电脑桌面
添加小米粒文库到电脑桌面
安装后可以在桌面快捷访问

高中数学 第三章 不等式A组测试题 新人教A版必修5VIP免费

高中数学 第三章 不等式A组测试题 新人教A版必修5_第1页
1/4
高中数学 第三章 不等式A组测试题 新人教A版必修5_第2页
2/4
高中数学 第三章 不等式A组测试题 新人教A版必修5_第3页
3/4
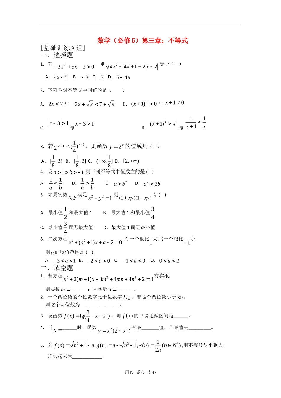
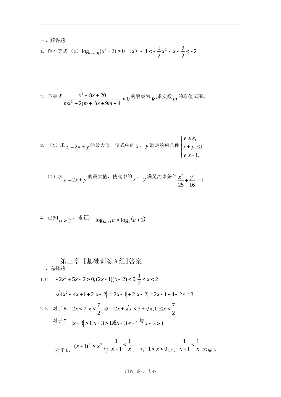
数学(必修5)第三章:不等式[基础训练A组]一、选择题1.若02522xx,则221442xxx等于()A.54xB.3C.3D.x452.下列各对不等式中同解的是()A.72x与xxx72B.0)1(2x与01xC.13x与13xD.33)1(xx与xx1113.若122x()142x,则函数2xy的值域是()A.1[,2)8B.1[,2]8C.1(,]8D.[2,)4.设11ab,则下列不等式中恒成立的是()A.ba11B.ba11C.2abD.22ab5.如果实数,xy满足221xy,则(1)(1)xyxy有()A.最小值21和最大值1B.最大值1和最小值43C.最小值43而无最大值D.最大值1而无最小值6.二次方程22(1)20xaxa,有一个根比1大,另一个根比1小,则a的取值范围是()A.31aB.20aC.10aD.02a二、填空题1.若方程2222(1)34420xmxmmnn有实根,则实数m_______;且实数n_______。2.一个两位数的个位数字比十位数字大2,若这个两位数小于30,则这个两位数为________________。3.设函数23()lg()4fxxx,则()fx的单调递减区间是。4.当x______时,函数)2(22xxy有最_______值,且最值是_________。5.若22*1()1,()1,()()2fnnngnnnnnNn,用不等号从小到大连结起来为____________。用心爱心专心三、解答题1.解不等式(1)2(23)log(3)0xx(2)2232142xx2.不等式049)1(220822mxmmxxx的解集为R,求实数m的取值范围。3.(1)求yxz2的最大值,使式中的x、y满足约束条件.1,1,yyxxy(2)求yxz2的最大值,使式中的x、y满足约束条件2212516xy4.已知2a,求证:1loglog1aaaa第三章[基础训练A组]答案一、选择题1.C212520,(21)(2)0,22xxxxx,244122212221423xxxxxxx2.B对于A.727,,2xx与727,02xxxx对于C.31,3131xxx或与13x对于D.33)1(xx与xx111,当10x时,xx111不成立用心爱心专心3.B122x2421()24xx,221142,230,31,28xxxxxy4.C对于A,B,倒数法则:11,0ababab,要求,ab同号,2111,1bba而,对于22ab的反例:21.1,1.21,0.8,21.6aabb5.B设2221cos,sin,11sin24xyxy6.C令22()(1)2fxxaxa,则(1)0f且(1)0f即220,1030aaaaa二、填空题1.11,22224(1)4(3442)0mmmnn22244210mmnnm,即22(2)(1)0mnm而22(2)(1)0mnm,即221(2)(1)01,2mnmmn且2.13或24设十位数为a,则个位数为2a,*2810230,,1,211aaaaNa或,即13或243.11,2223310,422xxx,递减则12x,∴1122x4.1,,1大224222(2)2(1)1yxxxxx,当21x时,max1y5.)()()(ngnnf222111(),(),()11fngnnnnnnnn三、解答题1.解:(1)22310312310231xxxx或得232xx或,(3,2)(2,)x(2)22222134210132224,,1322250222xxxxxxxxxx用心爱心专心2121,6161xxx或(61,21)(21,61)x2.解:2282002(1)940xxmxmxm恒成立,须恒成立当0m时,240x并不恒成立;当0m时,则204(1)4(94)0mmmm得011,42mmm或12m3.解:(1)作出可行域3maxZ;(2)令''5,4xxyy,则'2'2''()()1,104xyzxy,当直线''104zxy和圆'2'2()()1xy相切时116z,max116Z4.证明:21lglg(1)lglg(1)lg(1)loglog1lg(1)lglglg(1)aaaaaaaaaaaaa而222222lg(1)lg(1)lg(1)lglg(1)lg(1)()lg222aaaaaaa即2lglg(1)lg(1)0,aaa而2lg(1)lg0aaa2lglg(1)lg(1)0lglg(1)aaaaa,即1loglog10aaaa1loglog1aaaa用心爱心专心

1、当您付费下载文档后,您只拥有了使用权限,并不意味着购买了版权,文档只能用于自身使用,不得用于其他商业用途(如 [转卖]进行直接盈利或[编辑后售卖]进行间接盈利)。
2、本站所有内容均由合作方或网友上传,本站不对文档的完整性、权威性及其观点立场正确性做任何保证或承诺!文档内容仅供研究参考,付费前请自行鉴别。
3、如文档内容存在违规,或者侵犯商业秘密、侵犯著作权等,请点击“违规举报”。

碎片内容

高中数学 第三章 不等式A组测试题 新人教A版必修5

您可能关注的文档

确认删除?
VIP
微信客服
  • 扫码咨询
会员Q群
  • 会员专属群点击这里加入QQ群
客服邮箱
回到顶部