电脑桌面
添加小米粒文库到电脑桌面
安装后可以在桌面快捷访问

高三数学平面向量复习试题VIP免费

高三数学平面向量复习试题_第1页
1/6
高三数学平面向量复习试题_第2页
2/6
高三数学平面向量复习试题_第3页
3/6
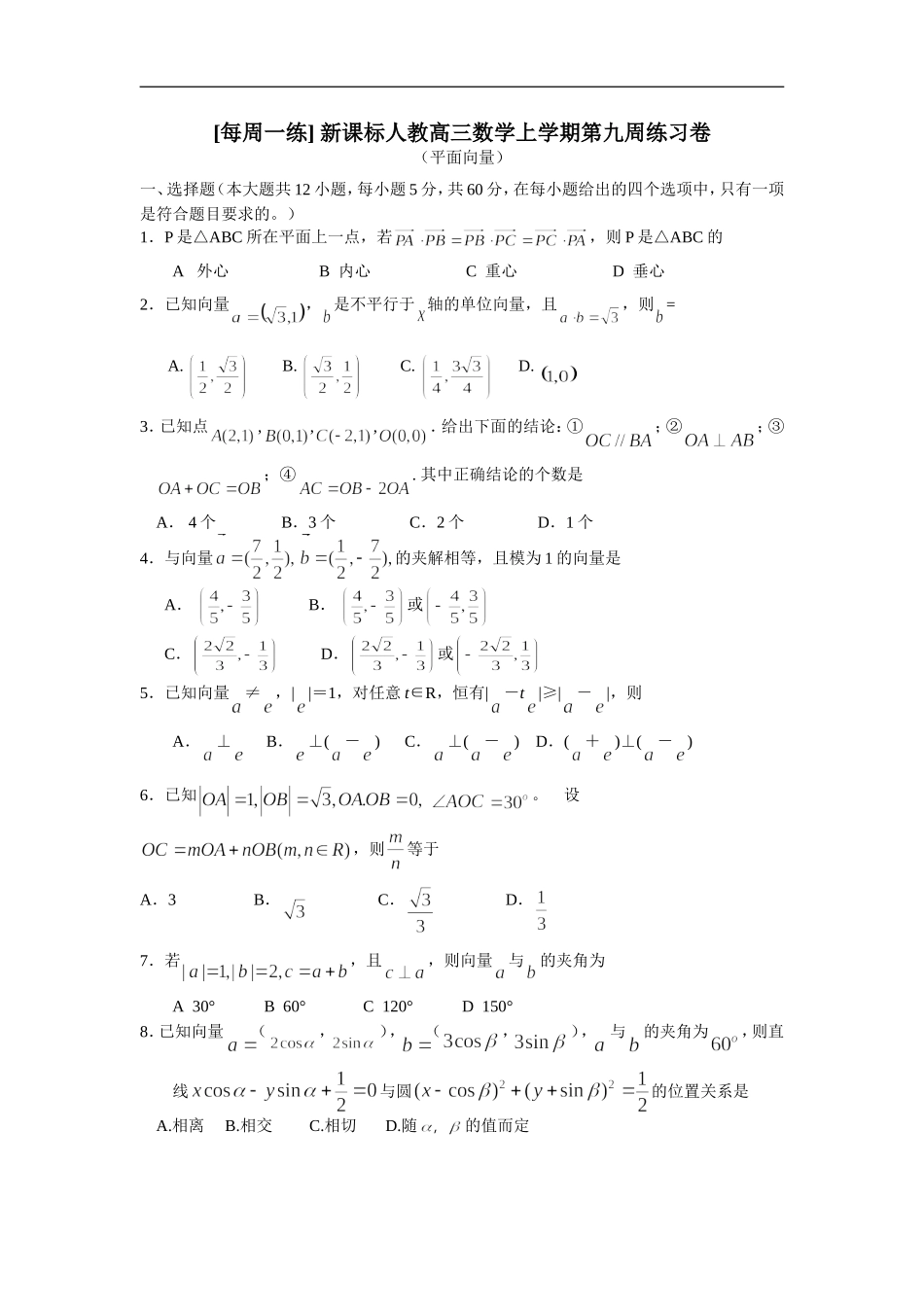
[每周一练]新课标人教高三数学上学期第九周练习卷(平面向量)一、选择题(本大题共12小题,每小题5分,共60分,在每小题给出的四个选项中,只有一项是符合题目要求的。)1.P是△ABC所在平面上一点,若,则P是△ABC的A外心B内心C重心D垂心2.已知向量,是不平行于轴的单位向量,且,则=A.B.C.D.3.已知点,,,.给出下面的结论:①;②;③;④.其中正确结论的个数是A.4个B.3个C.2个D.1个4.与向量的夹解相等,且模为1的向量是A.B.或C.D.或5.已知向量≠,||=1,对任意t∈R,恒有|-t|≥|-|,则A.⊥B.⊥(-)C.⊥(-)D.(+)⊥(-)6.已知。设,则等于A.3B.C.D.7.若,且,则向量与的夹角为A30°B60°C120°D150°8.已知向量(,),(,),与的夹角为,则直线与圆的位置关系是A.相离B.相交C.相切D.随的值而定9.在△ABC中,已知的值为A.-2B.2C.±4D.±210.点P在平面上作匀速直线运动,速度向量=(4,-3)(即点P的运动方向与v相同,且每秒移动的距离为||个单位.设开始时点P的坐标为(-10,10),则5秒后点P的坐标为A(-2,4)B(10,-5)C(-30,25)D(5,-10)11..设∠BAC的平分线AE与BC相交于E,且有若则等于A2BC-3D-12.为了得到函数y=sin(2x-)的图像,可以将函数y=cos2x的图像A向右平移个单位长度B向左平移个单位长度C向左平移个单位长度D向右平移个单位长度题号123456789101112答案二、填空题(本大题共4小题,每小题4分,共16分,把答案填在题中横线上.)13.设向量与的夹角为,且,,则.14.直角坐标平面中,若定点与动点满足,则点P的轨迹方程是__________.15.已知点A(2,0),B(4,0),动点P在抛物线y2=-4x运动,则使取得最小值的点P的坐标是.16.下列命题中:①∥存在唯一的实数,使得;②为单位向量,且∥,则=±||·;③;④与共线,与共线,则与共线;⑤若其中正确命题的序号是.三、解答题(本大题共6小题,共74分.解答应有证明过程或演算步骤)17.已知△ABC中,∠C=120°,c=7,a+b=8,求的值。18.设向量,向量垂直于向量,向量平行于,试求的坐标.19.已知M=(1+cos2x,1),N=(1,sin2x+a)(x,a∈R,a是常数),且y=·(O是坐标原点)(1)求y关于x的函数关系式y=f(x);(2)若x[0∈,],f(x)的最大值为4,求a的值,并说明此时f(x)的图象可由y=2sin(x+)的图象经过怎样的变换而得到.20.在平面直角坐标系中,已知,满足向量与向量共线,且点都在斜率为6的同一条直线上。