电脑桌面
添加小米粒文库到电脑桌面
安装后可以在桌面快捷访问

高三数学数列与不等式综合应用VIP免费

高三数学数列与不等式综合应用_第1页
1/7
高三数学数列与不等式综合应用_第2页
2/7
高三数学数列与不等式综合应用_第3页
3/7
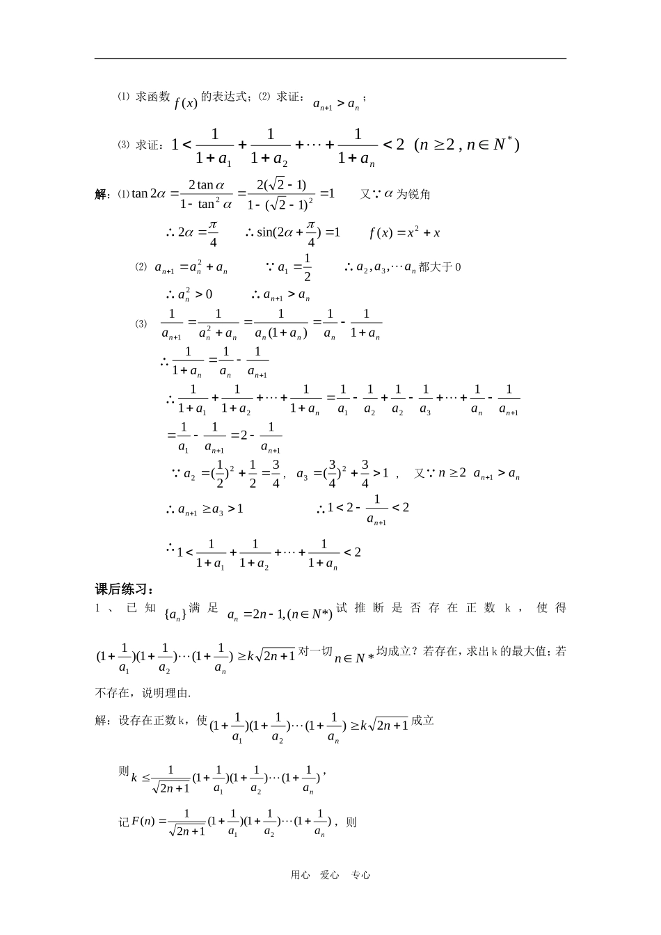
数列与不等式综合应用考情分析:数列与不等式的综合问题是近年来高考的一个热点,也是一个难点;教学目标:掌握用常规的放缩思想去解决数列与不等式的证明问题;培养学生的探究分析能力;基础知识回顾:(一)常用放缩和裂项拆项的结论:(1)*21111111(2,)1(1)(1)1kkNkkkkkkkkk(2)*2122(1)2(1)(2,)11kkkkkkNkkkkk(3)*311111(2,)(1)(1)2(1)(1)kkNkkkkkkkk(4)1211111111()...()kkkbbbbbb(二)常用证明不等式的方法:作差、作商、放缩、函数法、数学归纳法、反证法例题讲解:已知数列{}na满足:2*1112,2(1)()nnaaanNn(1)求证数列2nan是等比数列,并求出数列{}na的通项公式;(2)设,nnnncTa是数列nc的前n项和,求证:1724nT跟踪训练:1、等比数列{na}的前n项和为nS,已知对任意的nN,点(,)nnS,均在函数用心爱心专心(0xybrb且1,,bbr均为常数)的图像上.(1)求r的值;(11)当b=2时,记22(log1)()nnbanNw.w.w.k.s.5.u.c.o.m证明:对任意的nN,不等式1212111·······1nnbbbnbbb成立解:因为对任意的nN,点(,)nnS,均在函数(0xybrb且1,,bbr均为常数的图像上.所以得nnSbr,当1n时,11aSbr,当2n时,1111()(1)nnnnnnnnaSSbrbrbbbb,又因为{na}为等比数列,所以1r,公比为b,1(1)nnabb(2)当b=2时,11(1)2nnnabb,1222(log1)2(log21)2nnnban则1212nnbnbn,所以121211135721·······2462nnbbbnbbbnw.w.w.k.s.5.u.c.o.m下面用数学归纳法证明不等式121211135721·······12462nnbbbnnbbbn成立.①当1n时,左边=32,右边=2,因为322,所以不等式成立.②假设当nk时不等式成立,即121211135721·······12462kkbbbkkbbbk成立.则当1nk时,左边=11212111113572123·······246222kkkkbbbbkkbbbbkk2223(23)4(1)4(1)111(1)1(1)1224(1)4(1)4(1)kkkkkkkkkkk所以当1nk时,不等式也成立.w.w.w.k.s.5.u.c.o.m由①、②可得不等式恒成立.【命题立意】:本题主要考查了等比数列的定义,通项公式,以及已知nS求na的基本题型,并运用数学归纳法证明与自然数有关的命题,以及放缩法证明不等式.2、已知为锐角,且12tan,函数)42sin(2tan)(2xxxf,数列{}na的首项)(,2111nnafaa.用心爱心专心⑴求函数)(xf的表达式;⑵求证:nnaa1;⑶求证:),2(21111111*21Nnnaaan解:⑴1)12(1)12(2tan1tan22tan22又 为锐角∴42∴1)42sin(xxxf2)(⑵nnnaaa21 211a∴naaa,,32都大于0∴02na∴nnaa1⑶nnnnnnnaaaaaaa111)1(11121∴11111nnnaaa∴1322121111111111111nnnaaaaaaaaa1111211nnaaa 4321)21(22a,143)43(23a,又 nnaan12∴131aan∴21211na∴2111111121naaa课后练习:1、已知{}na满足21,(*)nannN试推断是否存在正数k,使得12)11()11)(11(21nkaaan对一切*Nn均成立?若存在,求出k的最大值;若不存在,说明理由.解:设存在正数k,使12)11()11)(11(21nkaaan成立则)11()11)(11(12121naaank,记)11()11)(11(121)(21naaannF,则用心爱心专心1)1(2)1(21)1(4)1(2)32)(12(22)()1(),11)(11()11)(11(321)1(2121nnnnnnnnFnFaaaannFnn)()()1(nFnFnF是随n的增大而增大,332,332)1()(,1*,minkFnFnNn时即k的最大值为3322、已知{}na满足22[2(1)]3nnna,证明:对任意的整数4m,有8711154maaa证明:观察要证的不...

1、当您付费下载文档后,您只拥有了使用权限,并不意味着购买了版权,文档只能用于自身使用,不得用于其他商业用途(如 [转卖]进行直接盈利或[编辑后售卖]进行间接盈利)。
2、本站所有内容均由合作方或网友上传,本站不对文档的完整性、权威性及其观点立场正确性做任何保证或承诺!文档内容仅供研究参考,付费前请自行鉴别。
3、如文档内容存在违规,或者侵犯商业秘密、侵犯著作权等,请点击“违规举报”。

碎片内容

高三数学数列与不等式综合应用

您可能关注的文档

慧源书店+ 关注
实名认证
内容提供者

从事历史教学,热爱教育,高度负责。

确认删除?
VIP
微信客服
  • 扫码咨询
会员Q群
  • 会员专属群点击这里加入QQ群
客服邮箱
回到顶部