电脑桌面
添加小米粒文库到电脑桌面
安装后可以在桌面快捷访问

多元函数微分学复习题及答案VIP免费

多元函数微分学复习题及答案_第1页
1/5
多元函数微分学复习题及答案_第2页
2/5
多元函数微分学复习题及答案_第3页
3/5
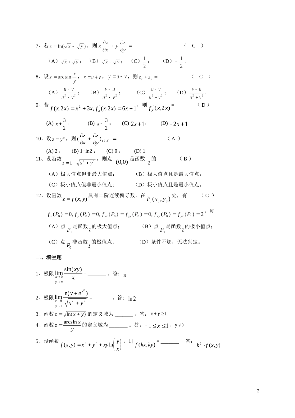
第八章多元函数微分法及其应用复习题及解答一、选择题1.极限limxyxyxy00242=(B)(A)等于0;(B)不存在;(C)等于12;(D)存在且不等于0或12(提示:令)2、设函数fxyxyyxxyxy(,)sinsin11000,则极限lim(,)xyfxy00=(C)(A)不存在;(B)等于1;(C)等于0;(D)等于2(提示:有界函数与无穷小的乘积仍为无穷小)3、设函数fxyxyxyxyxy(,)222222000,则(A)(A)处处连续;(B)处处有极限,但不连续;(C)仅在(0,0)点连续;(D)除(0,0)点外处处连续(提示:①在,处处连续;②在,令,,故在,函数亦连续。所以,在整个定义域内处处连续。)4、函数zfxy(,)在点(,)xy00处具有偏导数是它在该点存在全微分的(A)(A)必要而非充分条件;(B)充分而非必要条件;(C)充分必要条件;(D)既非充分又非必要条件5、设uyxarctan,则ux=(B)(A)xxy22;(B)yxy22;(C)yxy22;(D)xxy226、设fxyyx(,)arcsin,则fx'(,)21(A)(A)14;(B)14;(C)12;(D)1217、若,则(C)(A);(B);(C);(D).8、设,,,则(C)(A);(B);(C);(D).9、若fxxxxfxxxx(,),(,)'232612,则fxxy'(,)2=(D)(A)x32;(B)x32;(C)21x;(D)21x10、设zyx,则()(,)zxzy21(A)(A)2;(B)1+ln2;(C)0;(D)111、设函数zxy122,则点(,)00是函数z的(B)(A)极大值点但非最大值点;(B)极大值点且是最大值点;(C)极小值点但非最小值点;(D)极小值点且是最小值点。12、设函数zfxy(,)具有二阶连续偏导数,在Pxy000(,)处,有(C),则(A)点P0是函数z的极大值点;(B)点P0是函数z的极小值点;(C)点P0非函数z的极值点;(D)条件不够,无法判定。二、填空题1、极限limsin()xyxyx0=。答:2、极限limln()xyxyexy01222=。答:ln23、函数zxyln()的定义域为。答:xy14、函数zxyarcsin的定义域为。答:11x,y05、设函数fxyxyxyyx(,)ln22,则fkxky(,)=。答:kfxy2(,)26、设函数fxyxyxy(,),则fxyxy(,)=。答:()7、设zxyysin()3,则zxxy21_________。答:3cos58、函数zzxy(,)由方程xyzexyz()所确定,则09、、设uxxyln,则2uxy=___________。答:1y9、函数zxyxy2346122的驻点是_________。答:(1,-1)三、计算题1、求下列二元函数的定义域,并绘出定义域的图形.(1)(2)(3)(4)解:(1)要使函数有意义,必须有,即有.故所求函数的定义域为,图形为图3.1(2)要使函数有意义,必须有.故所有函数的定义域为,图形为图3.2(3)要使函数有意义,必须有,即且.故该函数的定义域为,图形为图3.3(4)要使函数有意义,必须有.故该函数的定义域为,图形为图3.4图3.1图3.23图3.3图3.42、求极限limxyxxyexy00416。解:limxyxxyexy00416lim()xyxxyexyxy00416=-83、设函数zzxy(,)由方程xyzxyz2所确定,求zy。答:2112xyzxy4、设zyxyxln(),求zxzy,。解:zyyxyxyxxxlnln1zxyxyyyyxx11ln()四、应用题。1、某工厂生产两种产品甲和乙,出售单价分别为10元与9元,生产单位的产品甲与生产单位的产品乙的总费用是元,求取得最大利润时,两种产品的产量各为多少?解:表示获得的总利润,则总利润等于总收益与总费用之差,即有利润目标函数,令,解得唯一驻点(120,80).又因,得.得极大值.根据实际情况,此极大值就是最大值.故生产120单位产品甲与80单位产品乙时所得利润最大320元.五、证明题1、设求证证明:因为所以42设2sin(x2y3z)x2y3z证明证明:设F(xyz)2sin(x2y3z)x2y3z则Fx2cos(x2y3z)1Fy2cos(x2y3z)222FxFz2cos(x2y3z)(3)33Fx于是3、设xx(yz)yy(xz)zz(xy)都是由方程F(xyz)0所确定的具有连续偏导数的函数证明解:因为所以5

1、当您付费下载文档后,您只拥有了使用权限,并不意味着购买了版权,文档只能用于自身使用,不得用于其他商业用途(如 [转卖]进行直接盈利或[编辑后售卖]进行间接盈利)。
2、本站所有内容均由合作方或网友上传,本站不对文档的完整性、权威性及其观点立场正确性做任何保证或承诺!文档内容仅供研究参考,付费前请自行鉴别。
3、如文档内容存在违规,或者侵犯商业秘密、侵犯著作权等,请点击“违规举报”。

碎片内容

多元函数微分学复习题及答案

文章天下+ 关注
实名认证
内容提供者

各种文档应有尽有

相关文档

确认删除?
VIP
微信客服
  • 扫码咨询
会员Q群
  • 会员专属群点击这里加入QQ群
客服邮箱
回到顶部