若。求(1)数列的通项(2)数列{}的前n项和21.已知点A、B、C的坐标分别为A(3,0),B(0,3),C(cosα,sinα),α()。(1)若,求角α的值;(2)若=-1,求的值.22.已知向量(1);(2)(理科做)若(文科做)求函数的最小值。[每周一练]新课标人教高三数学上学期第九周练习卷(平面向量)参考答案一、1.D2.A3.B4.B5.B6.A7.C8.A9.D10.B11.C12.C二、13.14.x+2y-4=015.(0,0)16.②③三、17.解:解法1:由正弦定理:,代入∴解法2:由∵,∴∴(也可由余弦定理求解)18.解:设,∴,∴①又即:②联立①、②得∴.19.解:(1)y=·=1+cos2x+sin2x+a,得f(x)=1+cos2x+sin2x+a;(2)f(x)=1+cos2x+sin2x+a化简得f(x)=2sin(2x+)+a+1,x[0∈,]。当x=时,f(x)取最大值a+3=4,解得a=1,f(x)=2sin(2x+)+2。将y=2sin(x+)的图象的每一点的横坐标缩短到原来的一半,纵坐标保持不变,再向上平移2个单位长度可得f(x)=2sin(2x+)+2的图象。20.解:(1)∵点Bn(n,bn)(n∈N*)都在斜率为6的同一条直线上,∴=6,即bn+1-bn=6,于是数列{bn}是等差数列,故bn=12+6(n-1)=6n+6.∵共线.∴1×(-bn)-(-1)(an+1-an)=0,即an+1-an=bn∴当n≥2时,an=a1+(a2-a1)+(a3-a2)+…+(an-an-1)=a1+b1+b2+b3+…+bn-1=a1+b1(n-1)+3(n-1)(n-2)当n=1时,上式也成立。所以an=.(2)21.解:(1)∵=(cos-3,sin),=(cos,sin-3).∴∣∣=。∣∣=。由∣∣=∣∣得sin=cos.又∵,∴=.(2)由·=-1,得(cos-3)cos+sin(sin-3)=-1∵sin+cos=.①又.由①式两边平方得1+2sincos=,∴2sincos=,∴22.解:(1)⑵(理科)①当时,当县仅当时,取得最小值-1,这与已知矛盾;②当时,取得最小值,由已知得;③当时,取得最小值,由已知得解得,这与相矛盾,综上所述,为所求.(2)(文科)∴当且仅当取得最小值

1、当您付费下载文档后,您只拥有了使用权限,并不意味着购买了版权,文档只能用于自身使用,不得用于其他商业用途(如 [转卖]进行直接盈利或[编辑后售卖]进行间接盈利)。
2、本站所有内容均由合作方或网友上传,本站不对文档的完整性、权威性及其观点立场正确性做任何保证或承诺!文档内容仅供研究参考,付费前请自行鉴别。
3、如文档内容存在违规,或者侵犯商业秘密、侵犯著作权等,请点击“违规举报”。

碎片内容

高三数学平面向量复习试题

您可能关注的文档

慧源书店+ 关注
实名认证
内容提供者

从事历史教学,热爱教育,高度负责。

确认删除?
VIP
微信客服
  • 扫码咨询
会员Q群
  • 会员专属群点击这里加入QQ群
客服邮箱
回到顶部