为半焦距)的点,且,则椭圆的离心率是()A.B.C.D.【解析】如图有,设右准线交x轴于H, ,选D.【例7】已知椭圆和圆总有公共点,则实数的取值范围是()【解析】如右图椭圆的中心在原点,且长、短半轴分别为a=2,b=1;圆的圆心为C(a,0)且半径R=1.显然,当圆C从椭圆左边与之相切右移到椭圆用心爱心专心115号编辑右边与之相切时都有公共点.此时圆心的横坐标由-3增加到3,故a∈,...

1、当您付费下载文档后,您只拥有了使用权限,并不意味着购买了版权,文档只能用于自身使用,不得用于其他商业用途(如 [转卖]进行直接盈利或[编辑后售卖]进行间接盈利)。
2、本站所有内容均由合作方或网友上传,本站不对文档的完整性、权威性及其观点立场正确性做任何保证或承诺!文档内容仅供研究参考,付费前请自行鉴别。
3、如文档内容存在违规,或者侵犯商业秘密、侵犯著作权等,请点击“违规举报”。

碎片内容

高三数学椭圆习题精选精讲

您可能关注的文档

确认删除?
VIP
微信客服
  • 扫码咨询
会员Q群
  • 会员专属群点击这里加入QQ群
客服邮箱
回到顶部