电脑桌面
添加小米粒文库到电脑桌面
安装后可以在桌面快捷访问

高三数学同角关系、和、差、倍、半公式人教版知识精讲VIP免费

高三数学同角关系、和、差、倍、半公式人教版知识精讲_第1页
1/6
高三数学同角关系、和、差、倍、半公式人教版知识精讲_第2页
2/6
高三数学同角关系、和、差、倍、半公式人教版知识精讲_第3页
3/6
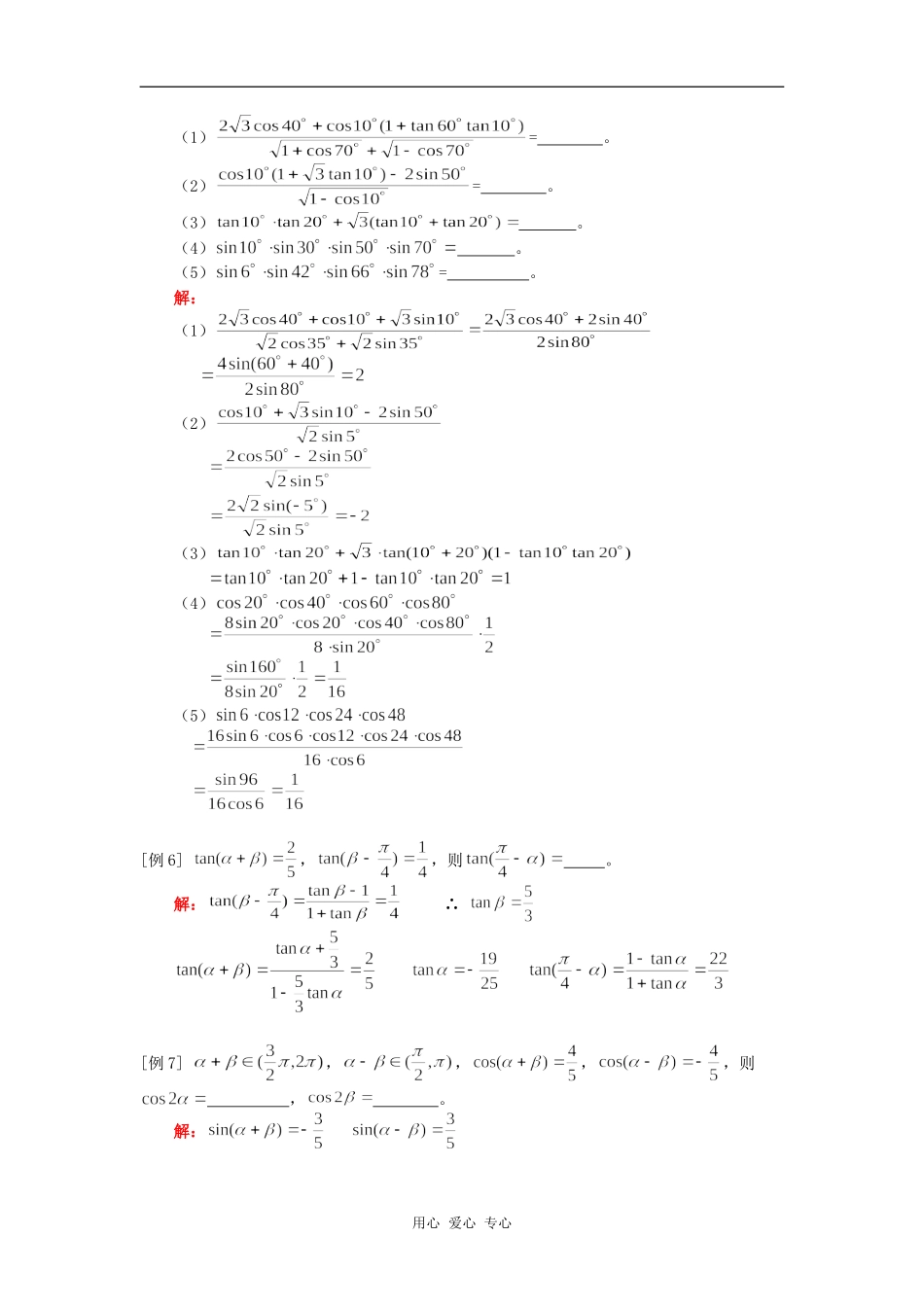
高三数学同角关系、和、差、倍、半公式人教版【同步教育信息】一.本周教学内容:同角关系、和、差、倍、半公式二.重点、难点:1.同角关系,,,,2.和、差公式3.倍角4.半角【典型例题】[例1]为第二象限角,则以下各角终边在第几象限(1)(2)(3)解:(1)∴为I、III象限角(2)∴为III、IV象限,轴负半轴(3)即第III象限第IV象限[例2],求其它5个三角函数值。解:用心爱心专心为第I象限角,,为第III象限角[例3],则:(1)。(2)。(3)。解:(1)(2)(3)另解:[例4],则:(1);(2);(3);(4)。解:(1)(2)(3)(4)∴[例5]化简:用心爱心专心(1)=。(2)=。(3)。(4)。(5)=。解:(1)(2)(3)(4)(5)[例6],,则。解:∴[例7],,,,则,。解:用心爱心专心[例8],,则。解:,叠加:[例9],,则。解:∴【模拟试题】(答题时间:40分钟)1.的值等于()A.B.C.D.2.若,则的值是()A.B.C.D.3.已知,,且,则的值为()A.1B.C.D.或4.在中,,则是()A.直角三角形B.钝角三角形C.锐角三角形D.等腰三角形5.的值是()A.B.C.D.6.当时,函数的()A.最大值是2,最小值是B.最大值是1,最小值是C.最大值是1,最小值是D.最大值是2,最小值是7.若,则等于()A.B.C.D.用心爱心专心8.已知,,则的值为()A.B.C.D.19.。10.在中,,则。11.,,那么的值为。12.已知,则的值是。13.已知,,则。用心爱心专心试题答案1.C2.B3.C4.B5.A6.D7.D8.A9.10.11.12.13.用心爱心专心

1、当您付费下载文档后,您只拥有了使用权限,并不意味着购买了版权,文档只能用于自身使用,不得用于其他商业用途(如 [转卖]进行直接盈利或[编辑后售卖]进行间接盈利)。
2、本站所有内容均由合作方或网友上传,本站不对文档的完整性、权威性及其观点立场正确性做任何保证或承诺!文档内容仅供研究参考,付费前请自行鉴别。
3、如文档内容存在违规,或者侵犯商业秘密、侵犯著作权等,请点击“违规举报”。

碎片内容

高三数学同角关系、和、差、倍、半公式人教版知识精讲

您可能关注的文档

确认删除?
VIP
微信客服
  • 扫码咨询
会员Q群
  • 会员专属群点击这里加入QQ群
客服邮箱
回到顶部